• 文献检索
  • 文档翻译
  • 深度研究
  • 学术资讯
  • Suppr Zotero 插件Zotero 插件
  • 邀请有礼
  • 套餐&价格
  • 历史记录
应用&插件
Suppr Zotero 插件Zotero 插件浏览器插件Mac 客户端Windows 客户端微信小程序
定价
高级版会员购买积分包购买API积分包
服务
文献检索文档翻译深度研究API 文档MCP 服务
关于我们
关于 Suppr公司介绍联系我们用户协议隐私条款
关注我们

Suppr 超能文献

核心技术专利:CN118964589B侵权必究
粤ICP备2023148730 号-1Suppr @ 2026

文献检索

告别复杂PubMed语法,用中文像聊天一样搜索,搜遍4000万医学文献。AI智能推荐,让科研检索更轻松。

立即免费搜索

文件翻译

保留排版,准确专业,支持PDF/Word/PPT等文件格式,支持 12+语言互译。

免费翻译文档

深度研究

AI帮你快速写综述,25分钟生成高质量综述,智能提取关键信息,辅助科研写作。

立即免费体验

东非新型耐胁迫玉米杂交种的农场表现及农民参与式评估

On-farm performance and farmers' participatory assessment of new stress-tolerant maize hybrids in Eastern Africa.

作者信息

Worku Mosisa, De Groote Hugo, Munyua Bernard, Makumbi Dan, Owino Fidelis, Crossa Jose, Beyene Yoseph, Mugo Stephen, Jumbo McDonald, Asea Godfrey, Mutinda Charles, Kwemoi Daniel Bomet, Woyengo Vincent, Olsen Michael, Prasanna Boddupalli M

机构信息

International Maize and Wheat Improvement Center (CIMMYT), P. O. Box 1041, Village Market, 00621, Nairobi, Kenya.

CIMMYT, Apdo. Postal 041, C.A.P. Plaza Galerías, Col. Verónica Anzures, 11305 Ciudad de México, Mexico.

出版信息

Field Crops Res. 2020 Feb 1;246:107693. doi: 10.1016/j.fcr.2019.107693.

DOI:10.1016/j.fcr.2019.107693
PMID:32015590
原文链接:https://pmc.ncbi.nlm.nih.gov/articles/PMC6961973/
Abstract

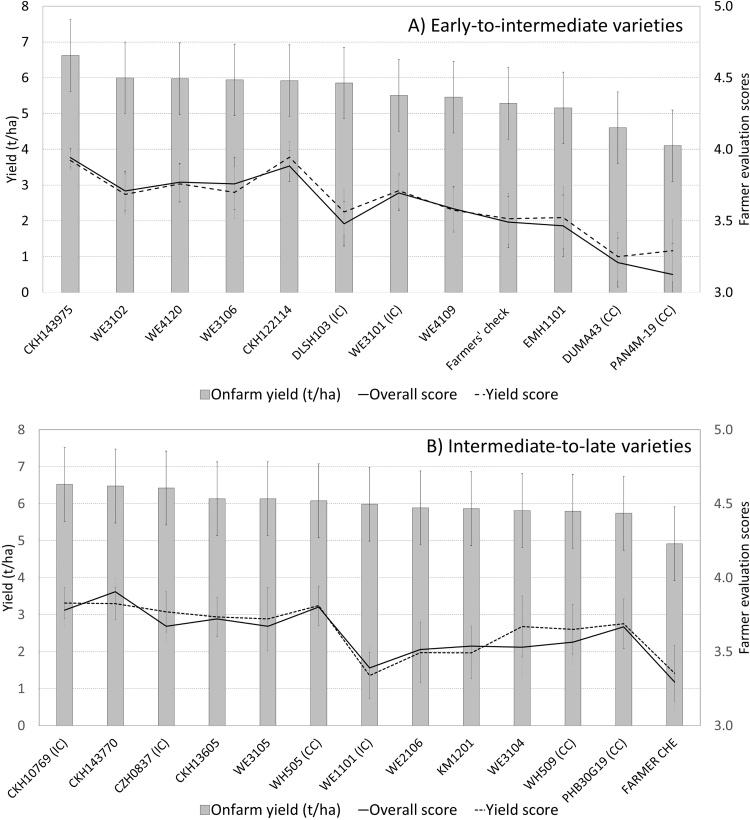
The development and deployment of high-yielding stress tolerant maize hybrids are important components of the efforts to increase maize productivity in eastern Africa. This study was conducted to: i) evaluate selected, stress-tolerant maize hybrids under farmers' conditions; ii) identify farmers' selection criteria in selecting maize hybrids; and iii) have farmers evaluate the new varieties according to those criteria. Two sets of trials, one with 12 early-to-intermediate maturing and the other with 13 intermediate-to-late maturing hybrids, improved for tolerance to multiple stresses common in farmers' fields in eastern Africa (drought, northern corn leaf blight, gray leaf spot, common rust, maize streak virus), were evaluated on-farm under smallholder farmers' conditions in a total of 42 and 40 environments (site-year-management combinations), respectively, across Kenya, Uganda, Tanzania and Rwanda in 2016 and 2017. Farmer-participatory variety evaluation was conducted at 27 sites in Kenya and Rwanda, with a total of 2025 participating farmers. Differential performance of the hybrids was observed under low-yielding (<3 t ha) and high-yielding (>3 t ha) environments. The new stress-tolerant maize hybrids had a much better grain-yield performance than the best commercial checks under smallholder farmer growing environments but had a comparable grain-yield performance under optimal conditions. These hybrids also showed better grain-yield stability across the testing environments, providing an evidence for the success of the maize-breeding approach. In addition, the new stress- tolerant varieties outperformed the internal genetic checks, indicating genetic gain under farmers' conditions. Farmers gave high importance to grain yield in both farmer-stated preferences (through scores) and farmer-revealed preferences of criteria (revealed by regressing the overall scores on the scores for the individual criteria). The top-yielding hybrids in both maturity groups also received the farmers' highest overall scores. Farmers ranked yield, early maturity, cob size and number of cobs as the most important traits for variety preference. The criteria for the different hybrids did not differ between men and women farmers. Farmers gave priority to many different traits in addition to grain yield, but this may not be applicable across all maize-growing regions. Farmer-stated importance of the different criteria, however, were quite different from farmer- revealed importance. Further, there were significant differences between men and women in the revealed-importance of the criteria. We conclude that incorporating farmers' selection criteria in the stage-gate advancement process of new hybrids by the breeders is useful under the changing maize-growing environments in sub-Saharan Africa, and recommended to increase the turnover of new maize hybrids.

