Li Xiaolin, Ye Lei, Zhang Xiaoping, Tan Hao, Li Qiang
Soil and Fertilizer Institute, Sichuan Academy of Agricultural Sciences, Chengdu, 610066, Sichuan, China.
Key Laboratory of Coarse Cereal Processing, Ministry of Agriculture and Rural Affairs, College of Pharmacy and Biological Engineering, Chengdu University, Chengdu, 610106, Sichuan, China.
Microb Biotechnol. 2020 Mar;13(2):535-547. doi: 10.1111/1751-7915.13511. Epub 2020 Jan 9.
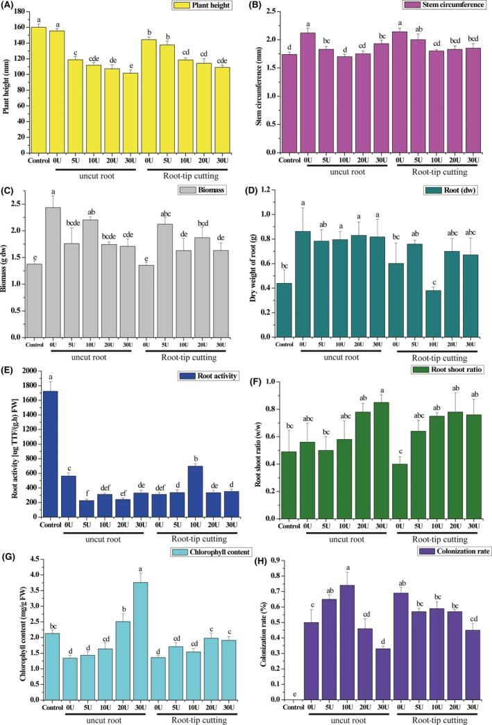
The Chinese black truffle Tuber indicum is commercially valuable. The main factors influencing the success or failure of a truffle crop include the mycorrhizal colonization rate and host plant quality. The effects of a plant growth regulator (uniconazole) and plant growth management technique (root-tip cutting) on T. indicum colonization rate and Pinus armandii seedling growth were assessed under greenhouse conditions. The results indicated that 10 mg l uniconazole or the combination of 5 mg l uniconazole and root-tip cutting constitutes an effective method for ectomycorrhizal synthesis based on an overall evaluation of colonization rate, plant biomass, plant height, root weight, stem circumference and antioxidant enzyme activities (SOD and POD) of P. armandii. The abundance of Proteobacteria in the rhizosphere of colonized seedlings might serve as an indicator of stable mycorrhizal colonization. This research inspires the potential application of uniconazole and root-tip cutting treatments for mycorrhizal synthesis and truffle cultivation.
中国黑松露印度块菌具有商业价值。影响松露作物成败的主要因素包括菌根定殖率和寄主植物质量。在温室条件下,评估了植物生长调节剂(烯效唑)和植物生长管理技术(根尖切割)对印度块菌定殖率和华山松幼苗生长的影响。结果表明,基于对华山松定殖率、植物生物量、株高、根重、茎围和抗氧化酶活性(超氧化物歧化酶和过氧化物酶)的综合评价,10 mg l烯效唑或5 mg l烯效唑与根尖切割的组合构成了一种有效的外生菌根合成方法。定殖幼苗根际中变形菌门的丰度可能作为稳定菌根定殖的指标。本研究激发了烯效唑和根尖切割处理在菌根合成和松露栽培中的潜在应用。