Suppr超能文献

自我认定的非裔美国人和前列腺癌风险:西非遗传血统与前列腺癌诊断以及活检时更高的 Gleason 评分相关。

Self-Identified African Americans and prostate cancer risk: West African genetic ancestry is associated with prostate cancer diagnosis and with higher Gleason sum on biopsy.

机构信息

Department of Pathology and Surgery, University of Alabama at Birmingham, Birmingham, AL, USA.

Department of Population Sciences, City of Hope, Duarte, CA, USA.

出版信息

Cancer Med. 2019 Nov;8(16):6915-6922. doi: 10.1002/cam4.2434. Epub 2019 Sep 30.

Abstract

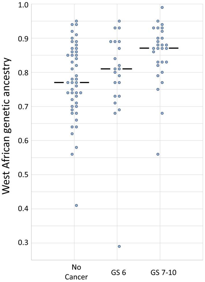
Concerns about overtreatment of clinically indolent prostate cancer (PrCa) have led to recommendations that men who are diagnosed with low-risk PrCa be managed by active surveillance (AS) rather than immediate definitive treatment. However the risk of underestimating the aggressiveness of a patient's PrCa can be a significant source of anxiety and a barrier to patient acceptance of AS. The uncertainty is particularly keen for African American (AA) men who are about 1.7 times more likely to be diagnosed with PrCa than European American (EA) men and about 2.4 times more likely to die of this disease. The AA population, as many other populations in the Americas, is genetically heterogeneous with varying degrees of admixture from West Africans (WAs), Europeans, and Native Americans (NAs). Recommendations for PrCa screening and management rarely consider potential differences in risk within the AA population. We compared WA genetic ancestry in AA men undergoing standard prostate biopsy who were diagnosed with no cancer, low-grade PrCa (Gleason Sum 6), or higher grade PrCa (Gleason Sum 7-10). We found that WA genetic ancestry was significantly higher in men who were diagnosed with PrCa on biopsy, compared to men who were cancer-negative, and highest in men who were diagnosed with higher grade PrCa (Gleason Sum 7-10). Incorporating WA ancestry into the guidelines for making decisions about when to obtain a biopsy and whether to choose AS may allow AA men to personalize their approach to PrCa screening and management.

摘要

对过度治疗临床惰性前列腺癌 (PrCa) 的担忧导致人们建议,对于被诊断为低危 PrCa 的男性,应通过主动监测 (AS) 而不是立即进行确定性治疗来进行管理。然而,低估患者 PrCa 侵袭性的风险可能是导致焦虑的一个重要来源,也是患者接受 AS 的一个障碍。对于非洲裔美国人 (AA) 男性来说,这种不确定性尤其强烈,他们被诊断出患有 PrCa 的可能性比欧洲裔美国人 (EA) 男性高 1.7 倍,死于这种疾病的可能性高 2.4 倍。与美洲的许多其他人群一样,AA 人群在遗传上存在异质性,与西非人 (WA)、欧洲人和美洲原住民 (NA) 的混合程度不同。对于 PrCa 筛查和管理的建议很少考虑 AA 人群内部的潜在风险差异。我们比较了正在接受标准前列腺活检的 AA 男性中的 WA 遗传祖先,这些男性被诊断为无癌症、低级别 PrCa(Gleason 总和 6)或高级别 PrCa(Gleason 总和 7-10)。我们发现,与癌症阴性的男性相比,在活检中被诊断为 PrCa 的男性的 WA 遗传祖先明显更高,而在被诊断为高级别 PrCa(Gleason 总和 7-10)的男性中则更高。将 WA 祖先纳入关于何时进行活检以及是否选择 AS 的决策指南中,可能允许 AA 男性个性化他们的 PrCa 筛查和管理方法。

https://cdn.ncbi.nlm.nih.gov/pmc/blobs/6bb2/6853835/712b8f23eb00/CAM4-8-6915-g001.jpg

文献AI研究员

20分钟写一篇综述,助力文献阅读效率提升50倍。

立即体验

用中文搜PubMed

大模型驱动的PubMed中文搜索引擎

马上搜索

文档翻译

学术文献翻译模型,支持多种主流文档格式。

立即体验