• 文献检索
  • 文档翻译
  • 深度研究
  • 学术资讯
  • Suppr Zotero 插件Zotero 插件
  • 邀请有礼
  • 套餐&价格
  • 历史记录
应用&插件
Suppr Zotero 插件Zotero 插件浏览器插件Mac 客户端Windows 客户端微信小程序
定价
高级版会员购买积分包购买API积分包
服务
文献检索文档翻译深度研究API 文档MCP 服务
关于我们
关于 Suppr公司介绍联系我们用户协议隐私条款
关注我们

Suppr 超能文献

核心技术专利:CN118964589B侵权必究
粤ICP备2023148730 号-1Suppr @ 2026

文献检索

告别复杂PubMed语法,用中文像聊天一样搜索,搜遍4000万医学文献。AI智能推荐,让科研检索更轻松。

立即免费搜索

文件翻译

保留排版,准确专业,支持PDF/Word/PPT等文件格式,支持 12+语言互译。

免费翻译文档

深度研究

AI帮你快速写综述,25分钟生成高质量综述,智能提取关键信息,辅助科研写作。

立即免费体验

通过 - 硝基吡唑的意外异构化合成含能肼基 5 - 硝基 - 3 - 二硝基甲基 - 2 - 吡唑及其性质

Synthesis and Properties of Energetic Hydrazinium 5-Nitro-3-dinitromethyl-2-pyrazole by Unexpected Isomerization of -Nitropyrazole.

作者信息

Zhang Yiying, Li Yanan, Yu Tao, Liu Yingzhe, Chen Sanping, Ge Zhongxue, Sun Chenghui, Pang Siping

机构信息

Xi'an Modern Chemistry Research Institute, Xi'an, Shaanxi 710065, China.

College of Chemistry & Materials Science, Northwest University, Xi'an, Shaanxi 710075, China.

出版信息

ACS Omega. 2019 Nov 7;4(21):19011-19017. doi: 10.1021/acsomega.9b01910. eCollection 2019 Nov 19.

DOI:10.1021/acsomega.9b01910
PMID:31763523
原文链接:https://pmc.ncbi.nlm.nih.gov/articles/PMC6868590/
Abstract

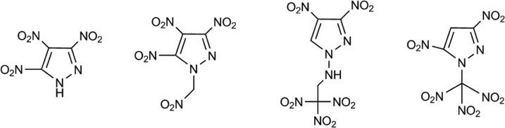
A new energetic salt, hydrazinium 5-nitro-3-dinitromethyl-2-pyrazole, was synthesized using 1-nitro-3-trinitromethylpyrazole and hydrazine as raw materials and fully characterized by IR and NMR spectroscopy, elemental analysis, and X-ray crystallography. The isomerization of -nitropyrazole in the reaction condition was first reported and the possible mechanism was explained by the density functional theory method. The salt has good density, high positive enthalpy of formation superior to those of the RDX and HMX, and good detonation properties comparable to those of RDX. By denitration and isomerization reactions, the salt gains a better thermal stability and lower sensitivity toward impact and friction compared with its parent compound. Based on an overall energetic evaluation, the salt has a promising future as an alternative explosive. The research also contributes to the synthesis and application of polynitro-substituted -heterocyclic compounds as energetic materials.

摘要

以1-硝基-3-三硝基甲基吡唑和肼为原料合成了一种新型含能盐5-硝基-3-二硝基甲基-2-吡唑肼,并通过红外光谱、核磁共振光谱、元素分析和X射线晶体学对其进行了全面表征。首次报道了反应条件下β-硝基吡唑的异构化反应,并采用密度泛函理论方法解释了可能的反应机理。该盐具有良好的密度,正生成焓高于黑索今(RDX)和奥克托今(HMX),爆轰性能与RDX相当。通过脱硝化和异构化反应,该盐与其母体化合物相比具有更好的热稳定性以及更低的撞击和摩擦感度。基于综合含能评估,该盐作为替代炸药具有广阔的应用前景。该研究也为多硝基取代β-杂环化合物作为含能材料的合成与应用做出了贡献。

