• 文献检索
  • 文档翻译
  • 深度研究
  • 学术资讯
  • Suppr Zotero 插件Zotero 插件
  • 邀请有礼
  • 套餐&价格
  • 历史记录
应用&插件
Suppr Zotero 插件Zotero 插件浏览器插件Mac 客户端Windows 客户端微信小程序
定价
高级版会员购买积分包购买API积分包
服务
文献检索文档翻译深度研究API 文档MCP 服务
关于我们
关于 Suppr公司介绍联系我们用户协议隐私条款
关注我们

Suppr 超能文献

核心技术专利:CN118964589B侵权必究
粤ICP备2023148730 号-1Suppr @ 2026

文献检索

告别复杂PubMed语法,用中文像聊天一样搜索,搜遍4000万医学文献。AI智能推荐,让科研检索更轻松。

立即免费搜索

文件翻译

保留排版,准确专业,支持PDF/Word/PPT等文件格式,支持 12+语言互译。

免费翻译文档

深度研究

AI帮你快速写综述,25分钟生成高质量综述,智能提取关键信息,辅助科研写作。

立即免费体验

用 CDC20siRNA 和载有抗癌药物(阿霉素和槲皮素)的阳离子 PEG 化纳米囊共载体制靶向胃癌细胞周期蛋白。

Targeting cell cycle protein in gastric cancer with CDC20siRNA and anticancer drugs (doxorubicin and quercetin) co-loaded cationic PEGylated nanoniosomes.

机构信息

Department of Clinical Biochemistry, Faculty of Medicine, Shahid Sadoughi University of Medical Sciences, Yazd, Iran.

Medical Nanotechnology and Tissue Engineering Research Center, Yazd Reproductive Sciences Institute, Shahid Sadoughi University of Medical Sciences, Yazd, Iran.

出版信息

Int J Nanomedicine. 2019 Aug 15;14:6575-6585. doi: 10.2147/IJN.S211844. eCollection 2019.

DOI:10.2147/IJN.S211844
PMID:31616144
原文链接:https://pmc.ncbi.nlm.nih.gov/articles/PMC6699499/
Abstract

BACKGROUND AND PURPOSE

In a past study, we developed and optimized a novel cationic PEGylated niosome containing anticancer drugs (doxorubicin or quercetin) and siRNA. This study intended to evaluate the anti-tumor effects of the combination therapy to target both the proteins and genes responsible for the development of gastric cancer. CDC20, known as an oncogene, is a good potential therapeutic candidate for gastric cancer.

METHODS

In order to increase the loading capacity of siRNA and achieve appropriate physical properties, we optimized the cationic PEGylated niosome in terms of the amount of the cationic lipids. Drugs (doxorubicin and quercetin) and CDC20siRNA were loaded into the co-delivery system, and physical characteristics, thermosensitive controlled-release, gene silencing efficiency, and apoptosis rate were determined.

RESULTS

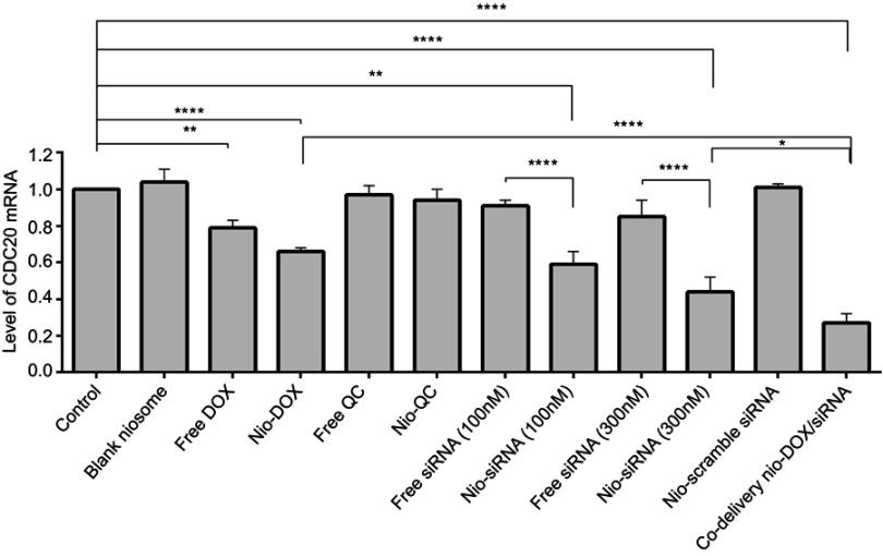
The results showed that the designed co-delivery system for the drugs and gene silencer had an appropriate size and a high positive charge for loading siRNA, and also showed a thermosensitive drug release behavior, which successfully silenced the CDC20 expression when compared with the single delivery of siRNA or the drug. Moreover, the co-delivery of drugs and CDC20siRNA exhibited a highly inhibitory property for the cell growth of gastric cancer cells.

