Suppr超能文献

Ti含量为36≤Ti≤70(原子百分比)的机械合金化超细晶粒Ti-Zr-Nb合金的晶体结构演变、微观结构形成及性能

Crystal Structure Evolution, Microstructure Formation, and Properties of Mechanically Alloyed Ultrafine-Grained Ti-Zr-Nb Alloys at 36≤Ti≤70 (at. %).

作者信息

Marczewski Mateusz, Miklaszewski Andrzej, Maeder Xavier, Jurczyk Mieczyslaw

机构信息

Institute of Materials Science and Engineering, Poznan University of Technology, Jana Pawla II No 24, 61-138 Poznan, Poland.

Laboratory of Mechanics of Materials and Nanostructures, Empa, Swiss Federal Laboratories for Materials Science and Technology, Feuerwerkerstrasse 39, CH-3602, Thun, Switzerland.

出版信息

Materials (Basel). 2020 Jan 27;13(3):587. doi: 10.3390/ma13030587.

Abstract

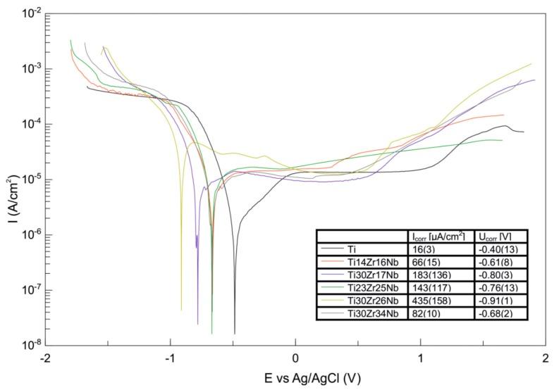
Titanium β-type alloys are preferred biomaterials for hard tissue replacements due to the low Young modulus and limitation of harmful aluminum and vanadium present in the commercially available Ti6Al4V alloy. The aim of this study was to develop a new ternary Ti-Zr-Nb system at 36≤Ti≤70 (at. %). The technical viability of preparing Ti-Zr-Nb alloys by high-energy ball-milling in a SPEX 8000 mill has been studied. These materials were prepared by the combination of mechanical alloying and powder metallurgy approach with cold powder compaction and sintering. Changes in the crystal structure as a function of the milling time were investigated using X-ray diffraction. Our study has shown that mechanical alloying supported by cold pressing and sintering at the temperature below α→β transus (600°C) can be applied to synthesize single-phase, ultrafine-grained, bulk Ti(β)-type Ti30Zr17Nb, Ti23Zr25Nb, Ti30Zr26Nb, Ti22Zr34Nb, and Ti30Zr34Nb alloys. Alloys with lower content of Zr and Nb need higher sintering temperatures to have them fully recrystallized. The properties of developed materials are also engrossing in terms of their biomedical use with Young modulus significantly lower than that of pure titanium.

摘要

由于杨氏模量低以及市售Ti6Al4V合金中存在有害的铝和钒,钛β型合金是硬组织替代的首选生物材料。本研究的目的是开发一种新的Ti-Zr-Nb三元体系,其中Ti的原子百分比为36≤Ti≤70。研究了在SPEX 8000球磨机中通过高能球磨制备Ti-Zr-Nb合金的技术可行性。这些材料是通过机械合金化和粉末冶金方法相结合,进行冷粉压实和烧结制备的。使用X射线衍射研究了晶体结构随球磨时间的变化。我们的研究表明,在低于α→β转变温度(600°C)的温度下进行冷压和烧结辅助的机械合金化可用于合成单相、超细晶粒的块状Ti(β)型Ti30Zr17Nb、Ti23Zr25Nb、Ti30Zr26Nb、Ti22Zr34Nb和Ti30Zr34Nb合金。Zr和Nb含量较低的合金需要更高的烧结温度才能完全再结晶。就其生物医学用途而言,所开发材料的性能也很吸引人,其杨氏模量明显低于纯钛。

https://cdn.ncbi.nlm.nih.gov/pmc/blobs/171c/7040818/0ed90b47ed55/materials-13-00587-g001.jpg

文献检索

告别复杂PubMed语法,用中文像聊天一样搜索,搜遍4000万医学文献。AI智能推荐,让科研检索更轻松。

立即免费搜索

文件翻译

保留排版,准确专业,支持PDF/Word/PPT等文件格式,支持 12+语言互译。

免费翻译文档

深度研究

AI帮你快速写综述,25分钟生成高质量综述,智能提取关键信息,辅助科研写作。

立即免费体验