https://cdn.ncbi.nlm.nih.gov/pmc/blobs/0c1b/6868590/86eb8dd1b52e/ao9b01910_0006.jpg
https://cdn.ncbi.nlm.nih.gov/pmc/blobs/0c1b/6868590/2ad717bca6c5/ao9b01910_0001.jpg
https://cdn.ncbi.nlm.nih.gov/pmc/blobs/0c1b/6868590/00926f5605a0/ao9b01910_0007.jpg
https://cdn.ncbi.nlm.nih.gov/pmc/blobs/0c1b/6868590/238f48fc575e/ao9b01910_0002.jpg
https://cdn.ncbi.nlm.nih.gov/pmc/blobs/0c1b/6868590/4656a72c0324/ao9b01910_0003.jpg
https://cdn.ncbi.nlm.nih.gov/pmc/blobs/0c1b/6868590/07c8e5d73036/ao9b01910_0004.jpg
https://cdn.ncbi.nlm.nih.gov/pmc/blobs/0c1b/6868590/89ba3d7ff242/ao9b01910_0005.jpg
https://cdn.ncbi.nlm.nih.gov/pmc/blobs/0c1b/6868590/86eb8dd1b52e/ao9b01910_0006.jpg
https://cdn.ncbi.nlm.nih.gov/pmc/blobs/0c1b/6868590/2ad717bca6c5/ao9b01910_0001.jpg
https://cdn.ncbi.nlm.nih.gov/pmc/blobs/0c1b/6868590/00926f5605a0/ao9b01910_0007.jpg
https://cdn.ncbi.nlm.nih.gov/pmc/blobs/0c1b/6868590/238f48fc575e/ao9b01910_0002.jpg
https://cdn.ncbi.nlm.nih.gov/pmc/blobs/0c1b/6868590/4656a72c0324/ao9b01910_0003.jpg
https://cdn.ncbi.nlm.nih.gov/pmc/blobs/0c1b/6868590/07c8e5d73036/ao9b01910_0004.jpg
https://cdn.ncbi.nlm.nih.gov/pmc/blobs/0c1b/6868590/89ba3d7ff242/ao9b01910_0005.jpg
https://cdn.ncbi.nlm.nih.gov/pmc/blobs/0c1b/6868590/86eb8dd1b52e/ao9b01910_0006.jpg

相似文献

1
Synthesis and Properties of Energetic Hydrazinium 5-Nitro-3-dinitromethyl-2-pyrazole by Unexpected Isomerization of -Nitropyrazole.通过 - 硝基吡唑的意外异构化合成含能肼基 5 - 硝基 - 3 - 二硝基甲基 - 2 - 吡唑及其性质
ACS Omega. 2019 Nov 7;4(21):19011-19017. doi: 10.1021/acsomega.9b01910. eCollection 2019 Nov 19.
2
New pyrazole energetic materials and their energetic salts: combining the dinitromethyl group with nitropyrazole.新型吡唑含能材料及其含能盐:二硝甲基与硝基吡唑的结合
Dalton Trans. 2020 Feb 5;49(5):1660-1667. doi: 10.1039/c9dt04235k.
3
Polynitro-1,2,4-triazole Energetic Materials with -Amino Functionalization.具有 - 氨基官能化的多硝基 -1,2,4 - 三唑含能材料
J Org Chem. 2024 Oct 4;89(19):14361-14368. doi: 10.1021/acs.joc.4c01771. Epub 2024 Sep 18.
4
Pushing the Limit of Nitro Groups on a Pyrazole Ring with Energy-Stability Balance.通过能量稳定性平衡探索吡唑环上硝基的极限
ACS Appl Mater Interfaces. 2021 Dec 29;13(51):61357-61364. doi: 10.1021/acsami.1c21510. Epub 2021 Dec 17.
5
Energetic Di- and Trinitromethylpyridines: Synthesis and Characterization.高能二硝基和三硝基甲基吡啶:合成与表征。
Molecules. 2017 Dec 21;23(1):2. doi: 10.3390/molecules23010002.
6
Energetic furazan-triazole hybrid with dinitromethyl and nitramino groups: decreasing sensitivity via the formation of a planar anion.含二硝基甲基和硝氨基的高能呋咱-三唑杂化物:通过形成平面阴离子降低敏感度
Dalton Trans. 2019 Jun 14;48(22):7677-7684. doi: 10.1039/c9dt01514k. Epub 2019 May 7.
7
Trinitromethyl-substituted 5-nitro- or 3-azo-1,2,4-triazoles: synthesis, characterization, and energetic properties.三硝基甲基取代的 5-硝基亚氨基-1,2,4-三唑或 3-偶氮-1,2,4-三唑:合成、表征和能量性质。
J Am Chem Soc. 2011 Apr 27;133(16):6464-71. doi: 10.1021/ja2013455. Epub 2011 Mar 30.
8
Hydrazine 5,5'-bitetrazole-1,1'-diolate: a promising high density energetic salt with good properties.5,5'-双四唑-1,1'-二醇肼盐:一种具有良好性能的有前景的高密度含能盐。
Dalton Trans. 2016 Dec 21;45(47):19045-19052. doi: 10.1039/c6dt03960j. Epub 2016 Nov 18.
9
Novel dinitromethyl-featured polynitro energetic salts.新型含二硝基甲基的多硝基含能盐
Dalton Trans. 2016 Oct 4;45(39):15644-15650. doi: 10.1039/c6dt03239g.
10
Energetic high-nitrogen compounds: 5-(trinitromethyl)-2H-tetrazole and -tetrazolates, preparation, characterization, and conversion into 5-(dinitromethyl)tetrazoles.高能含氮化合物:5-(三硝基甲基)-2H-四唑及 5-(三硝基甲基)四唑盐的制备、结构表征及转化为 5-(二硝基甲基)四唑
Inorg Chem. 2013 Jun 17;52(12):7249-60. doi: 10.1021/ic400919n. Epub 2013 May 31.