CONCLUSION

It seems that the novel cationic PEGylated niosomes co-loaded with anticancer drug and CDC20siRNA has a promising application for the treatment of gastric cancer.

摘要

背景与目的

在过去的研究中,我们开发并优化了一种新型阳离子 PEG 化泡囊,其中包含抗癌药物(多柔比星或槲皮素)和 siRNA。本研究旨在评估针对导致胃癌发生的蛋白质和基因的联合治疗的抗肿瘤作用。CDC20 作为一种癌基因,是治疗胃癌的一个很好的潜在治疗候选物。

方法

为了增加 siRNA 的载药量并达到适当的物理性质,我们优化了阳离子 PEG 化泡囊的阳离子脂质的用量。将药物(多柔比星和槲皮素)和 CDC20siRNA 载入共递药系统,测定其物理特性、热敏控制释放、基因沉默效率和细胞凋亡率。

结果

结果表明,设计的药物和基因沉默剂共递药系统具有适当的粒径和较高的正电荷载药量,并且具有热敏药物释放行为,与单独递送 siRNA 或药物相比,成功地沉默了 CDC20 的表达。此外,药物和 CDC20siRNA 的共递送对胃癌细胞的生长具有高度抑制作用。

结论

新型阳离子 PEG 化泡囊共载抗癌药物和 CDC20siRNA 似乎具有治疗胃癌的应用前景。

https://cdn.ncbi.nlm.nih.gov/pmc/blobs/1041/6699499/e811e8beb061/IJN-14-6575-g0008.jpg
https://cdn.ncbi.nlm.nih.gov/pmc/blobs/1041/6699499/68af4e1dfc1d/IJN-14-6575-g0001.jpg
https://cdn.ncbi.nlm.nih.gov/pmc/blobs/1041/6699499/0dcb190bc940/IJN-14-6575-g0002.jpg
https://cdn.ncbi.nlm.nih.gov/pmc/blobs/1041/6699499/2dbe8d7620f0/IJN-14-6575-g0004.jpg
https://cdn.ncbi.nlm.nih.gov/pmc/blobs/1041/6699499/9e328fcb482a/IJN-14-6575-g0006.jpg
https://cdn.ncbi.nlm.nih.gov/pmc/blobs/1041/6699499/018211edfb4e/IJN-14-6575-g0007.jpg
https://cdn.ncbi.nlm.nih.gov/pmc/blobs/1041/6699499/e811e8beb061/IJN-14-6575-g0008.jpg
https://cdn.ncbi.nlm.nih.gov/pmc/blobs/1041/6699499/68af4e1dfc1d/IJN-14-6575-g0001.jpg
https://cdn.ncbi.nlm.nih.gov/pmc/blobs/1041/6699499/0dcb190bc940/IJN-14-6575-g0002.jpg
https://cdn.ncbi.nlm.nih.gov/pmc/blobs/1041/6699499/2dbe8d7620f0/IJN-14-6575-g0004.jpg
https://cdn.ncbi.nlm.nih.gov/pmc/blobs/1041/6699499/9e328fcb482a/IJN-14-6575-g0006.jpg
https://cdn.ncbi.nlm.nih.gov/pmc/blobs/1041/6699499/018211edfb4e/IJN-14-6575-g0007.jpg
https://cdn.ncbi.nlm.nih.gov/pmc/blobs/1041/6699499/e811e8beb061/IJN-14-6575-g0008.jpg

