Suppr超能文献

移植前边缘供肾的组织学和临床评估:哪种方法最佳?

Histological and clinical evaluation of marginal donor kidneys before transplantation: Which is best?

作者信息

Salvadori Maurizio, Tsalouchos Aris

机构信息

Department of Transplantation Renal Unit, Careggi University Hospital, viale Pieraccini 18, Florence 50139, Italy.

Nephrology and Dialysis Unit, Saints Cosmas and Damian Hospital, Via Cesare Battisti, Pescia (PT) 2-51017, Italy.

出版信息

World J Transplant. 2019 Aug 26;9(4):62-80. doi: 10.5500/wjt.v9.i4.62.

Abstract

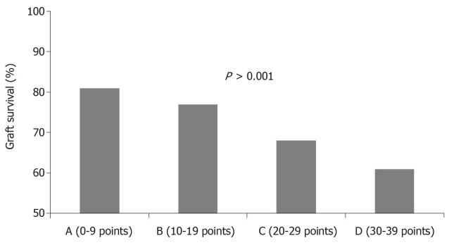
Organ shortage represents one of the major limitations to the development of kidney transplantation. To increase the donor pool and to answer the ever increasing kidney request, physicians are recurring to marginal kidneys as kidneys from older donors, from hypertensive or diabetic donors and from non-heart beating donors. These kidneys are known to have frequently a worse outcome in the recipients. To date major problem is to evaluate such kidneys in order to use or to discard them before transplantation. The use of such kidneys create other relevant question as whether to use them as single or dual transplant and to allocate them fairly according transplant programs. The pre-transplant histological evaluation, the clinical evaluation of the donor or both the criteria joined has been used and according the time each criterion prevailed over the others. Aim of this review has been to examine the advantages and the drawbacks of any criterion and how they have changed with time. To date any criterion has several limitations and several authors have argued for the development of new guidelines in the field of the kidney evaluation for transplantation. Several authors argue that the use of omic technologies should improve the organ evaluation and studies are ongoing to evaluate these technologies either in the donor urine or in the biopsies taken before transplantation.

摘要

器官短缺是肾移植发展的主要限制因素之一。为了扩大供体库并满足不断增长的肾脏需求,医生们开始采用边缘性肾脏,如来自老年供体、高血压或糖尿病供体以及非心脏骤停供体的肾脏。众所周知,这些肾脏在受者体内的预后往往较差。迄今为止,主要问题是在移植前评估这些肾脏,以决定是否使用它们。使用这些肾脏还引发了其他相关问题,比如是将它们用于单肾移植还是双肾移植,以及如何根据移植项目公平分配。移植前的组织学评估、供体的临床评估或两者结合的标准都曾被使用过,而且随着时间的推移,每种标准的主导地位也有所变化。这篇综述的目的是探讨每种标准的优缺点以及它们是如何随时间变化的。迄今为止,每种标准都有若干局限性,一些作者主张在肾脏移植评估领域制定新的指南。一些作者认为,组学技术的应用应能改善器官评估,目前正在进行相关研究,以评估这些技术在供体尿液或移植前活检组织中的应用情况。

https://cdn.ncbi.nlm.nih.gov/pmc/blobs/eee6/6715576/ba594516272f/WJT-9-62-g001.jpg

文献AI研究员

20分钟写一篇综述,助力文献阅读效率提升50倍。

立即体验

用中文搜PubMed

大模型驱动的PubMed中文搜索引擎

马上搜索

文档翻译

学术文献翻译模型,支持多种主流文档格式。

立即体验