摘要

高产抗逆玉米杂交种的培育与推广是提高东非玉米产量的重要举措。本研究旨在:i)在农户条件下评估选定的抗逆玉米杂交种;ii)确定农户选择玉米杂交种的标准;iii)让农户根据这些标准评估新品种。在肯尼亚、乌干达、坦桑尼亚和卢旺达,于2016年和2017年分别在小农户条件下对两组试验进行了田间评估,一组有12个早熟至中熟杂交种,另一组有13个中熟至晚熟杂交种,这些杂交种针对东非农户田间常见的多种胁迫(干旱、北方玉米叶斑病、灰斑病、普通锈病、玉米条纹病毒)进行了改良,分别在总共42个和40个环境(地点 - 年份 - 管理组合)中进行。在肯尼亚和卢旺达的27个地点开展了农户参与式品种评估,共有2025名农户参与。在低产(<3吨/公顷)和高产(>3吨/公顷)环境下观察到了杂交种的不同表现。在小农户种植环境中,新的抗逆玉米杂交种的籽粒产量表现远优于最佳商业对照品种,但在最佳条件下籽粒产量表现相当。这些杂交种在整个测试环境中也表现出更好的籽粒产量稳定性,为玉米育种方法的成功提供了证据。此外,新的抗逆品种表现优于内部遗传对照,表明在农户条件下实现了遗传增益。在农户陈述的偏好(通过评分)和农户揭示的标准偏好(通过将总体评分对各个标准的评分进行回归揭示)中,农户都高度重视籽粒产量。两个成熟组中产量最高的杂交种也获得了农户的最高总体评分。农户将产量、早熟性、穗轴大小和果穗数量列为品种偏好的最重要性状。不同杂交种的标准在男性和女性农户之间没有差异。除了籽粒产量外,农户还优先考虑许多不同的性状,但这可能不适用于所有玉米种植地区。然而,农户陈述的不同标准的重要性与农户揭示的重要性有很大不同。此外,在标准的揭示重要性方面,男性和女性之间存在显著差异。我们得出结论,在撒哈拉以南非洲不断变化的玉米种植环境下,育种者在新杂交种的阶段门推进过程中纳入农户选择标准是有用的,并建议增加新玉米杂交种的更新换代。