相似文献

1
Targeting cell cycle protein in gastric cancer with CDC20siRNA and anticancer drugs (doxorubicin and quercetin) co-loaded cationic PEGylated nanoniosomes.用 CDC20siRNA 和载有抗癌药物(阿霉素和槲皮素)的阳离子 PEG 化纳米囊共载体制靶向胃癌细胞周期蛋白。
Int J Nanomedicine. 2019 Aug 15;14:6575-6585. doi: 10.2147/IJN.S211844. eCollection 2019.
2
Development and characterization of a novel cationic PEGylated niosome-encapsulated forms of doxorubicin, quercetin and siRNA for the treatment of cancer by using combination therapy.新型阳离子聚乙二醇化非离子表面活性剂囊泡包裹阿霉素、槲皮素和 siRNA 的研制及其联合治疗癌症的特性。
Artif Cells Nanomed Biotechnol. 2019 Dec;47(1):1295-1311. doi: 10.1080/21691401.2018.1489271. Epub 2018 Jul 22.
3
CDC20siRNA and paclitaxel co-loaded nanometric liposomes of a nipecotic acid-derived cationic amphiphile inhibit xenografted neuroblastoma.尼可酸衍生的阳离子两亲性分子的载 CDC20siRNA 和紫杉醇的纳米脂质体抑制神经母细胞瘤异种移植瘤。
Nanoscale. 2017 Jan 19;9(3):1201-1212. doi: 10.1039/c6nr07532k.
4
Inhibiting tumor growth by targeting liposomally encapsulated CDC20siRNA to tumor vasculature: therapeutic RNA interference.通过将脂质体包裹的 CDC20siRNA 靶向肿瘤血管抑制肿瘤生长:治疗性 RNA 干扰。
J Control Release. 2014 Apr 28;180:100-8. doi: 10.1016/j.jconrel.2014.02.012. Epub 2014 Feb 18.
5
D-α-tocopherol polyethylene glycol 1000 succinate-modified liposomes with an siRNA corona confer enhanced cellular uptake and targeted delivery of doxorubicin via tumor priming.D-α-生育酚聚乙二醇 1000 琥珀酸酯修饰的脂质体表面带有 siRNA 冠,可通过肿瘤引发作用增强阿霉素的细胞摄取和靶向递送。
Int J Nanomedicine. 2019 Feb 18;14:1255-1268. doi: 10.2147/IJN.S191858. eCollection 2019.
6
Quercetin and doxorubicin co-delivery using mesoporous silica nanoparticles enhance the efficacy of gastric carcinoma chemotherapy.介孔硅纳米粒子递送槲皮素和阿霉素增强胃癌化疗疗效。
Int J Nanomedicine. 2018 Sep 6;13:5113-5126. doi: 10.2147/IJN.S170862. eCollection 2018.
7
Co-delivery of doxorubicin and SATB1 shRNA by thermosensitive magnetic cationic liposomes for gastric cancer therapy.热敏磁性阳离子脂质体共递送阿霉素和SATB1 shRNA用于胃癌治疗
PLoS One. 2014 Mar 27;9(3):e92924. doi: 10.1371/journal.pone.0092924. eCollection 2014.
8
A comprehensive mathematical model of drug release kinetics from nano-liposomes, derived from optimization studies of cationic PEGylated liposomal doxorubicin formulations for drug-gene delivery.从阳离子聚乙二醇化脂质体阿霉素制剂的药物-基因递送来推导的纳米脂质体药物释放动力学的综合数学模型。
Artif Cells Nanomed Biotechnol. 2018 Feb;46(1):169-177. doi: 10.1080/21691401.2017.1304403. Epub 2017 Apr 4.
9
The synergistic effect of hierarchical assemblies of siRNA and chemotherapeutic drugs co-delivered into hepatic cancer cells.siRNA 和化疗药物协同递送至肝癌细胞的分级组装。
Biomaterials. 2011 Mar;32(8):2222-32. doi: 10.1016/j.biomaterials.2010.11.061. Epub 2010 Dec 24.
10
Codelivery of doxorubicin and JIP1 siRNA with novel EphA2-targeted PEGylated cationic nanoliposomes to overcome osteosarcoma multidrug resistance.新型 EphA2 靶向 PEG 化阳离子纳米脂质体共递送阿霉素和 JIP1siRNA 以克服骨肉瘤多药耐药性。
Int J Nanomedicine. 2018 Jul 3;13:3853-3866. doi: 10.2147/IJN.S150017. eCollection 2018.

