• 文献检索
  • 文档翻译
  • 深度研究
  • 学术资讯
  • Suppr Zotero 插件Zotero 插件
  • 邀请有礼
  • 套餐&价格
  • 历史记录
应用&插件
Suppr Zotero 插件Zotero 插件浏览器插件Mac 客户端Windows 客户端微信小程序
定价
高级版会员购买积分包购买API积分包
服务
文献检索文档翻译深度研究API 文档MCP 服务
关于我们
关于 Suppr公司介绍联系我们用户协议隐私条款
关注我们

Suppr 超能文献

核心技术专利:CN118964589B侵权必究
粤ICP备2023148730 号-1Suppr @ 2026

文献检索

告别复杂PubMed语法,用中文像聊天一样搜索,搜遍4000万医学文献。AI智能推荐,让科研检索更轻松。

立即免费搜索

文件翻译

保留排版,准确专业,支持PDF/Word/PPT等文件格式,支持 12+语言互译。

免费翻译文档

深度研究

AI帮你快速写综述,25分钟生成高质量综述,智能提取关键信息,辅助科研写作。

立即免费体验

术后单核细胞计数变化比术前单核细胞计数更能预测食管鳞癌患者的生存。

Postoperative Monocyte Count Change Is a Better Predictor of Survival Than Preoperative Monocyte Count in Esophageal Squamous Cell Carcinoma.

机构信息

Department of Clinical Laboratory, Institute of Cancer Research and Basic Medical Sciences of Chinese Academy of Sciences, Cancer Hospital of University of Chinese Academy of Sciences, Zhejiang Cancer Hospital, Hangzhou, Zhejiang, China.

Cancer Research Institute, Institute of Cancer Research and Basic Medical Sciences of Chinese Academy of Sciences, Cancer Hospital of University of Chinese Academy of Sciences, Zhejiang Cancer Hospital & Key Laboratory Diagnosis and Treatment Technology on Thoracic Oncology of Zhejiang Province, Hangzhou, Zhejiang, China.

出版信息

Biomed Res Int. 2019 Aug 14;2019:2702719. doi: 10.1155/2019/2702719. eCollection 2019.

DOI:10.1155/2019/2702719
PMID:31485440
原文链接:https://pmc.ncbi.nlm.nih.gov/articles/PMC6710746/
Abstract

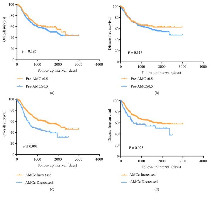
In esophageal squamous cell carcinoma, an elevated preoperative absolute monocyte count (Pre-AMC) is reported to be a predictor of survival, but the clinical application of postoperative absolute monocyte count change (AMCc) remains unknown. The present study was designed to investigate the prognostic value of AMCc in ESCC. 686 patients of ESCC after radical surgery without preoperative adjuvant therapy were enrolled. The Pre-AMC and AMCc were recorded within one week before the operation and one week after surgery. We considered the median of Pre-AMC as the optimal cut-off value to evaluate the relationship between Pre-AMC and patient survival. AMCc was defined as AMCc increased (higher than Pre-AMC) and AMCc decreased (lower than Pre-AMC). Demographic and clinical characteristics, disease-free survival (DFS), and overall survival (OS) were statistically analyzed. Multivariate analysis revealed that AMCc was a better independent prognostic factor for both OS (P = 0.002, HR = 0.614, 95% CI 0.450-0.837) and DFS (P = 0.023, HR = 0.656, 95% CI 0.456-0.943) than Pre-AMC which was only an independent prognostic factor for OS (P = 0.033, HR = 2.031, 95% CI 1.058-3.898). AMCc could be a better prognostic factor than Pre-AMC in patients with ESCC. AMCc decrease predicts worse OS and DFS in ESCC undergoing curative resection.

摘要

在食管鳞状细胞癌中,术前绝对单核细胞计数(Pre-AMC)升高被报道为生存的预测指标,但术后绝对单核细胞计数变化(AMCc)的临床应用仍不清楚。本研究旨在探讨 AMCc 在 ESCC 中的预后价值。纳入了 686 例接受根治性手术且无术前辅助治疗的 ESCC 患者。在手术前一周和手术后一周内记录 Pre-AMC 和 AMCc。我们以 Pre-AMC 的中位数为最佳截断值来评估 Pre-AMC 与患者生存之间的关系。AMCc 定义为 AMCc 升高(高于 Pre-AMC)和 AMCc 降低(低于 Pre-AMC)。对人口统计学和临床特征、无病生存率(DFS)和总生存率(OS)进行了统计学分析。多因素分析显示,AMCc 是 OS(P = 0.002,HR = 0.614,95%CI 0.450-0.837)和 DFS(P = 0.023,HR = 0.656,95%CI 0.456-0.943)的更好独立预后因素,而 Pre-AMC 仅是 OS 的独立预后因素(P = 0.033,HR = 2.031,95%CI 1.058-3.898)。AMCc 可能是 ESCC 患者比 Pre-AMC 更好的预后因素。AMCc 降低预示着接受根治性切除的 ESCC 患者的 OS 和 DFS 更差。

https://cdn.ncbi.nlm.nih.gov/pmc/blobs/5049/6710746/a75d379df925/BMRI2019-2702719.001.jpg
https://cdn.ncbi.nlm.nih.gov/pmc/blobs/5049/6710746/a75d379df925/BMRI2019-2702719.001.jpg
https://cdn.ncbi.nlm.nih.gov/pmc/blobs/5049/6710746/a75d379df925/BMRI2019-2702719.001.jpg

