Suppr超能文献

在欧洲机械循环支持注册研究(EUROMACS)中,接受左心室辅助装置植入治疗的患者早期死亡的原因和预测因素。

Causes and predictors of early mortality in patients treated with left ventricular assist device implantation in the European Registry of Mechanical Circulatory Support (EUROMACS).

机构信息

Thoraxcenter, Department of Cardiology, Erasmus MC University Medical Centre Rotterdam, Dr. Molewaterplein 40, 3015 GD, Rotterdam, The Netherlands.

Department of Intensive Care, Haga Teaching Hospital, The Hague, The Netherlands.

出版信息

Intensive Care Med. 2020 Jul;46(7):1349-1360. doi: 10.1007/s00134-020-05939-1. Epub 2020 Feb 3.

Abstract

PURPOSE

The aim of the study was to analyze early mortality after continuous-flow left ventricular assist device (LVAD) implantation which remains high.

METHODS

We analyzed consecutive (n = 2689) patients from the European Registry for Patients with Mechanical Circulatory Support (EUROMACS) undergoing continuous-flow LVAD implantation. The primary outcome was early (< 90 days) mortality. Secondary outcomes were differential causes of early post-operative death following LVAD implantation.

RESULTS

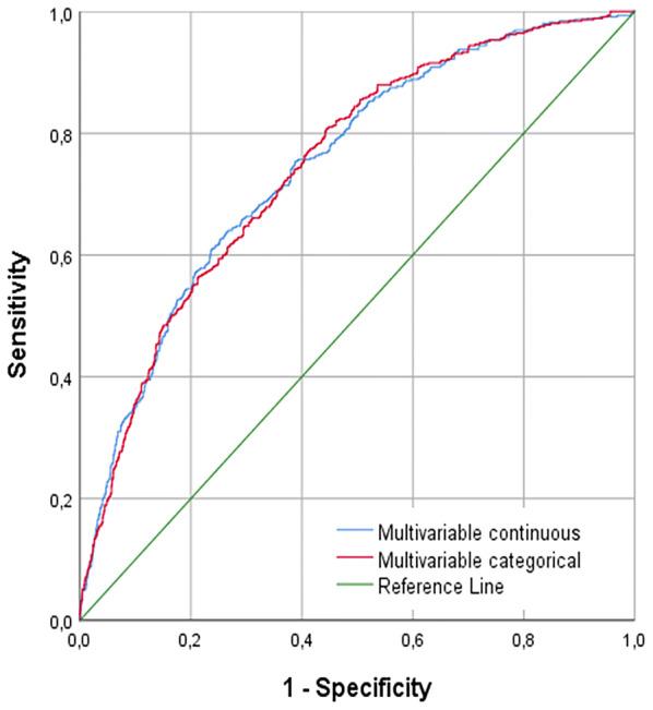
Univariable and multivariable analysis as well as regression analysis were used to examine determinants and differential causes of early (< 90 days) mortality after LVAD implantation. During the first 90 days, 2160 (80%) patients were alive with ongoing LVAD support, 40(2%) patients underwent heart transplantation, and 487(18%) deceased. The main causes of early death were MOF (36%), sepsis (28%), cardiopulmonary failure (CPF; 10%), CVA (9%), and right-sided heart failure (RHF, 8%). Furthermore, MOF and sepsis are 70% of causes of death in the first week. Independent clinical predictors of early death were age, female sex, INTERMACS profile 1 to 3, and ECMO. Laboratory predictors included elevated serum creatinine, total bilirubin, lactate, and low hemoglobin. Furthermore, hemodynamic predictors included elevated RA-to-PCWP ratio, pulmonary vascular resistance, and low systemic vascular resistance. Longer total implantation time was also independent predictor of early mortality. A simple model of 12 variables predicts early mortality following LVAD implantation with a good discriminative power with area under the curve of 0.75.

CONCLUSIONS

In the EUROMACS registry, approximately one out of five patients die within 90 days after LVAD implantation. Early mortality is primarily dominated by multiorgan failure followed by sepsis. A simple model identifies important parameters which are associated with early mortality following LVAD implantation.

摘要

目的

本研究旨在分析持续血流左心室辅助装置(LVAD)植入后的早期死亡率仍然很高的原因。

方法

我们分析了来自欧洲机械循环支持患者注册(EUROMACS)的连续(n=2689)患者,这些患者接受了持续血流 LVAD 植入。主要结果是早期(<90 天)死亡率。次要结果是 LVAD 植入后早期术后死亡的差异原因。

结果

使用单变量和多变量分析以及回归分析来检查 LVAD 植入后早期(<90 天)死亡率的决定因素和差异原因。在最初的 90 天内,2160(80%)名患者在持续的 LVAD 支持下存活,40(2%)名患者接受了心脏移植,487(18%)名患者死亡。早期死亡的主要原因是多器官功能衰竭(MOF,36%)、败血症(28%)、心肺衰竭(CPF,10%)、中风(CVA,9%)和右侧心力衰竭(RHF,8%)。此外,MOF 和败血症占第一周死亡原因的 70%。早期死亡的独立临床预测因素是年龄、女性、INTERMACS 分级 1 至 3 和 ECMO。实验室预测因素包括血清肌酐、总胆红素、乳酸和低血红蛋白升高。此外,血流动力学预测因素包括升高的 RA 到 PCWP 比值、肺血管阻力和低全身血管阻力。总植入时间较长也是早期死亡率的独立预测因素。一个由 12 个变量组成的简单模型可以很好地预测 LVAD 植入后的早期死亡率,曲线下面积为 0.75。

结论

在 EUROMACS 注册中,大约五分之一的患者在 LVAD 植入后 90 天内死亡。早期死亡率主要由多器官衰竭为主,其次是败血症。一个简单的模型确定了与 LVAD 植入后早期死亡率相关的重要参数。

https://cdn.ncbi.nlm.nih.gov/pmc/blobs/32e1/7334284/7b5927cc52ee/134_2020_5939_Fig1_HTML.jpg

文献检索

告别复杂PubMed语法,用中文像聊天一样搜索,搜遍4000万医学文献。AI智能推荐,让科研检索更轻松。

立即免费搜索

文件翻译

保留排版,准确专业,支持PDF/Word/PPT等文件格式,支持 12+语言互译。

免费翻译文档

深度研究

AI帮你快速写综述,25分钟生成高质量综述,智能提取关键信息,辅助科研写作。

立即免费体验