Suppr超能文献

皮克特-斯宾格勒反应更新其习惯。

The Pictet-Spengler Reaction Updates Its Habits.

机构信息

Department of Chemistry and Technology of Drugs, "Department of Excellence 2018-2022", Sapienza University of Rome, Piazzale Aldo Moro 5, 00185 Rome, Italy.

Center for Life Nano Science@Sapienza, Istituto Italiano di Tecnologia, Viale Regina Elena 291, 00161 Rome, Italy.

出版信息

Molecules. 2020 Jan 19;25(2):414. doi: 10.3390/molecules25020414.

Abstract

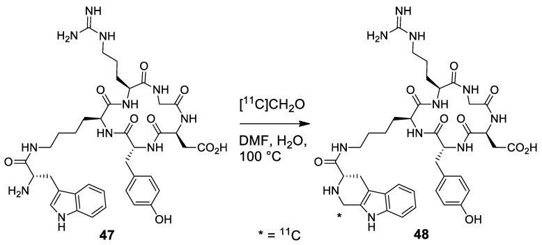
The Pictet-Spengler reaction (P-S) is one of the most direct, efficient, and variable synthetic method for the construction of privileged pharmacophores such as tetrahydro-isoquinolines (THIQs), tetrahydro-β-carbolines (THBCs), and polyheterocyclic frameworks. In the (five-year period) following its centenary birthday, the P-S reaction did not exit the stage but it came up again on limelight with new features. This review focuses on the interesting results achieved in this period (2011-2015), analyzing the versatility of this reaction. Classic P-S was reported in the total synthesis of complex alkaloids, in combination with chiral catalysts as well as for the generation of libraries of compounds in medicinal chemistry. The P-S has been used also in tandem reactions, with the sequences including ring closing metathesis, isomerization, Michael addition, and Gold- or Brønsted acid-catalyzed -acyliminium cyclization. Moreover, the combination of P-S reaction with Ugi multicomponent reaction has been exploited for the construction of highly complex polycyclic architectures in few steps and high yields. The P-S reaction has also been successfully employed in solid-phase synthesis, affording products with different structures, including peptidomimetics, synthetic heterocycles, and natural compounds. Finally, the enzymatic version of P-S has been reported for biosynthesis, biotransformations, and bioconjugations.

摘要

Pictet-Spengler 反应(P-S)是构建如四氢异喹啉(THIQs)、四氢-β-咔啉(THBCs)和多杂环骨架等优势药效团最直接、高效和多变的合成方法之一。在其百年诞辰后的五年中,P-S 反应并没有退出舞台,而是以新的特点再次成为焦点。这篇综述重点介绍了这一时期(2011-2015 年)取得的有趣成果,分析了该反应的多功能性。经典的 P-S 反应在复杂生物碱的全合成中得到了报道,与手性催化剂结合,以及在药物化学中生成化合物文库。P-S 反应也被用于串联反应中,包括环 closing metathesis、异构化、Michael 加成和 Gold 或 Brønsted 酸催化的 -酰亚胺环化。此外,P-S 反应与 Ugi 多组分反应的结合已被用于在几步高收率下构建高度复杂的多环架构。P-S 反应也成功地应用于固相合成,得到了具有不同结构的产物,包括肽模拟物、合成杂环和天然化合物。最后,P-S 的酶法版本已被报道用于生物合成、生物转化和生物缀合。

https://cdn.ncbi.nlm.nih.gov/pmc/blobs/84cb/7024544/f6c587eea1a3/molecules-25-00414-sch001.jpg

文献检索

告别复杂PubMed语法,用中文像聊天一样搜索,搜遍4000万医学文献。AI智能推荐,让科研检索更轻松。

立即免费搜索

文件翻译

保留排版,准确专业,支持PDF/Word/PPT等文件格式,支持 12+语言互译。

免费翻译文档

深度研究

AI帮你快速写综述,25分钟生成高质量综述,智能提取关键信息,辅助科研写作。

立即免费体验