Suppr超能文献

丁酸盐在2型糖尿病患者单核细胞迁移和炎症反应中的作用

The Role of Butyrate on Monocyte Migration and Inflammation Response in Patient with Type 2 Diabetes Mellitus.

作者信息

Larasati Rahma Ayu, Harbuwono Dante Saksono, Rahajeng Ekowati, Pradipta Saraswati, Nuraeni Hanny Siti, Susilowati Andi, Wibowo Heri

机构信息

Magister Program of Biomedical Science, Faculty of Medicine, Universitas Indonesia, Jakarta 10440, Indonesia.

Internal Medicine Department, Faculty of Medicine, Universitas Indonesia, Jakarta 10440, Indonesia.

出版信息

Biomedicines. 2019 Sep 24;7(4):74. doi: 10.3390/biomedicines7040074.

Abstract

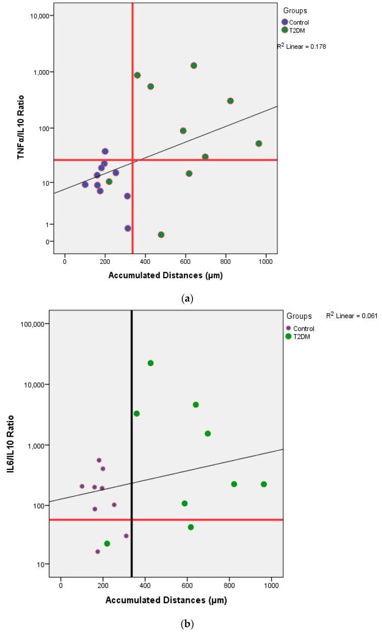
Type 2 Diabetes Mellitus (T2DM) is a very serious global problem. In Indonesia, this disease attacks at the most productive age; consequently, it can reduce economic status and life expectancy. The pathogenesis of T2DM is very closely related to inflammation and macrophage accumulation. However, no anti-inflammatory agent has been proven to play a role in the management of T2DM. Butyrate is a short chain fatty acid produced from resistant starch fermentation in the intestinal lumen. It is able to bind to GPR41 and GPR43 receptors on monocytes, so that it can change the pattern of cytokine expression, activation, migration and cell differentiation. Hence, it is interesting to examine the anti-inflammation effect of butyrate and the effect on monocyte migration. A total of 37 subjects were examined in this study. They were divided into two groups, with and without butyrate treatment. We analyzed two pro-inflammatory cytokines (Tumor Necrosis Factor TNF-α and Interleukin IL-6) and one anti-inflammatory cytokine, IL 10. Monocytes were isolated in type 1 collagen gel for migration testing using the µ-slide chemotaxis IBIDI. Image analysis used ImageJ and Chemotaxis tool software. There was a significant difference in the TNFα/IL 10 ratio between healthy groups and T2DM. Butyrate also appears to suppress TNFα cytokine production and increase IL10 production. It also decreases the accumulation distance of monocyte migration in T2DM.

摘要

2型糖尿病(T2DM)是一个非常严重的全球性问题。在印度尼西亚,这种疾病侵袭的是最具生产力的年龄段;因此,它会降低经济状况和预期寿命。T2DM的发病机制与炎症和巨噬细胞聚集密切相关。然而,尚无抗炎药物被证明在T2DM的治疗中发挥作用。丁酸盐是肠腔内抗性淀粉发酵产生的一种短链脂肪酸。它能够与单核细胞上的GPR41和GPR43受体结合,从而改变细胞因子表达、激活、迁移和细胞分化的模式。因此,研究丁酸盐的抗炎作用及其对单核细胞迁移的影响很有意义。本研究共检测了37名受试者。他们被分为两组,一组接受丁酸盐治疗,另一组未接受。我们分析了两种促炎细胞因子(肿瘤坏死因子TNF-α和白细胞介素IL-6)和一种抗炎细胞因子IL-10。单核细胞在1型胶原凝胶中分离,使用µ-slide趋化IBIDI进行迁移测试。图像分析使用ImageJ和趋化工具软件。健康组和T2DM组之间的TNFα/IL-10比值存在显著差异。丁酸盐似乎还能抑制TNFα细胞因子的产生并增加IL10的产生。它还能减少T2DM中单核细胞迁移的累积距离。

https://cdn.ncbi.nlm.nih.gov/pmc/blobs/c93d/6966637/142c6abf3069/biomedicines-07-00074-g001.jpg

文献AI研究员

20分钟写一篇综述,助力文献阅读效率提升50倍。

立即体验

用中文搜PubMed

大模型驱动的PubMed中文搜索引擎

马上搜索

文档翻译

学术文献翻译模型,支持多种主流文档格式。

立即体验