• 文献检索
  • 文档翻译
  • 深度研究
  • 学术资讯
  • Suppr Zotero 插件Zotero 插件
  • 邀请有礼
  • 套餐&价格
  • 历史记录
应用&插件
Suppr Zotero 插件Zotero 插件浏览器插件Mac 客户端Windows 客户端微信小程序
定价
高级版会员购买积分包购买API积分包
服务
文献检索文档翻译深度研究API 文档MCP 服务
关于我们
关于 Suppr公司介绍联系我们用户协议隐私条款
关注我们

Suppr 超能文献

核心技术专利:CN118964589B侵权必究
粤ICP备2023148730 号-1Suppr @ 2026

文献检索

告别复杂PubMed语法,用中文像聊天一样搜索,搜遍4000万医学文献。AI智能推荐,让科研检索更轻松。

立即免费搜索

文件翻译

保留排版,准确专业,支持PDF/Word/PPT等文件格式,支持 12+语言互译。

免费翻译文档

深度研究

AI帮你快速写综述,25分钟生成高质量综述,智能提取关键信息,辅助科研写作。

立即免费体验

内源性大麻素系统化合物与聚-L-赖氨酸组合相互作用对生长和生物膜形成的比较评价。

Comparative Evaluation of Combinatory Interaction between Endocannabinoid System Compounds and Poly-L-lysine against Growth and Biofilm Formation.

机构信息

Biofilm Research Laboratory, Faculty of Dental Medicine, The Hebrew University of Jerusalem, Jerusalem, Israel.

The Institute for Drug Research, School of Pharmacy, The Hebrew University of Jerusalem, Jerusalem, Israel.

出版信息

Biomed Res Int. 2020 Jan 31;2020:7258380. doi: 10.1155/2020/7258380. eCollection 2020.

DOI:10.1155/2020/7258380
PMID:32076613
原文链接:https://pmc.ncbi.nlm.nih.gov/articles/PMC7013284/
Abstract

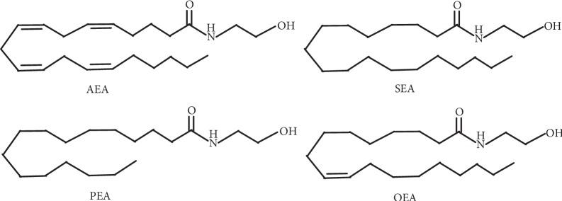
Endocannabinoid/endocannabinoid-like (EC/EC-like) are natural endogenous compounds which have been found to affect MRSA pathogenicity. Our previous studies showed that EC/EC-like was able to impair staphylococcal biofilm formation and maintenance as well as to alter biofilm-associated virulence factors. In the present study, we investigated the combinatory effect of the selected EC/EC-like with a natural antimicrobial agent, poly-L-lysine, on cariogenic bacteria growth and biofilm formation. Among four tested EC/EC-like, only two, anandamide (AEA) and oleoylethanolamide (OEA), exhibited synergistic combinatory effect with poly-L-lysine against . . We attribute this distinct effect to differences in the fatty acid chain structure of the selected EC/EC-like compounds. Moreover, AEA exerted a specific antibiofilm mode of action against . by effecting total inhibition of biofilm formation while still allowing bacteria viability. Finally, we postulate that the presence of EC/EC-like and poly-L-lysine could enhance the permeability and efficacy of each other via hydrophobic and electrostatic interactions with the . membrane. In conclusion, we assume that a combination of endogenous natural compounds such as EC/EC-like and poly-L-lysine may benefit oral hygiene by preventing dental plaque.

摘要

内源性大麻素/内源性大麻素样物质(EC/EC 样)是天然的内源性化合物,已被发现会影响耐甲氧西林金黄色葡萄球菌的致病性。我们之前的研究表明,EC/EC 样物质能够损害金黄色葡萄球菌生物膜的形成和维持,并改变生物膜相关的毒力因子。在本研究中,我们研究了选定的 EC/EC 样物质与天然抗菌剂聚赖氨酸联合对致龋菌生长和生物膜形成的组合效应。在测试的四种 EC/EC 样物质中,只有两种,即花生四烯酸乙醇胺(AEA)和油酰乙醇胺(OEA),与聚赖氨酸对 表现出协同的组合效应。我们将这种明显的效果归因于所选 EC/EC 样物质的脂肪酸链结构的差异。此外,AEA 通过完全抑制生物膜形成对 发挥特定的抗生物膜作用,同时仍允许细菌存活。最后,我们假设 EC/EC 样物质和聚赖氨酸的存在可以通过与 细胞膜的疏水和静电相互作用来增强彼此的通透性和功效。总之,我们假设内源性天然化合物(如 EC/EC 样物质和聚赖氨酸)的组合可能通过预防牙菌斑来有益于口腔卫生。