引用本文的文献

1
Application of Nanodrug Delivery Systems in Enhancing Treatment of Gastritis and Gastric Cancer: A Systematic Evaluation of Targeted Therapy.纳米药物递送系统在增强胃炎和胃癌治疗中的应用:靶向治疗的系统评价
Pharmaceutics. 2025 May 22;17(6):683. doi: 10.3390/pharmaceutics17060683.
2
Challenges and opportunities for the diverse substrates of SPOP E3 ubiquitin ligase in cancer.SPOP E3泛素连接酶的多种底物在癌症中的挑战与机遇
Theranostics. 2025 May 8;15(13):6111-6145. doi: 10.7150/thno.113356. eCollection 2025.
3
A review on anti-cancer properties of quercetin in gastric cancer.

本文引用的文献

1
pH sensitive polyelectrolyte complex micelles for highly effective combination chemotherapy.用于高效联合化疗的pH敏感型聚电解质复合胶束
J Mater Chem B. 2014 Oct 7;2(37):6324-6333. doi: 10.1039/c4tb00867g. Epub 2014 Aug 12.
2
Nanocarriers and nonviral methods for delivering antiangiogenic factors for glioblastoma therapy: the story so far.用于胶质母细胞瘤治疗的抗血管生成因子的纳米载体和非病毒方法:迄今为止的故事。
Int J Nanomedicine. 2019 Apr 9;14:2497-2513. doi: 10.2147/IJN.S194858. eCollection 2019.
3
Characterization, optimization, and in vitro evaluation of Technetium-99m-labeled niosomes.
槲皮素对胃癌抗癌特性的综述。
Front Pharmacol. 2025 May 19;16:1563229. doi: 10.3389/fphar.2025.1563229. eCollection 2025.
4
Laboratory study: Synthesis and optimization of nano nisomes containing essential oil and investigating its toxicity on parasite and HFF cell line.实验室研究:含精油纳米囊泡的合成与优化及其对寄生虫和人包皮成纤维细胞系毒性的研究
Heliyon. 2024 Aug 8;10(16):e35967. doi: 10.1016/j.heliyon.2024.e35967. eCollection 2024 Aug 30.
5
Better together: nanoscale co-delivery systems of therapeutic agents for high-performance cancer therapy.协同更优:用于高效癌症治疗的治疗剂纳米级共递送系统
Front Pharmacol. 2024 May 20;15:1389922. doi: 10.3389/fphar.2024.1389922. eCollection 2024.
6
Mapping the intellectual structure and emerging trends for the application of nanomaterials in gastric cancer: A bibliometric study.绘制纳米材料在胃癌应用中的知识结构和新兴趋势:一项文献计量学研究。
World J Gastrointest Oncol. 2024 May 15;16(5):2181-2199. doi: 10.4251/wjgo.v16.i5.2181.
7
Empowering Cancer Therapy: Comparing PEGylated and Non-PEGylated Niosomes Loaded with Curcumin and Doxorubicin on MCF-7 Cell Line.增强癌症治疗效果:比较负载姜黄素和阿霉素的聚乙二醇化和非聚乙二醇化脂质体对MCF-7细胞系的作用
Bioengineering (Basel). 2023 Oct 2;10(10):1159. doi: 10.3390/bioengineering10101159.
8
Design and Evaluation of Liposomal Sulforaphane-Loaded Polyvinyl Alcohol/Polyethylene Glycol (PVA/PEG) Hydrogels as a Novel Drug Delivery System for Wound Healing.负载萝卜硫素的聚乙烯醇/聚乙二醇(PVA/PEG)脂质体水凝胶作为新型伤口愈合药物递送系统的设计与评价
Gels. 2023 Sep 14;9(9):748. doi: 10.3390/gels9090748.
