• 文献检索
  • 文档翻译
  • 深度研究
  • 学术资讯
  • Suppr Zotero 插件Zotero 插件
  • 邀请有礼
  • 套餐&价格
  • 历史记录
应用&插件
Suppr Zotero 插件Zotero 插件浏览器插件Mac 客户端Windows 客户端微信小程序
定价
高级版会员购买积分包购买API积分包
服务
文献检索文档翻译深度研究API 文档MCP 服务
关于我们
关于 Suppr公司介绍联系我们用户协议隐私条款
关注我们

Suppr 超能文献

核心技术专利:CN118964589B侵权必究
粤ICP备2023148730 号-1Suppr @ 2026

文献检索

告别复杂PubMed语法,用中文像聊天一样搜索,搜遍4000万医学文献。AI智能推荐,让科研检索更轻松。

立即免费搜索

文件翻译

保留排版,准确专业,支持PDF/Word/PPT等文件格式,支持 12+语言互译。

免费翻译文档

深度研究

AI帮你快速写综述,25分钟生成高质量综述,智能提取关键信息,辅助科研写作。

立即免费体验

心脏康复中的分类与回归树及计算机自适应测试:工具验证研究

Classification and Regression Tree and Computer Adaptive Testing in Cardiac Rehabilitation: Instrument Validation Study.

作者信息

Peute Linda, Scheeve Thom, Jaspers Monique

机构信息

Center of Human Factors Engineering of Health Information Technology, Department of Medical Informatics, Amsterdam Institute of Public Health, Amsterdam University Medical Centers, Amsterdam, Netherlands.

Signal Processing Systems, Video Coding and Architectures, Department of Electrical Engineering, Eindhoven University of Technology, Eindhoven, Netherlands.

出版信息

J Med Internet Res. 2020 Jan 30;22(1):e12509. doi: 10.2196/12509.

DOI:10.2196/12509
PMID:32012065
原文链接:https://pmc.ncbi.nlm.nih.gov/articles/PMC7055848/
Abstract

BACKGROUND

There is a need for shorter-length assessments that capture patient questionnaire data while attaining high data quality without an undue response burden on patients. Computerized adaptive testing (CAT) and classification and regression tree (CART) methods have the potential to meet these needs and can offer attractive options to shorten questionnaire lengths.

OBJECTIVE

The objective of this study was to test whether CAT or CART was best suited to reduce the number of questionnaire items in multiple domains (eg, anxiety, depression, quality of life, and social support) used for a needs assessment procedure (NAP) within the field of cardiac rehabilitation (CR) without the loss of data quality.

METHODS

NAP data of 2837 CR patients from a multicenter Cardiac Rehabilitation Decision Support System (CARDSS) Web-based program was used. Patients used a Web-based portal, MyCARDSS, to provide their data. CAT and CART were assessed based on their performances in shortening the NAP procedure and in terms of sensitivity and specificity.