https://cdn.ncbi.nlm.nih.gov/pmc/blobs/91ce/7013284/a36c8738fa27/BMRI2020-7258380.003.jpg
https://cdn.ncbi.nlm.nih.gov/pmc/blobs/91ce/7013284/2114557b7e8a/BMRI2020-7258380.001.jpg
https://cdn.ncbi.nlm.nih.gov/pmc/blobs/91ce/7013284/7007753654ba/BMRI2020-7258380.002.jpg
https://cdn.ncbi.nlm.nih.gov/pmc/blobs/91ce/7013284/a36c8738fa27/BMRI2020-7258380.003.jpg
https://cdn.ncbi.nlm.nih.gov/pmc/blobs/91ce/7013284/2114557b7e8a/BMRI2020-7258380.001.jpg
https://cdn.ncbi.nlm.nih.gov/pmc/blobs/91ce/7013284/7007753654ba/BMRI2020-7258380.002.jpg
https://cdn.ncbi.nlm.nih.gov/pmc/blobs/91ce/7013284/a36c8738fa27/BMRI2020-7258380.003.jpg

相似文献

1
Comparative Evaluation of Combinatory Interaction between Endocannabinoid System Compounds and Poly-L-lysine against Growth and Biofilm Formation.内源性大麻素系统化合物与聚-L-赖氨酸组合相互作用对生长和生物膜形成的比较评价。
Biomed Res Int. 2020 Jan 31;2020:7258380. doi: 10.1155/2020/7258380. eCollection 2020.
2
Effects of Antimicrobial Peptide GH12 on the Cariogenic Properties and Composition of a Cariogenic Multispecies Biofilm.抗菌肽 GH12 对致龋性多物种生物膜致龋特性和组成的影响。
Appl Environ Microbiol. 2018 Nov 30;84(24). doi: 10.1128/AEM.01423-18. Print 2018 Dec 15.
3
Potential combinations of endocannabinoid/endocannabinoid-like compounds and antibiotics against methicillin-resistant Staphylococcus aureus.内源性大麻素/内源性大麻素样化合物与抗生素联合应用治疗耐甲氧西林金黄色葡萄球菌。
PLoS One. 2020 Apr 15;15(4):e0231583. doi: 10.1371/journal.pone.0231583. eCollection 2020.
4
Antimicrobial potential of endocannabinoid and endocannabinoid-like compounds against methicillin-resistant Staphylococcus aureus.内源性大麻素和内源性大麻素样化合物对耐甲氧西林金黄色葡萄球菌的抗菌潜力。
Sci Rep. 2018 Dec 6;8(1):17696. doi: 10.1038/s41598-018-35793-7.
5
Effect of the antimicrobial decapeptide KSL on the growth of oral pathogens and Streptococcus mutans biofilm.抗菌十肽 KSL 对口腔病原体和变形链球菌生物膜生长的影响。
Int J Antimicrob Agents. 2011 Jan;37(1):33-8. doi: 10.1016/j.ijantimicag.2010.08.014. Epub 2010 Oct 17.
6
Antimicrobial peptides Pep19-2.5 and Pep19-4LF inhibit Streptococcus mutans growth and biofilm formation.抗菌肽 Pep19-2.5 和 Pep19-4LF 抑制变异链球菌的生长和生物膜形成。
Microb Pathog. 2019 Aug;133:103546. doi: 10.1016/j.micpath.2019.103546. Epub 2019 May 18.
7
Anti-Bacterial and Anti-Biofilm Activities of Anandamide against the Cariogenic .对致龋菌的大麻素(Anandamide)的抗细菌和抗生物膜活性。
Int J Mol Sci. 2023 Mar 24;24(7):6177. doi: 10.3390/ijms24076177.
8
A tooth-binding antimicrobial peptide to prevent the formation of dental biofilm.一种抑制细菌形成生物膜的抗菌肽用于预防牙菌斑的形成。
J Mater Sci Mater Med. 2019 Mar 30;30(4):45. doi: 10.1007/s10856-019-6246-6.
9
Differences between single- and dual-species biofilms of Streptococcus mutans and Veillonella parvula in growth, acidogenicity and susceptibility to chlorhexidine.变形链球菌和小韦荣球菌单物种与双物种生物膜在生长、产酸性及对氯己定敏感性方面的差异
Eur J Oral Sci. 2006 Feb;114(1):58-63. doi: 10.1111/j.1600-0722.2006.00262.x.
10
The synthetic human beta-defensin-3 C15 peptide exhibits antimicrobial activity against Streptococcus mutans, both alone and in combination with dental disinfectants.合成人β-防御素-3 C15肽单独以及与牙科消毒剂联合使用时,均对变形链球菌具有抗菌活性。
J Microbiol. 2017 Oct;55(10):830-836. doi: 10.1007/s12275-017-7362-y. Epub 2017 Sep 28.

