Suppr超能文献

杜鹃属基因组和染色体组织为石南科(Ericaceae)全基因组重复事件提供了新的见解。

The Rhododendron Genome and Chromosomal Organization Provide Insight into Shared Whole-Genome Duplications across the Heath Family (Ericaceae).

机构信息

Department of Biology, University of Washington, Seattle, WA.

Retired.

出版信息

Genome Biol Evol. 2019 Dec 1;11(12):3353-3371. doi: 10.1093/gbe/evz245.

Abstract

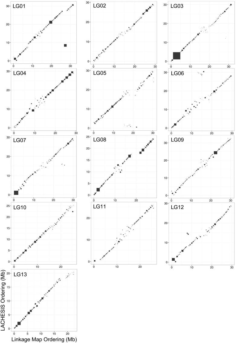
The genus Rhododendron (Ericaceae), which includes horticulturally important plants such as azaleas, is a highly diverse and widely distributed genus of >1,000 species. Here, we report the chromosome-scale de novo assembly and genome annotation of Rhododendron williamsianum as a basis for continued study of this large genus. We created multiple short fragment genomic libraries, which were assembled using ALLPATHS-LG. This was followed by contiguity preserving transposase sequencing (CPT-seq) and fragScaff scaffolding of a large fragment library, which improved the assembly by decreasing the number of scaffolds and increasing scaffold length. Chromosome-scale scaffolding was performed by proximity-guided assembly (LACHESIS) using chromatin conformation capture (Hi-C) data. Chromosome-scale scaffolding was further refined and linkage groups defined by restriction-site associated DNA (RAD) sequencing of the parents and progeny of a genetic cross. The resulting linkage map confirmed the LACHESIS clustering and ordering of scaffolds onto chromosomes and rectified large-scale inversions. Assessments of the R. williamsianum genome assembly and gene annotation estimate them to be 89% and 79% complete, respectively. Predicted coding sequences from genome annotation were used in syntenic analyses and for generating age distributions of synonymous substitutions/site between paralgous gene pairs, which identified whole-genome duplications (WGDs) in R. williamsianum. We then analyzed other publicly available Ericaceae genomes for shared WGDs. Based on our spatial and temporal analyses of paralogous gene pairs, we find evidence for two shared, ancient WGDs in Rhododendron and Vaccinium (cranberry/blueberry) members that predate the Ericaceae family and, in one case, the Ericales order.

摘要

杜鹃花属(杜鹃花科)是一个高度多样化且广泛分布的属,包含了许多重要的园艺植物,如杜鹃。本研究以黄花杜鹃为研究对象,报道了其染色体水平的从头组装和基因组注释结果,为进一步研究该大属奠定了基础。通过 ALLPATHS-LG 组装了多个短片段基因组文库,然后通过连续转座酶测序(CPT-seq)和大片段文库的 fragScaff 支架,减少了支架数量,增加了支架长度,从而提高了组装质量。通过使用染色质构象捕获(Hi-C)数据进行近邻引导组装(LACHESIS)实现了染色体水平的支架组装。通过对遗传杂交的亲本和后代进行限制性位点相关 DNA(RAD)测序,进一步细化了染色体水平的支架组装,并定义了连锁群。得到的连锁图谱证实了 LACHESIS 聚类和将支架排列到染色体上的顺序,并纠正了大规模倒位。对 R. williamsianum 基因组组装和基因注释的评估分别估计其完成度为 89%和 79%。从基因组注释中预测的编码序列用于共线性分析,并生成了旁系同源基因对之间同义替换/位点的年龄分布,确定了 R. williamsianum 中存在全基因组加倍(WGD)。然后,我们分析了其他公开的杜鹃花科基因组,以寻找共享的 WGD。根据我们对旁系同源基因对的时空分析,我们在杜鹃花属和越橘属(蔓越莓/蓝莓)成员中发现了两个古老的共享 WGD 的证据,这两个 WGD 发生在杜鹃花科之前,在一个案例中,甚至发生在悬铃木目中。

https://cdn.ncbi.nlm.nih.gov/pmc/blobs/7a75/6907397/bafc3381c217/evz245f1.jpg

文献检索

告别复杂PubMed语法,用中文像聊天一样搜索,搜遍4000万医学文献。AI智能推荐,让科研检索更轻松。

立即免费搜索

文件翻译

保留排版,准确专业,支持PDF/Word/PPT等文件格式,支持 12+语言互译。

免费翻译文档

深度研究

AI帮你快速写综述,25分钟生成高质量综述,智能提取关键信息,辅助科研写作。

立即免费体验