引用本文的文献

1
Recent Advances in Synthesis and Properties of Nitrated-Pyrazoles Based Energetic Compounds.基于硝基金刚烷类含能化合物的合成与性能研究进展。
Molecules. 2020 Jul 30;25(15):3475. doi: 10.3390/molecules25153475.

本文引用的文献

1
Energetic Metal and Nitrogen-Rich Salts of the Pentaerythritol Tetranitrate Analogue Pentaerythritol Tetranitrocarbamate.季戊四醇四硝酸酯类似物季戊四醇四硝基氨基甲酸酯的含能金属盐及富氮盐
Inorg Chem. 2019 Feb 18;58(4):2881-2887. doi: 10.1021/acs.inorgchem.8b03540. Epub 2019 Jan 31.
2
Energetic C-trinitromethyl-substituted pyrazoles: synthesis and characterization.含能 C-三硝基甲基取代吡唑的合成与表征。
Dalton Trans. 2019 Jan 22;48(4):1524-1529. doi: 10.1039/c8dt04712j.
3
Nitramino- and Dinitromethyl-Substituted 1,2,4-Triazole Derivatives as High-Performance Energetic Materials.
作为高性能含能材料的硝氨基和二硝基甲基取代的1,2,4-三唑衍生物
Chemistry. 2017 Jul 6;23(38):9185-9191. doi: 10.1002/chem.201701407. Epub 2017 Jun 13.
4
An Energetic Triazolo-1,2,4-Triazine and its N-Oxide.一种含能三唑并[1,2,4]-三嗪及其 N-氧化物。
Angew Chem Int Ed Engl. 2016 Dec 5;55(49):15315-15318. doi: 10.1002/anie.201608723. Epub 2016 Nov 9.
5
1,1'-Nitramino-5,5'-bitetrazoles.1,1'-二硝氨基-5,5'-联四唑
Chemistry. 2016 Mar 24;22(14):4966-70. doi: 10.1002/chem.201600177. Epub 2016 Feb 24.
6
Taming of 3,4-Di(nitramino)furazan.驯服 3,4-二(硝基亚氨基)呋咱。
J Am Chem Soc. 2015 Dec 30;137(51):15984-7. doi: 10.1021/jacs.5b09831. Epub 2015 Dec 17.
7
From N-Nitro to N-Nitroamino: Preparation of High-Performance Energetic Materials by Introducing Nitrogen-Containing Ions.从 N-硝基亚硝胺到 N-硝氨基:通过引入含氮离子制备高性能含能材料。
Angew Chem Int Ed Engl. 2015 Nov 23;54(48):14513-7. doi: 10.1002/anie.201507456. Epub 2015 Oct 8.
8
Novel Highly Energetic Pyrazoles: N-Trinitromethyl-Substituted Nitropyrazoles.新型高能吡唑:N-三硝基甲基取代的硝基吡唑。
Chem Asian J. 2015 Sep;10(9):1987-96. doi: 10.1002/asia.201500533. Epub 2015 Jul 14.
9
Energetic high-nitrogen compounds: 5-(trinitromethyl)-2H-tetrazole and -tetrazolates, preparation, characterization, and conversion into 5-(dinitromethyl)tetrazoles.高能含氮化合物:5-(三硝基甲基)-2H-四唑及 5-(三硝基甲基)四唑盐的制备、结构表征及转化为 5-(二硝基甲基)四唑
Inorg Chem. 2013 Jun 17;52(12):7249-60. doi: 10.1021/ic400919n. Epub 2013 May 31.
10
Synthesis and promising properties of a new family of high-density energetic salts of 5-nitro-3-trinitromethyl-1H-1,2,4-triazole and 5,5'-bis(trinitromethyl)-3,3'-azo-1H-1,2,4-triazole.一种新型高密度含能 5-硝基-3-三硝基甲基-1H-1,2,4-三唑和 5,5'-双(三硝基甲基)-3,3'-偶氮-1H-1,2,4-三唑盐的合成及性能研究。
J Am Chem Soc. 2011 Dec 14;133(49):19982-92. doi: 10.1021/ja208990z. Epub 2011 Nov 15.