Suppr超能文献

用于汽车工业的聚丙烯与轮胎粉复合材料。

Polypropylene and tire powder composite for use in automotive industry.

作者信息

de Lira Lixandrão Kelly C, Ferreira Fabio F

机构信息

Center for Natural and Human Sciences (CCNH), Federal University of ABC (UFABC), Av. dos Estados, 5001, CEP: 09210-580, Santo André, SP, Brazil.

出版信息

Heliyon. 2019 Sep 7;5(9):e02405. doi: 10.1016/j.heliyon.2019.e02405. eCollection 2019 Sep.

Abstract

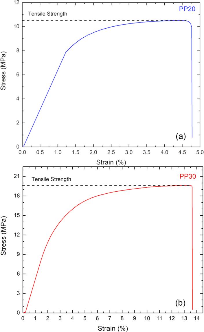
In this work, we study and characterize 20%- and 30%-reinforced rubber tire powder and polypropylene composite to apply it in the engine encapsulation of commercial vehicles. We produce a prototype with 20% of rubber tire powder due to its better processability and carry out external noise analysis and the results show it is similar to the already available material and within the limits established by law, besides presenting a substantial 54-weight% decrease. In addition, the material guarantees a minimization of sound pollution - through the attenuation of noise by the composite - and environmental, by the reduction of inappropriate disposal of waste tires.

摘要

在这项工作中,我们研究并表征了20%和30%增强的橡胶轮胎粉末与聚丙烯复合材料,以将其应用于商用车的发动机封装。由于其更好的加工性能,我们生产了一种含有20%橡胶轮胎粉末的原型,并进行了外部噪声分析,结果表明它与现有材料相似,且在法律规定的范围内,此外重量还大幅减少了54%。此外,该材料通过复合材料对噪声的衰减保证了声污染的最小化,并且通过减少废旧轮胎的不当处置实现了对环境的保护。

https://cdn.ncbi.nlm.nih.gov/pmc/blobs/e1f4/6734541/a83d3880a6fc/gr1.jpg

文献AI研究员

20分钟写一篇综述,助力文献阅读效率提升50倍。

立即体验

用中文搜PubMed

大模型驱动的PubMed中文搜索引擎

马上搜索

文档翻译

学术文献翻译模型,支持多种主流文档格式。

立即体验