RESULTS

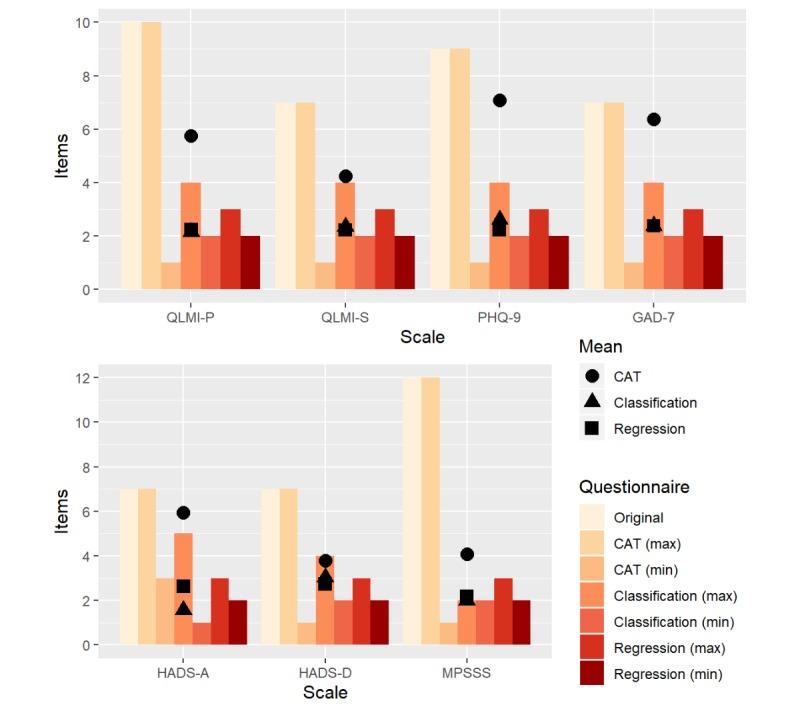
With CAT and CART, an overall reduction of 36% and 72% of NAP questionnaire length, respectively, was achieved, with a mean sensitivity and specificity of 0.765 and 0.817 for CAT, 0.777 and 0.877 for classification trees, and 0.743 and 0.40 for regression trees, respectively.

CONCLUSIONS

Both CAT and CART can be used to shorten the questionnaires of the NAP used within the field of CR. CART, however, showed the best performance, with a twice as large overall decrease in the number of questionnaire items of the NAP compared to CAT and the highest sensitivity and specificity. To our knowledge, our study is the first to assess the differences in performance between CAT and CART for shortening questionnaire lengths. Future research should consider administering varied assessments of patients over time to monitor their progress in multiple domains. For CR professionals, CART integrated with MyCARDSS would provide a feedback loop that informs the rehabilitation progress of their patients by providing real-time patient measurements.

摘要

背景

需要更简短的评估方法,既能获取患者问卷数据,又能保证高数据质量,同时不给患者带来过重的应答负担。计算机自适应测试(CAT)和分类回归树(CART)方法有潜力满足这些需求,并能提供缩短问卷长度的诱人选择。

目的

本研究的目的是测试CAT或CART是否最适合减少用于心脏康复(CR)领域需求评估程序(NAP)的多个领域(如焦虑、抑郁、生活质量和社会支持)问卷项目数量,同时不损失数据质量。

方法

使用来自多中心心脏康复决策支持系统(CARDSS)基于网络程序的2837名CR患者的NAP数据。患者通过基于网络的门户MyCARDSS提供数据。根据CAT和CART在缩短NAP程序方面的表现以及敏感性和特异性对其进行评估。

结果

使用CAT和CART时,NAP问卷长度分别总体减少了36%和72%,CAT的平均敏感性和特异性分别为0.765和0.817,分类树为0.777和0.877,回归树为0.743和0.40。

结论

CAT和CART均可用于缩短CR领域使用的NAP问卷。然而,CART表现最佳,与CAT相比,NAP问卷项目数量总体减少幅度是其两倍,且敏感性和特异性最高。据我们所知,我们的研究是首次评估CAT和CART在缩短问卷长度方面的性能差异。未来研究应考虑对患者进行不同时间的多样化评估,以监测他们在多个领域的进展。对于CR专业人员来说,与MyCARDSS集成的CART将提供一个反馈回路,通过提供实时患者测量数据来告知其患者的康复进展。

https://cdn.ncbi.nlm.nih.gov/pmc/blobs/68bc/7055848/ee54e59111e3/jmir_v22i1e12509_fig2.jpg
https://cdn.ncbi.nlm.nih.gov/pmc/blobs/68bc/7055848/92e279cbf135/jmir_v22i1e12509_fig1.jpg
https://cdn.ncbi.nlm.nih.gov/pmc/blobs/68bc/7055848/ee54e59111e3/jmir_v22i1e12509_fig2.jpg
https://cdn.ncbi.nlm.nih.gov/pmc/blobs/68bc/7055848/92e279cbf135/jmir_v22i1e12509_fig1.jpg
https://cdn.ncbi.nlm.nih.gov/pmc/blobs/68bc/7055848/ee54e59111e3/jmir_v22i1e12509_fig2.jpg

