Suppr超能文献

异基因干细胞移植后 2 个月 TCRγδ 细胞免疫重建高的患者总生存、无复发生存和移植物抗宿主病发生率降低。

Improved Overall Survival, Relapse-Free-Survival, and Less Graft-vs.-Host-Disease in Patients With High Immune Reconstitution of TCR Gamma Delta Cells 2 Months After Allogeneic Stem Cell Transplantation.

机构信息

Department of Clinical Immunology, Copenhagen University Hospital, Rigshospitalet, Copenhagen, Denmark.

Department of Hematology, Copenhagen University Hospital, Rigshospitalet, Copenhagen, Denmark.

出版信息

Front Immunol. 2019 Aug 22;10:1997. doi: 10.3389/fimmu.2019.01997. eCollection 2019.

Abstract

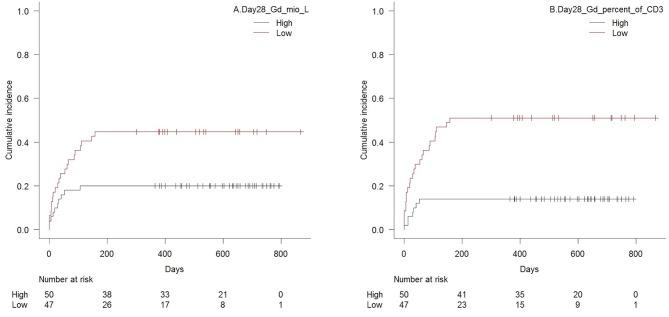
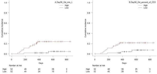
T-cell receptor (TCR) γδ cells are perceived as innate-like effector cells with the possibility of mediating graft-vs. -tumor (GVT) without causing graft-vs.-host disease (GVHD) in the setting of hematopoietic allogeneic stem cell transplantation (HSCT). We conducted a prospective study to assess the clinical impact of TCR γδ cell immune reconstitution on overall survival, relapse-free-survival, relapse and GVHD. The impact of CD3, CD4, and CD8 T cells together with NK cells including subtypes were analyzed in parallel. A total of 108 patients with hematological malignancies transplanted with HLA-matched, T cell replete stem cell grafts were included for analyses of absolute concentrations of CD3, CD4, and CD8 positive T cells and NK cells together with a multi-color flow cytometry panel with staining for TCRαβ, TCRγδ, Vδ1, Vδ2, CD3, CD4, CD8, HLA-DR, CD196, CD45RO, CD45RA, CD16, CD56, CD337, and CD314 at 28, 56, 91, 180, and 365 days after transplantation. Immune reconstitution data including subsets and differentiation markers of T and NK cells during the first year after transplantation was provided. Patients with TCR γδ cell concentrations above the median value of 21 (0-416) × 10 cells/L 56 days after transplantation had significantly improved overall survival ( = 0.001) and relapse-free survival ( = 0.007) compared to patients with concentrations below this value. When day 56 cell subset concentrations were included as continuous variables, TCR γδ cells were the only T cell subsets with a significant impact on OS and RFS; the impact of TCR γδ cells remained statistically significant in multivariate analyses adjusted for pre-transplant risk factors. The risk of death from relapse was significantly decreased in patients with high concentrations of TCR γδ cells 56 days after transplantation ( = 0.003). Also, the risk of acute GVHD was significantly lower in patients with day 28 TCR γδ cell concentrations above the median of 18 × 10 cells/L compared to patients with low concentrations ( = 0.01). These results suggest a protective role of TCR γδ cells in relapse and GVHD and encourage further research in developing adaptive TCR γδ cell therapy for improving outcomes after HSCT.

摘要

T 细胞受体 (TCR) γδ 细胞被认为是具有先天样效应细胞的可能性,可在造血干细胞移植 (HSCT) 中介导移植物抗宿主病 (GVHD) 而不引起移植物抗宿主病 (GVHD)。我们进行了一项前瞻性研究,以评估 TCR γδ 细胞免疫重建对总生存、无复发生存、复发和 GVHD 的临床影响。同时分析了 CD3、CD4 和 CD8 T 细胞以及 NK 细胞(包括亚型)的影响。共纳入 108 例接受 HLA 匹配、T 细胞丰富的干细胞移植的血液系统恶性肿瘤患者,分析 CD3、CD4 和 CD8 阳性 T 细胞和 NK 细胞的绝对浓度,同时使用多色流式细胞术分析 TCRαβ、TCRγδ、Vδ1、Vδ2、CD3、CD4、CD8、HLA-DR、CD196、CD45RO、CD45RA、CD16、CD56、CD337 和 CD314,在移植后 28、56、91、180 和 365 天进行检测。提供了移植后第一年 T 和 NK 细胞的亚群和分化标志物的免疫重建数据。与浓度低于该值的患者相比,移植后 56 天 TCR γδ 细胞浓度高于中位数 21(0-416)×10 细胞/L 的患者具有显著改善的总生存(=0.001)和无复发生存(=0.007)。当将第 56 天细胞亚群浓度作为连续变量时,TCR γδ 细胞是唯一对 OS 和 RFS 有显著影响的 T 细胞亚群;在调整移植前危险因素的多变量分析中,TCR γδ 细胞的影响仍然具有统计学意义。移植后 56 天 TCR γδ 细胞浓度高的患者死于复发的风险显著降低(=0.003)。此外,与浓度较低的患者相比,第 28 天 TCR γδ 细胞浓度高于中位数 18×10 细胞/L 的患者发生急性 GVHD 的风险显著降低(=0.01)。这些结果表明 TCR γδ 细胞在复发和 GVHD 中具有保护作用,并鼓励进一步研究开发适应性 TCR γδ 细胞疗法,以改善 HSCT 后的结果。

https://cdn.ncbi.nlm.nih.gov/pmc/blobs/1516/6714591/ed9f11368676/fimmu-10-01997-g0001.jpg

文献检索

告别复杂PubMed语法,用中文像聊天一样搜索,搜遍4000万医学文献。AI智能推荐,让科研检索更轻松。

立即免费搜索

文件翻译

保留排版,准确专业,支持PDF/Word/PPT等文件格式,支持 12+语言互译。

免费翻译文档

深度研究

AI帮你快速写综述,25分钟生成高质量综述,智能提取关键信息,辅助科研写作。

立即免费体验