Suppr超能文献

波多黎各 PROTECT 出生队列孕妇中邻苯二甲酸酯、DEHTP 和 DINCH 暴露的决定因素和特征。

Determinants and characterization of exposure to phthalates, DEHTP and DINCH among pregnant women in the PROTECT birth cohort in Puerto Rico.

机构信息

University of Michigan School of Public Health, Department of Environmental Health Sciences, Ann Arbor, MI, USA.

Centers for Disease and Control and Prevention, Atlanta, GA, USA.

出版信息

J Expo Sci Environ Epidemiol. 2020 Jan;30(1):56-69. doi: 10.1038/s41370-019-0168-8. Epub 2019 Sep 3.

Abstract

BACKGROUND

As a result of evidence suggesting phthalate toxicity, their use has decreased in recent years. However, new phthalates and non-phthalate replacements have emerged in their place, with unknown potential impacts on health.

METHODS

We measured 15 phthalate, two di(2-ethylhexyl)terephthalate (DEHTP), and two di(isononyl)cyclohexane-1,2-dicarboxylate (DINCH) urinary metabolites, collected up to three times during pregnancy from 994 women in Northern Puerto Rico (2011-2017). We used tests of linear trend to assess changes in concentrations over time and linear mixed models to identify predictors of exposure (sociodemographic characteristics, drinking water sources, diet, product use).

RESULTS

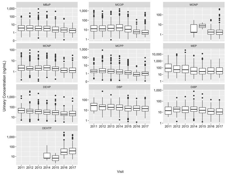
Several phthalate metabolites decreased over the study period indicating decreased exposure, while the geometric mean of DEHTP metabolites (molecular sum) increased threefold between 2014 and 2017. Intraclass correlations revealed low to moderate reproducibility of these biomarkers across pregnancy. Several metabolites were associated with maternal age, income, education, pre-pregnancy BMI, drinking public water, use of cleaning and personal care products, and ice cream consumption. DINCH metabolite concentrations remained low throughout the study period.

CONCLUSION

Although exposure to some phthalates may be decreasing, exposure to replacements, such as DEHTP, is increasing. Additional studies are needed to further characterize sources of phthalate replacement chemicals and potential exposure-related health effects among vulnerable populations.

摘要

背景

由于有证据表明邻苯二甲酸酯类具有毒性,近年来其使用有所减少。然而,新的邻苯二甲酸酯类和非邻苯二甲酸酯替代品已经出现,其对健康的潜在影响尚不清楚。

方法

我们测量了 994 名居住在波多黎各北部的孕妇在怀孕期间最多三次采集的 15 种邻苯二甲酸酯、两种二(2-乙基己基)对苯二甲酸酯(DEHTP)和两种二(异壬基)环己烷-1,2-二羧酸酯(DINCH)的尿代谢产物。我们使用线性趋势检验来评估浓度随时间的变化,并用线性混合模型来识别暴露的预测因素(社会人口特征、饮用水来源、饮食、产品使用)。

结果

研究期间,几种邻苯二甲酸酯代谢物的浓度下降,表明暴露减少,而 DEHTP 代谢物(分子总和)的几何平均值在 2014 年至 2017 年间增加了三倍。组内相关系数显示这些生物标志物在整个孕期的重现性较低到中等。几种代谢物与母亲的年龄、收入、教育程度、孕前 BMI、饮用公共用水、使用清洁和个人护理产品以及食用冰淇淋有关。DINCH 代谢物的浓度在整个研究期间都保持在较低水平。

结论

尽管某些邻苯二甲酸酯类的暴露可能正在减少,但替代品(如 DEHTP)的暴露却在增加。需要进一步的研究来进一步描述邻苯二甲酸酯替代品化学物质的来源,以及在弱势人群中潜在的与暴露相关的健康影响。

https://cdn.ncbi.nlm.nih.gov/pmc/blobs/e324/6917904/5cc2d5c56895/nihms-1537951-f0001.jpg

文献AI研究员

20分钟写一篇综述,助力文献阅读效率提升50倍。

立即体验

用中文搜PubMed

大模型驱动的PubMed中文搜索引擎

马上搜索

文档翻译

学术文献翻译模型,支持多种主流文档格式。

立即体验