相似文献

1
Classification and Regression Tree and Computer Adaptive Testing in Cardiac Rehabilitation: Instrument Validation Study.心脏康复中的分类与回归树及计算机自适应测试:工具验证研究
J Med Internet Res. 2020 Jan 30;22(1):e12509. doi: 10.2196/12509.
2
Computerized Quality of Life Assessment: A Randomized Experiment to Determine the Impact of Individualized Feedback on Assessment Experience.计算机化生活质量评估:一项确定个性化反馈对评估体验影响的随机实验。
J Med Internet Res. 2019 Jul 11;21(7):e12212. doi: 10.2196/12212.
3
Optimizing measurement of vision-related quality of life: a computerized adaptive test for the impact of vision impairment questionnaire (IVI-CAT).优化视相关生活质量的测量:用于评估视力障碍问卷(IVI-CAT)影响的计算机化自适应测试。
Qual Life Res. 2020 Mar;29(3):765-774. doi: 10.1007/s11136-019-02354-y. Epub 2019 Nov 9.
4
Development and evaluation of a computer adaptive test to assess anxiety in cardiovascular rehabilitation patients.开发和评估一种计算机自适应测试,以评估心血管康复患者的焦虑。
Arch Phys Med Rehabil. 2013 Dec;94(12):2433-2439. doi: 10.1016/j.apmr.2013.07.009. Epub 2013 Jul 20.
5
Modernizing quality of life assessment: development of a multidimensional computerized adaptive questionnaire for patients with schizophrenia.现代生活质量评估:为精神分裂症患者开发多维计算机化自适应问卷。
Qual Life Res. 2018 Apr;27(4):1041-1054. doi: 10.1007/s11136-017-1553-1. Epub 2017 Mar 25.
6
International validation of the EORTC CAT Core: a new adaptive instrument for measuring core quality of life domains in cancer.EORTC CAT 核心量表的国际验证:一种新的自适应工具,用于测量癌症患者核心生活质量领域。
Qual Life Res. 2020 May;29(5):1405-1417. doi: 10.1007/s11136-020-02421-9. Epub 2020 Jan 18.
7
Evaluation of a Web-Based Intervention for Multiple Health Behavior Changes in Patients With Coronary Heart Disease in Home-Based Rehabilitation: Pilot Randomized Controlled Trial.基于网络的干预措施对冠心病患者居家康复中多种健康行为改变的评估:一项随机对照试验的初步研究
J Med Internet Res. 2018 Nov 19;20(11):e12052. doi: 10.2196/12052.
8
Grooming a CAT: customizing CAT administration rules to increase response efficiency in specific research and clinical settings.定制 CAT 管理规则以提高特定研究和临床环境下的反应效率
Qual Life Res. 2018 Sep;27(9):2403-2413. doi: 10.1007/s11136-018-1870-z. Epub 2018 May 5.
9
Development, piloting and validation of the Recommending Cardiac Rehabilitation (ReCaRe) instrument.推荐心脏康复(ReCaRe)工具的开发、试点和验证。
Heart Lung. 2019 Sep-Oct;48(5):405-413. doi: 10.1016/j.hrtlng.2019.04.008. Epub 2019 May 14.
10
A Modular Health-Related Quality of Life Instrument for Electronic Assessment and Treatment Monitoring: Web-Based Development and Psychometric Validation of Core Thrive Items.一种用于电子评估和治疗监测的模块化健康相关生活质量工具:基于网络的核心Thrive项目开发及心理测量学验证
J Med Internet Res. 2019 Jan 25;21(1):e12075. doi: 10.2196/12075.

