Department of Materials Science and Technology, University of Crete, 70013 Heraklion, Grete, Greece.
Institute of Electronic Structure and Laser (IESL) FORTH, 70013 Heraklion, Crete, Greece.
Biomolecules. 2019 Dec 18;10(1):7. doi: 10.3390/biom10010007.
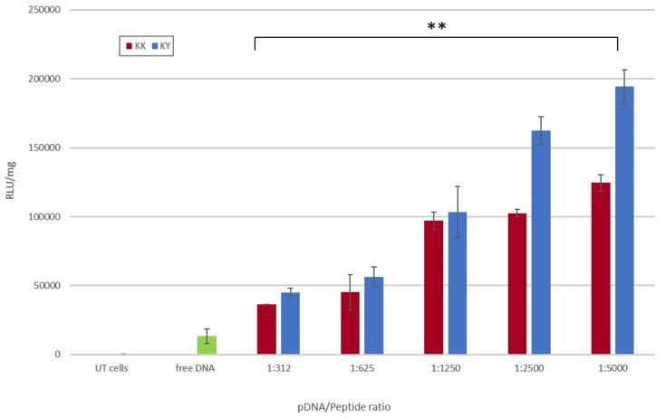
Cell-penetrating peptides are used extensively to deliver molecules into cells due to their unique characteristics such as rapid internalization, charge, and non-cytotoxicity. Amyloid fibril biomaterials were reported as gene transfer or retroviral infection enhancers; no cell internalization of the peptides themselves is reported so far. In this study, we focus on two rationally and computationally designed peptides comprised of β-sheet cores derived from naturally occurring protein sequences and designed positively charged and aromatic residues exposed at key residue positions. The β-sheet cores bestow the designed peptides with the ability to self-assemble into amyloid fibrils. The introduction of positively charged and aromatic residues additionally promotes DNA condensation and cell internalization by the self-assembled material formed by the designed peptides. Our results demonstrate that these designer peptide fibrils can efficiently enter mammalian cells while carrying packaged luciferase-encoding plasmid DNA, and they can act as a protein expression enhancer. Interestingly, the peptides additionally exhibited strong antimicrobial activity against the enterobacterium
细胞穿透肽由于其独特的特性,如快速内化、电荷和非细胞毒性,被广泛用于将分子递送到细胞内。淀粉样纤维生物材料被报道为基因转导或逆转录病毒感染的增强剂;到目前为止,还没有报道肽本身的细胞内吞作用。在这项研究中,我们专注于两种由天然存在的蛋白质序列衍生的β-折叠核心组成的合理且计算设计的肽,并设计了带正电荷和芳香族残基的关键残基位置。β-折叠核心赋予设计的肽自我组装成淀粉样纤维的能力。带正电荷和芳香族残基的引入通过由设计肽形成的自组装材料进一步促进 DNA 凝聚和细胞内吞作用。我们的结果表明,这些设计的肽纤维可以有效地进入哺乳动物细胞,同时携带包装的荧光素酶编码质粒 DNA,并且可以作为蛋白质表达增强剂。有趣的是,这些肽还表现出对肠杆菌的强烈抗菌活性。