相似文献

1
Postoperative Monocyte Count Change Is a Better Predictor of Survival Than Preoperative Monocyte Count in Esophageal Squamous Cell Carcinoma.术后单核细胞计数变化比术前单核细胞计数更能预测食管鳞癌患者的生存。
Biomed Res Int. 2019 Aug 14;2019:2702719. doi: 10.1155/2019/2702719. eCollection 2019.
2
Prognostic significance of preoperative absolute peripheral monocyte count in esophageal squamous cell carcinoma.术前绝对外周血单核细胞计数在食管鳞状细胞癌中的预后意义
Dis Esophagus. 2016 Oct;29(7):740-746. doi: 10.1111/dote.12401. Epub 2015 Aug 28.
3
Prognostic significance of preoperative lymphocyte-monocyte ratio in patients with resectable esophageal squamous cell carcinoma.可切除食管鳞状细胞癌患者术前淋巴细胞与单核细胞比值的预后意义
Asian Pac J Cancer Prev. 2015;16(6):2245-50. doi: 10.7314/apjcp.2015.16.6.2245.
4
Preoperative systemic inflammation score (SIS) is superior to neutrophil to lymphocyte ratio (NLR) as a predicting indicator in patients with esophageal squamous cell carcinoma.术前系统性炎症评分(SIS)优于中性粒细胞与淋巴细胞比值(NLR),是食管鳞癌患者的预测指标。
BMC Cancer. 2019 Jul 22;19(1):721. doi: 10.1186/s12885-019-5940-6.
5
Elevated preoperative platelet distribution width predicts poor prognosis in Esophageal Squamous Cell Carcinoma.术前血小板分布宽度升高预示着食管鳞癌预后不良。
Sci Rep. 2019 Oct 23;9(1):15234. doi: 10.1038/s41598-019-51675-y.
6
The Postoperative Lymphocyte to Monocyte Ratio Change Predicts Poor Clinical Outcome in Patients with Esophageal Squamous Cell Carcinoma Undergoing Curative Resection.术后淋巴细胞与单核细胞比值变化可预测接受根治性切除术的食管鳞癌患者的不良临床结局。
Dis Markers. 2020 Apr 22;2020:1451864. doi: 10.1155/2020/1451864. eCollection 2020.
7
Fibrinogen promotes malignant biological tumor behavior involving epithelial-mesenchymal transition via the p-AKT/p-mTOR pathway in esophageal squamous cell carcinoma.在食管鳞状细胞癌中,纤维蛋白原通过p-AKT/p-mTOR途径促进涉及上皮-间质转化的恶性肿瘤生物学行为。
J Cancer Res Clin Oncol. 2017 Dec;143(12):2413-2424. doi: 10.1007/s00432-017-2493-4. Epub 2017 Aug 11.
8
The status of perineural invasion predicts the outcomes of postoperative radiotherapy in locally advanced esophageal squamous cell carcinoma.神经周围侵犯状态可预测局部晚期食管鳞状细胞癌术后放疗的疗效。
Int J Clin Exp Pathol. 2015 Jun 1;8(6):6881-90. eCollection 2015.
9
High postoperative monocyte indicates inferior Clinicopathological characteristics and worse prognosis in lung adenocarcinoma or squamous cell carcinoma after lobectomy.高术后单核细胞表明肺腺癌或鳞癌患者在肺叶切除术后具有较差的临床病理特征和预后。
BMC Cancer. 2018 Oct 22;18(1):1011. doi: 10.1186/s12885-018-4909-1.
10
A novel systemic immune-inflammation index predicts survival and quality of life of patients after curative resection for esophageal squamous cell carcinoma.一种新型全身免疫炎症指数可预测食管鳞状细胞癌根治性切除术后患者的生存率和生活质量。
J Cancer Res Clin Oncol. 2017 Oct;143(10):2077-2086. doi: 10.1007/s00432-017-2451-1. Epub 2017 Jun 10.