引用本文的文献

1
Reliability and validity of a graphical computerized adaptive test Longshi scale for rapid assessment of activities of daily living in stroke survivors.龙氏量表图形化计算机自适应测验快速评估脑卒中患者日常生活活动能力的信度和效度。
Sci Rep. 2024 Apr 1;14(1):7625. doi: 10.1038/s41598-024-57671-1.
2
Application of the Rasch measurement model in rehabilitation research and practice: early developments, current practice, and future challenges.拉施测量模型在康复研究与实践中的应用:早期发展、当前实践及未来挑战。
Front Rehabil Sci. 2023 Jul 17;4:1208670. doi: 10.3389/fresc.2023.1208670. eCollection 2023.
3
Development of an Online Health Care Assessment for Preventive Medicine: A Machine Learning Approach.

本文引用的文献

1
Ensuring content validity of patient-reported outcomes: a shadow-test approach to their adaptive measurement.确保患者报告结局的内容效度:一种自适应测量的影子测试方法。
Qual Life Res. 2018 Jul;27(7):1683-1693. doi: 10.1007/s11136-017-1650-1. Epub 2017 Jul 14.
2
Development of a Computer Adaptive Test for Depression Based on the Dutch-Flemish Version of the PROMIS Item Bank.基于荷兰-弗拉芒语版患者报告结果测量信息系统(PROMIS)题库开发抑郁症计算机自适应测试。
Eval Health Prof. 2017 Mar;40(1):79-105. doi: 10.1177/0163278716684168. Epub 2017 Jan 10.
3
A new technique to measure online bullying: online computerized adaptive testing.
预防医学在线医疗保健评估的开发:一种机器学习方法。
J Med Internet Res. 2020 Jun 5;22(6):e18585. doi: 10.2196/18585.
一种测量网络欺凌的新技术:在线计算机自适应测试。
Ann Gen Psychiatry. 2017 Jul 3;16:26. doi: 10.1186/s12991-017-0149-z. eCollection 2017.
4
Classification and Regression Tree (CART) analysis to predict influenza in primary care patients.用于预测基层医疗患者流感的分类与回归树(CART)分析。
BMC Infect Dis. 2016 Sep 22;16(1):503. doi: 10.1186/s12879-016-1839-x.
5
Construct Validation of a Multidimensional Computerized Adaptive Test for Fatigue in Rheumatoid Arthritis.类风湿关节炎疲劳多维计算机自适应测试的结构效度验证
PLoS One. 2015 Dec 28;10(12):e0145008. doi: 10.1371/journal.pone.0145008. eCollection 2015.
6
Computerized Adaptive Diagnosis and Testing of Mental Health Disorders.计算机化自适应诊断与精神障碍测试。
Annu Rev Clin Psychol. 2016;12:83-104. doi: 10.1146/annurev-clinpsy-021815-093634. Epub 2015 Nov 20.
7
Decision tree methods: applications for classification and prediction.决策树方法:分类与预测应用
Shanghai Arch Psychiatry. 2015 Apr 25;27(2):130-5. doi: 10.11919/j.issn.1002-0829.215044.
8
Evaluating the effect of a web-based quality improvement system with feedback and outreach visits on guideline concordance in the field of cardiac rehabilitation: rationale and study protocol.评估基于网络的质量改进系统(包含反馈和外展访问)对心脏康复领域指南一致性的影响:理论依据与研究方案。
Implement Sci. 2014 Dec 31;9:780. doi: 10.1186/s13012-014-0131-y.
9
Applying computer adaptive testing to optimize online assessment of suicidal behavior: a simulation study.应用计算机自适应测试优化自杀行为的在线评估:一项模拟研究。
J Med Internet Res. 2014 Sep 11;16(9):e207. doi: 10.2196/jmir.3511.
10
Applying computerized adaptive testing to the Negative Acts Questionnaire-Revised: Rasch analysis of workplace bullying.将计算机化自适应测试应用于修订后的消极行为问卷:职场霸凌的拉施分析
J Med Internet Res. 2014 Feb 17;16(2):e50. doi: 10.2196/jmir.2819.