https://cdn.ncbi.nlm.nih.gov/pmc/blobs/ff0a/6961973/68918e1f891a/gr6.jpg
https://cdn.ncbi.nlm.nih.gov/pmc/blobs/ff0a/6961973/d39b11c54594/gr1.jpg
https://cdn.ncbi.nlm.nih.gov/pmc/blobs/ff0a/6961973/fc78ae4f81ab/gr2.jpg
https://cdn.ncbi.nlm.nih.gov/pmc/blobs/ff0a/6961973/3c9972a34e81/gr3.jpg
https://cdn.ncbi.nlm.nih.gov/pmc/blobs/ff0a/6961973/6d1a6ba45d18/gr4.jpg
https://cdn.ncbi.nlm.nih.gov/pmc/blobs/ff0a/6961973/c48e4eb356af/gr5.jpg
https://cdn.ncbi.nlm.nih.gov/pmc/blobs/ff0a/6961973/68918e1f891a/gr6.jpg
https://cdn.ncbi.nlm.nih.gov/pmc/blobs/ff0a/6961973/d39b11c54594/gr1.jpg
https://cdn.ncbi.nlm.nih.gov/pmc/blobs/ff0a/6961973/fc78ae4f81ab/gr2.jpg
https://cdn.ncbi.nlm.nih.gov/pmc/blobs/ff0a/6961973/3c9972a34e81/gr3.jpg
https://cdn.ncbi.nlm.nih.gov/pmc/blobs/ff0a/6961973/6d1a6ba45d18/gr4.jpg
https://cdn.ncbi.nlm.nih.gov/pmc/blobs/ff0a/6961973/c48e4eb356af/gr5.jpg
https://cdn.ncbi.nlm.nih.gov/pmc/blobs/ff0a/6961973/68918e1f891a/gr6.jpg

相似文献

1
On-farm performance and farmers' participatory assessment of new stress-tolerant maize hybrids in Eastern Africa.东非新型耐胁迫玉米杂交种的农场表现及农民参与式评估
Field Crops Res. 2020 Feb 1;246:107693. doi: 10.1016/j.fcr.2019.107693.
2
Participatory evaluation guides the development and selection of farmers' preferred rice varieties for salt- and flood-affected coastal deltas of South and Southeast Asia.参与式评估指导了南亚和东南亚受盐碱和洪水影响的沿海三角洲地区农民偏好的水稻品种的开发与选择。
Field Crops Res. 2018 May 1;220:67-77. doi: 10.1016/j.fcr.2017.03.009.
3
Enhancing Genetic Gains in Grain Yield and Efficiency of Testing Sites of Early-Maturing Maize Hybrids under Contrasting Environments.在不同环境下提高早熟玉米杂交种测试站点的遗传增益和效率
Genes (Basel). 2023 Sep 30;14(10):1900. doi: 10.3390/genes14101900.
4
Trait profile of maize varieties preferred by farmers and value chain actors in northern Ghana.加纳北部农民和价值链参与者偏好的玉米品种特征概况。
Agron Sustain Dev. 2021;41(4):50. doi: 10.1007/s13593-021-00708-w. Epub 2021 Jul 6.
5
Agronomic performance and yield stability of extra-early maturing maize hybrids in multiple environments in the Sahel.萨赫勒地区多环境下特早熟玉米杂交种的农艺性能及产量稳定性
Heliyon. 2023 Nov 2;9(11):e21659. doi: 10.1016/j.heliyon.2023.e21659. eCollection 2023 Nov.
6
Approaches and progress in breeding drought-tolerant maize hybrids for tropical lowlands in west and central Africa.培育适合西非和中非热带低地的耐旱玉米杂交种的方法和进展。
Plant Genome. 2024 Jun;17(2):e20437. doi: 10.1002/tpg2.20437. Epub 2024 Feb 20.
7
Genetic gains in early maturing maize hybrids developed by the International Maize and Wheat Improvement Center in Southern Africa during 2000-2018.2000年至2018年期间,国际玉米和小麦改良中心在南部非洲培育的早熟玉米杂交种的遗传增益。
Front Plant Sci. 2024 Jan 16;14:1321308. doi: 10.3389/fpls.2023.1321308. eCollection 2023.
8
Participatory variety selection for released white common bean varieties in South Gondar Zone, Ethiopia.埃塞俄比亚南贡德尔地区已发布白芸豆品种的参与式品种选择
Heliyon. 2021 Dec 15;7(12):e08610. doi: 10.1016/j.heliyon.2021.e08610. eCollection 2021 Dec.
9
Data-driven, participatory characterization of farmer varieties discloses teff breeding potential under current and future climates.数据驱动、参与式的农民品种特征描述揭示了埃塞俄比亚画眉草在当前和未来气候下的育种潜力。
Elife. 2022 Sep 2;11:e80009. doi: 10.7554/eLife.80009.
10
Genetic analysis of tolerance to combined drought and heat stress in tropical maize.热带玉米对干旱和热胁迫复合耐受性的遗传分析。
PLoS One. 2024 Jun 20;19(6):e0302272. doi: 10.1371/journal.pone.0302272. eCollection 2024.