引用本文的文献

1
Mechanism of intestinal microbiota disturbance promoting the occurrence and development of esophageal squamous cell carcinoma--based on microbiomics and metabolomics.基于宏基因组学和代谢组学的肠道微生物失调促进食管鳞癌发生发展的机制。
BMC Cancer. 2024 Feb 22;24(1):245. doi: 10.1186/s12885-024-11982-8.
2
The preoperative platelet to neutrophil ratio and lymphocyte to monocyte ratio are superior prognostic indicators compared with other inflammatory biomarkers in ovarian cancer.与其他炎症生物标志物相比,术前血小板与中性粒细胞比值和淋巴细胞与单核细胞比值是卵巢癌更优的预后指标。
Front Immunol. 2023 Jun 30;14:1177403. doi: 10.3389/fimmu.2023.1177403. eCollection 2023.
3

本文引用的文献

1
Global cancer statistics 2018: GLOBOCAN estimates of incidence and mortality worldwide for 36 cancers in 185 countries.全球癌症统计数据 2018:GLOBOCAN 对全球 185 个国家/地区 36 种癌症的发病率和死亡率的估计。
CA Cancer J Clin. 2018 Nov;68(6):394-424. doi: 10.3322/caac.21492. Epub 2018 Sep 12.
2
Inflammation and cancer: What a surgical oncologist should know.炎症与癌症:外科肿瘤学家应知的内容。
Eur J Surg Oncol. 2018 May;44(5):566-570. doi: 10.1016/j.ejso.2018.02.209. Epub 2018 Mar 2.
3
The role of inflammatory cytokines and tumor associated macrophages (TAMs) in microenvironment of pancreatic cancer.
Monocyte programming by cancer therapy.
癌症治疗对单核细胞的编程作用。
Front Immunol. 2022 Oct 20;13:994319. doi: 10.3389/fimmu.2022.994319. eCollection 2022.
4
Monitoring Pre- and Post-Operative Immune Alterations in Patients With Locoregional Colorectal Cancer Who Underwent Laparoscopy by Single-Cell Mass Cytometry.应用单细胞质谱流式细胞术监测腹腔镜局部结直肠癌患者术前和术后的免疫变化。
Front Immunol. 2022 Feb 3;13:807539. doi: 10.3389/fimmu.2022.807539. eCollection 2022.
5
Postoperative Inflammatory Marker Surveillance in Colorectal Peritoneal Carcinomatosis.结直肠腹膜转移癌的术后炎症标志物监测。
Ann Surg Oncol. 2021 Oct;28(11):6625-6635. doi: 10.1245/s10434-020-09544-w. Epub 2021 Mar 2.
6
Elevated peripheral absolute monocyte count related to clinicopathological features and poor prognosis in solid tumors: Systematic review, meta-analysis, and meta-regression.外周血绝对单核细胞计数升高与实体瘤的临床病理特征和预后不良相关:系统评价、荟萃分析和荟萃回归。
Cancer Med. 2021 Mar;10(5):1690-1714. doi: 10.1002/cam4.3773. Epub 2021 Feb 16.
炎症细胞因子和肿瘤相关巨噬细胞(TAMs)在胰腺癌微环境中的作用。
Cytokine Growth Factor Rev. 2018 Feb;39:46-61. doi: 10.1016/j.cytogfr.2018.01.007. Epub 2018 Jan 12.
4
Prognostic significance of tumor-associated macrophages in ovarian cancer: A meta-analysis.肿瘤相关巨噬细胞在卵巢癌中的预后意义:一项荟萃分析。
Gynecol Oncol. 2017 Oct;147(1):181-187. doi: 10.1016/j.ygyno.2017.07.007. Epub 2017 Jul 8.
5
Predicting the Future Burden of Esophageal Cancer by Histological Subtype: International Trends in Incidence up to 2030.预测食管鳞癌和腺癌未来发病负担:2030 年前国际发病趋势。
Am J Gastroenterol. 2017 Aug;112(8):1247-1255. doi: 10.1038/ajg.2017.155. Epub 2017 Jun 6.
6
Inflammasomes in Inflammation-Induced Cancer.炎症诱导癌症中的炎性小体。
Front Immunol. 2017 Mar 15;8:271. doi: 10.3389/fimmu.2017.00271. eCollection 2017.
7
Prognostic significance of the lymphocyte-to-monocyte ratio and the tumor-infiltrating lymphocyte to tumor-associated macrophage ratio in patients with stage T3N0M0 esophageal squamous cell carcinoma.T3N0M0期食管鳞状细胞癌患者淋巴细胞与单核细胞比值及肿瘤浸润淋巴细胞与肿瘤相关巨噬细胞比值的预后意义
Cancer Immunol Immunother. 2017 Mar;66(3):343-354. doi: 10.1007/s00262-016-1931-5. Epub 2016 Dec 3.
8
Peripheral monocyte count: an independent diagnostic and prognostic biomarker for prostate cancer - a large Chinese cohort study.外周血单核细胞计数:前列腺癌的独立诊断和预后生物标志物——一项大型中国队列研究。
Asian J Androl. 2017 Sep-Oct;19(5):579-585. doi: 10.4103/1008-682X.186185.
9
Prognostic significance of tumor-associated macrophages density in gastric cancer: a systemic review and meta-analysis.肿瘤相关巨噬细胞密度在胃癌中的预后意义:一项系统评价和荟萃分析
Minerva Med. 2016 Oct;107(5):314-21.
10
The tumor microenvironment in esophageal cancer.食管癌中的肿瘤微环境。
Oncogene. 2016 Oct 13;35(41):5337-5349. doi: 10.1038/onc.2016.34. Epub 2016 Feb 29.