Suppr超能文献

通过苯炔与亚芳基氨基吡咯的环加成反应合成吡咯并[2,3-]异喹啉:光物理和晶体学研究

Synthesis of Pyrrolo[2,3-]isoquinolines via the Cycloaddition of Benzyne with Arylideneaminopyrroles: Photophysical and Crystallographic Study.

作者信息

Castillo Juan-Carlos, Tigreros Alexis, Coquerel Yoann, Rodríguez Jean, Macías Mario A, Portilla Jaime

机构信息

Bioorganic Compounds Research Group, Department of Chemistry, Universidad de los Andes, Carrera 1 No. 18A-10, Bogotá 111711, Colombia.

Escuela de Ciencias Química, Universidad Pedagógica y Tecnológica de Colombia, Tunja 150003, Colombia.

出版信息

ACS Omega. 2019 Oct 9;4(17):17326-17339. doi: 10.1021/acsomega.9b02043. eCollection 2019 Oct 22.

Abstract

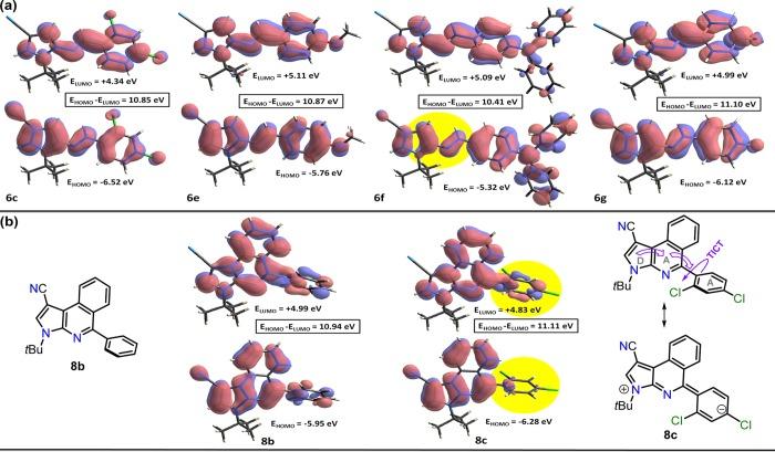
An efficient and quick access toward a series of ()-2-arylideneaminopyrroles and to their benzyne-promoted aza-Diels-Alder cycloaddition products is provided. These products are three pyrrolo[2,3-]isoquinolines substituted in position 5 with different electron-acceptor (A) or electron-donor (D) aryl groups. Intermediates and products were obtained in good yields (up to 78 and 84%, respectively), and their structures were determined on the basis of NMR measurements and HRMS analysis. Photophysical properties of were investigated, finding good Stokes shift in different solvents, but only the product showed appreciable fluorescence intensity since its 5-aryl group (2,4-ClPh) could favor the twisted intramolecular charge transfer effect. In addition, a riveting relationship between solvent viscosity and fluorescence intensity was found. Structures of and were studied and confirmed by single-crystal X-ray diffraction, observing that their electronic distributions effect the supramolecular assembly but with only long-distance hydrophobic interactions. A CE-B3LYP model was used to study the energetic topology and understand the crystal architecture of compounds as well as find a connection with both the synthetic and photophysical results.

摘要

提供了一种高效、快速地合成一系列()-2-亚芳基氨基吡咯及其苯炔促进的氮杂狄尔斯-阿尔德环加成产物的方法。这些产物是在5位被不同的吸电子(A)或供电子(D)芳基取代的三种吡咯并[2,3-]异喹啉。中间体和产物的产率良好(分别高达78%和84%),并根据核磁共振测量和高分辨质谱分析确定了它们的结构。研究了产物的光物理性质,发现在不同溶剂中具有良好的斯托克斯位移,但只有产物显示出可观的荧光强度,因为其5-芳基(2,4-二氯苯基)有利于扭曲的分子内电荷转移效应。此外,还发现了溶剂粘度与荧光强度之间的紧密关系。通过单晶X射线衍射研究并证实了产物和的结构,观察到它们的电子分布影响超分子组装,但只有长距离的疏水相互作用。使用CE-B3LYP模型研究能量拓扑结构,理解化合物的晶体结构,并找到与合成和光物理结果的联系。

https://cdn.ncbi.nlm.nih.gov/pmc/blobs/a11a/6811864/66388fd076c5/ao9b02043_0011.jpg

文献检索

告别复杂PubMed语法,用中文像聊天一样搜索,搜遍4000万医学文献。AI智能推荐,让科研检索更轻松。

立即免费搜索

文件翻译

保留排版,准确专业,支持PDF/Word/PPT等文件格式,支持 12+语言互译。

免费翻译文档

深度研究

AI帮你快速写综述,25分钟生成高质量综述,智能提取关键信息,辅助科研写作。

立即免费体验