Suppr超能文献

一种用于评估疾病进展的医生完成式数字工具(多发性硬化症进展讨论工具):验证研究

A Physician-Completed Digital Tool for Evaluating Disease Progression (Multiple Sclerosis Progression Discussion Tool): Validation Study.

作者信息

Ziemssen Tjalf, Piani-Meier Daniela, Bennett Bryan, Johnson Chloe, Tinsley Katie, Trigg Andrew, Hach Thomas, Dahlke Frank, Tomic Davorka, Tolley Chloe, Freedman Mark S

机构信息

Center of Clinical Neuroscience, Neurological University Clinic Carl Gustav Carus, TU Dresden, Dresden, Germany.

Novartis Pharma AG, Basel, Switzerland.

出版信息

J Med Internet Res. 2020 Feb 12;22(2):e16932. doi: 10.2196/16932.

Abstract

BACKGROUND

Defining the transition from relapsing-remitting multiple sclerosis (RRMS) to secondary progressive multiple sclerosis (SPMS) can be challenging and delayed. A digital tool (MSProDiscuss) was developed to facilitate physician-patient discussion in evaluating early, subtle signs of multiple sclerosis (MS) disease progression representing this transition.

OBJECTIVE

This study aimed to determine cut-off values and corresponding sensitivity and specificity for predefined scoring algorithms, with or without including Expanded Disability Status Scale (EDSS) scores, to differentiate between RRMS and SPMS patients and to evaluate psychometric properties.

METHODS

Experienced neurologists completed the tool for patients with confirmed RRMS or SPMS and those suspected to be transitioning to SPMS. In addition to age and EDSS score, each patient's current disease status (disease activity, symptoms, and its impacts on daily life) was collected while completing the draft tool. Receiver operating characteristic (ROC) curves determined optimal cut-off values (sensitivity and specificity) for the classification of RRMS and SPMS.

RESULTS

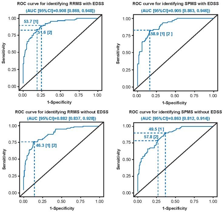
Twenty neurologists completed the draft tool for 198 patients. Mean scores for patients with RRMS (n=89), transitioning to SPMS (n=47), and SPMS (n=62) were 38.1 (SD 12.5), 55.2 (SD 11.1), and 69.6 (SD 12.0), respectively (P<.001, each between-groups comparison). Area under the ROC curve (AUC) including and excluding EDSS were for RRMS (including) AUC 0.91, 95% CI 0.87-0.95, RRMS (excluding) AUC 0.88, 95% CI 0.84-0.93, SPMS (including) AUC 0.91, 95% CI 0.86-0.95, and SPMS (excluding) AUC 0.86, 95% CI 0.81-0.91. In the algorithm with EDSS, the optimal cut-off values were ≤51.6 for RRMS patients (sensitivity=0.83; specificity=0.82) and ≥58.9 for SPMS patients (sensitivity=0.82; specificity=0.84). The optimal cut-offs without EDSS were ≤46.3 and ≥57.8 and resulted in similar high sensitivity and specificity (0.76-0.86). The draft tool showed excellent interrater reliability (intraclass correlation coefficient=.95).

CONCLUSIONS

The MSProDiscuss tool differentiated RRMS patients from SPMS patients with high sensitivity and specificity. In clinical practice, it may be a useful tool to evaluate early, subtle signs of MS disease progression indicating the evolution of RRMS to SPMS. MSProDiscuss will help assess the current level of progression in an individual patient and facilitate a more informed physician-patient discussion.

摘要

背景

定义复发缓解型多发性硬化症(RRMS)向继发进展型多发性硬化症(SPMS)的转变可能具有挑战性且会被延迟。开发了一种数字工具(MSProDiscuss),以促进医患讨论,评估代表这种转变的多发性硬化症(MS)疾病进展的早期细微迹象。

目的

本研究旨在确定预定义评分算法的临界值以及相应的敏感性和特异性,包括或不包括扩展残疾状态量表(EDSS)评分,以区分RRMS和SPMS患者,并评估心理测量特性。

方法

经验丰富的神经科医生为确诊的RRMS或SPMS患者以及疑似正在转变为SPMS的患者完成该工具。除年龄和EDSS评分外,在完成该工具草案时收集每位患者当前的疾病状态(疾病活动、症状及其对日常生活的影响)。受试者工作特征(ROC)曲线确定RRMS和SPMS分类的最佳临界值(敏感性和特异性)。

结果

20名神经科医生为198名患者完成了该工具草案。RRMS患者(n = 89)、转变为SPMS的患者(n = 47)和SPMS患者(n =

62)的平均得分分别为38.1(标准差12.5)、55.2(标准差11.1)和69.6(标准差12.0)(每组之间的比较,P <.001)。包括和不包括EDSS的ROC曲线下面积(AUC),对于RRMS(包括)AUC为0.91,95%置信区间为0.87 - 0.95,RRMS(不包括)AUC为0.88,95%置信区间为0.84 - 0.93,SPMS(包括)AUC为0.91,95%置信区间为0.86 - 0.95,SPMS(不包括)AUC为0.86,95%置信区间为0.81 - 0.91。在包含EDSS的算法中,RRMS患者的最佳临界值≤51.6(敏感性 = 0.83;特异性 = 0.82),SPMS患者的最佳临界值≥58.9(敏感性 = 0.82;特异性 = 0.84)。不包括EDSS的最佳临界值为≤46.3和≥57.8,敏感性和特异性也很高(0.76 - 0.86)。该工具草案显示出极好的评分者间信度(组内相关系数 = 0.95)。

结论

MSProDiscuss工具以高敏感性和特异性区分RRMS患者与SPMS患者。在临床实践中,它可能是评估MS疾病进展的早期细微迹象(表明RRMS向SPMS演变)的有用工具。MSProDiscuss将有助于评估个体患者当前的进展水平,并促进更明智的医患讨论。

https://cdn.ncbi.nlm.nih.gov/pmc/blobs/f987/7055760/fdc77a908185/jmir_v22i2e16932_fig1.jpg

文献检索

告别复杂PubMed语法,用中文像聊天一样搜索,搜遍4000万医学文献。AI智能推荐,让科研检索更轻松。

立即免费搜索

文件翻译

保留排版,准确专业,支持PDF/Word/PPT等文件格式,支持 12+语言互译。

免费翻译文档

深度研究

AI帮你快速写综述,25分钟生成高质量综述,智能提取关键信息,辅助科研写作。

立即免费体验