9
A new approach to the development and assessment of doxorubicin-loaded nanoliposomes for the treatment of osteosarcoma in 2D and 3D cell culture systems.一种用于在二维和三维细胞培养系统中治疗骨肉瘤的载阿霉素纳米脂质体的开发与评估新方法。
Heliyon. 2023 Apr 20;9(5):e15495. doi: 10.1016/j.heliyon.2023.e15495. eCollection 2023 May.
10
pH-Responsive PEGylated Niosomal Nanoparticles as an Active-Targeting Cyclophosphamide Delivery System for Gastric Cancer Therapy.pH 响应性 PEG 化非离子表面活性剂囊泡作为主动靶向的环磷酰胺给药系统用于胃癌治疗。
Molecules. 2022 Aug 24;27(17):5418. doi: 10.3390/molecules27175418.
锝-99m 标记的脂囊泡的特性描述、优化和体外评价。
Int J Nanomedicine. 2019 Feb 12;14:1101-1117. doi: 10.2147/IJN.S184912. eCollection 2019.
4
Development and characterization of a novel cationic PEGylated niosome-encapsulated forms of doxorubicin, quercetin and siRNA for the treatment of cancer by using combination therapy.新型阳离子聚乙二醇化非离子表面活性剂囊泡包裹阿霉素、槲皮素和 siRNA 的研制及其联合治疗癌症的特性。
Artif Cells Nanomed Biotechnol. 2019 Dec;47(1):1295-1311. doi: 10.1080/21691401.2018.1489271. Epub 2018 Jul 22.
5
Se@SiO nanocomposites attenuate doxorubicin-induced cardiotoxicity through combatting oxidative damage.硒硅纳米复合材料通过对抗氧化损伤减轻阿霉素引起的心脏毒性。
Artif Cells Nanomed Biotechnol. 2018;46(sup2):112-121. doi: 10.1080/21691401.2018.1452250. Epub 2018 Mar 23.
6
Gastric cancer: epidemiology, prevention, classification, and treatment.胃癌:流行病学、预防、分类及治疗
Cancer Manag Res. 2018 Feb 7;10:239-248. doi: 10.2147/CMAR.S149619. eCollection 2018.
7
Smart chemistry-based nanosized drug delivery systems for systemic applications: A comprehensive review.基于智能化学的纳米药物递送系统用于全身应用:全面综述。
J Control Release. 2017 Jul 28;258:226-253. doi: 10.1016/j.jconrel.2017.04.043. Epub 2017 May 2.
8
CDC20siRNA and paclitaxel co-loaded nanometric liposomes of a nipecotic acid-derived cationic amphiphile inhibit xenografted neuroblastoma.尼可酸衍生的阳离子两亲性分子的载 CDC20siRNA 和紫杉醇的纳米脂质体抑制神经母细胞瘤异种移植瘤。
Nanoscale. 2017 Jan 19;9(3):1201-1212. doi: 10.1039/c6nr07532k.
9
Engineering of cell microenvironment-responsive polypeptide nanovehicle co-encapsulating a synergistic combination of small molecules for effective chemotherapy in solid tumors.工程化细胞微环境响应型多肽纳米载体共包载小分子协同组合用于实体瘤的有效化疗。
Acta Biomater. 2017 Jan 15;48:131-143. doi: 10.1016/j.actbio.2016.10.034. Epub 2016 Oct 26.
10
Silencing of CDC20 suppresses metastatic castration-resistant prostate cancer growth and enhances chemosensitivity to docetaxel.沉默 CDC20 抑制转移性去势抵抗性前列腺癌的生长并增强多西他赛的化疗敏感性。
Int J Oncol. 2016 Oct;49(4):1679-85. doi: 10.3892/ijo.2016.3671. Epub 2016 Aug 23.