引用本文的文献

1
Multi-environmental traits selection and farmer's participatory assessment of mean performance and stability of orange-fleshed sweet potato genotypes in Benin.贝宁橙色果肉甘薯基因型在多环境下的性状选择及农民对其平均表现和稳定性的参与式评估
Heliyon. 2025 Jan 5;11(2):e41685. doi: 10.1016/j.heliyon.2025.e41685. eCollection 2025 Jan 30.
2
Recent advances in the population biology and management of maize foliar fungal pathogens , and in Africa.玉米叶部真菌病原体种群生物学与管理方面的最新进展,以及在非洲的情况。
Front Plant Sci. 2024 Aug 1;15:1404483. doi: 10.3389/fpls.2024.1404483. eCollection 2024.
3
Farmer decision making for hybrid maize seed purchases: Effects of brand loyalty, price discounts and product information.

本文引用的文献

1
Genetic Analysis of Tropical Midaltitude- Adapted Maize Populations under Stress and Nonstress Conditions.热带中海拔适应型玉米群体在胁迫和非胁迫条件下的遗传分析
Crop Sci. 2018 Jul-Aug;58:1492-1507. doi: 10.2135/cropsci2017.09.0531. Epub 2018 Jun 7.
2
Characteristics of maize cultivars in Africa: How modern are they and how many do smallholder farmers grow?非洲玉米品种的特征:它们有多现代,小农种植了多少种?
Agric Food Secur. 2017;6:30. doi: 10.1186/s40066-017-0108-6. Epub 2017 Mar 17.
3
Genetic analysis of tropical maize inbred lines for resistance to maize lethal necrosis disease.
农民购买杂交玉米种子的决策:品牌忠诚度、价格折扣和产品信息的影响。
Agric Syst. 2024 Jun;218:104002. doi: 10.1016/j.agsy.2024.104002.
4
A scoping review on tools and methods for trait prioritization in crop breeding programmes.作物育种计划中性状优先级排序工具和方法的范围综述。
Nat Plants. 2024 Mar;10(3):402-411. doi: 10.1038/s41477-024-01639-6. Epub 2024 Feb 22.
5
Genetic gains in early maturing maize hybrids developed by the International Maize and Wheat Improvement Center in Southern Africa during 2000-2018.2000年至2018年期间,国际玉米和小麦改良中心在南部非洲培育的早熟玉米杂交种的遗传增益。
Front Plant Sci. 2024 Jan 16;14:1321308. doi: 10.3389/fpls.2023.1321308. eCollection 2023.
6
Innovative approaches to integrating gender into conventional maize breeding: lessons from the Seed Production Technology for Africa project.将性别因素纳入传统玉米育种的创新方法:来自非洲种子生产技术项目的经验教训。
Front Sociol. 2023 Sep 19;8:1254595. doi: 10.3389/fsoc.2023.1254595. eCollection 2023.
7
Population genomic analyses suggest recent dispersal events of the pathogen Cercospora zeina into East and Southern African maize cropping systems.种群基因组分析表明,病原菌玉米尾孢菌最近向东非和南非的玉米种植系统扩散。
G3 (Bethesda). 2023 Nov 1;13(11). doi: 10.1093/g3journal/jkad214.
8
Genetic trends for yield and key agronomic traits in pre-commercial and commercial maize varieties between 2008 and 2020 in Uganda.2008年至2020年乌干达预商业化和商业化玉米品种产量及关键农艺性状的遗传趋势
Front Plant Sci. 2023 Mar 10;14:1020667. doi: 10.3389/fpls.2023.1020667. eCollection 2023.
9
Incorporating male sterility increases hybrid maize yield in low input African farming systems.在低投入的非洲农业系统中,利用雄性不育提高杂交玉米的产量。
Commun Biol. 2022 Jul 22;5(1):729. doi: 10.1038/s42003-022-03680-7.
10
Gender inclusivity through maize breeding in Africa: A review of the issues and options for future engagement.非洲玉米育种中的性别包容性:对未来参与的问题与选择的综述
Outlook Agric. 2021 Dec;50(4):392-405. doi: 10.1177/00307270211058208. Epub 2021 Nov 22.
热带玉米自交系对玉米致死坏死病抗性的遗传分析
Euphytica. 2017;213(9):224. doi: 10.1007/s10681-017-2012-3. Epub 2017 Sep 2.
4
Developing and deploying climate-resilient maize varieties in the developing world.在发展中国家培育和推广具有抗气候能力的玉米品种。
Curr Opin Plant Biol. 2018 Oct;45(Pt B):226-230. doi: 10.1016/j.pbi.2018.05.004. Epub 2018 May 17.
5
Agricultural intensification: The status in six African countries.农业集约化:六个非洲国家的现状
Food Policy. 2017 Feb;67:26-40. doi: 10.1016/j.foodpol.2016.09.021.
6
Consumer acceptance of quality protein maize (QPM) in East Africa.东非消费者对优质蛋白玉米(QPM)的接受度。
J Sci Food Agric. 2014 Dec;94(15):3201-12. doi: 10.1002/jsfa.6672. Epub 2014 May 8.