引用本文的文献

1
In vitro antimicrobial activity of Thai stick cannabis Hang Kra Rog Phu Phan ( L.), sugar leaves extract against pathogenic bacteria.泰国棒状大麻Hang Kra Rog Phu Phan (L.)糖叶提取物对病原菌的体外抗菌活性。
J Adv Vet Anim Res. 2025 Mar 24;12(1):44-52. doi: 10.5455/javar.2025.l870. eCollection 2025 Mar.
2
Efficacy of Toothpaste Containing Polylysine and Funme Peptide on Oral Microbiome and Oral Health.含聚赖氨酸和芬美肽牙膏对口腔微生物群及口腔健康的功效
Int Dent J. 2025 Apr;75(2):1068-1080. doi: 10.1016/j.identj.2024.11.017. Epub 2025 Jan 13.
3
Antimicrobial, Probiotic, and Immunomodulatory Potential of Extract and Delivery Systems.

本文引用的文献

1
Antimicrobial and Antibiofilm Activity against of Individual and Mixtures of the Main Polyphenolic Compounds Found in Chilean Propolis.智利蜂胶中主要多酚化合物单体及混合物的抗微生物和抗生物膜活性。
Biomed Res Int. 2019 Jan 2;2019:7602343. doi: 10.1155/2019/7602343. eCollection 2019.
2
Antimicrobial potential of endocannabinoid and endocannabinoid-like compounds against methicillin-resistant Staphylococcus aureus.内源性大麻素和内源性大麻素样化合物对耐甲氧西林金黄色葡萄球菌的抗菌潜力。
Sci Rep. 2018 Dec 6;8(1):17696. doi: 10.1038/s41598-018-35793-7.
3
Antibacterial activity and mode of action of ε-polylysine against O157:H7.
提取物及递送系统的抗菌、益生菌及免疫调节潜力
Antibiotics (Basel). 2024 Apr 17;13(4):369. doi: 10.3390/antibiotics13040369.
4
Antibiofilm and Immune-Modulatory Activity of Cannabidiol and Cannabigerol in Oral Environments-In Vitro Study.大麻二酚和大麻萜酚在口腔环境中的抗生物膜和免疫调节活性——体外研究
Antibiotics (Basel). 2024 Apr 9;13(4):342. doi: 10.3390/antibiotics13040342.
5
Emerging mechanisms by which endocannabinoids and their derivatives modulate bacterial populations within the gut microbiome.内源性大麻素及其衍生物调节肠道微生物群中细菌种群的新机制。
Adv Drug Alcohol Res. 2023 Dec 8;3:11359. doi: 10.3389/adar.2023.11359. eCollection 2023.
6
Recent progress in carbon dots for anti-pathogen applications in oral cavity.口腔中用于抗病原体应用的碳点的最新进展。
Front Cell Infect Microbiol. 2023 Sep 15;13:1251309. doi: 10.3389/fcimb.2023.1251309. eCollection 2023.
7
Anti-Bacterial and Anti-Biofilm Activities of Anandamide against the Cariogenic .对致龋菌的大麻素(Anandamide)的抗细菌和抗生物膜活性。
Int J Mol Sci. 2023 Mar 24;24(7):6177. doi: 10.3390/ijms24076177.
8
Antimicrobial and Cytotoxic Effects of Cannabinoids: An Updated Review with Future Perspectives and Current Challenges.大麻素的抗菌和细胞毒性作用:具有未来展望和当前挑战的最新综述
Pharmaceuticals (Basel). 2022 Oct 6;15(10):1228. doi: 10.3390/ph15101228.
9
Anti-Microbial Activity of Phytocannabinoids and Endocannabinoids in the Light of Their Physiological and Pathophysiological Roles.从植物大麻素和内源性大麻素的生理及病理生理作用角度看其抗菌活性
Biomedicines. 2022 Mar 9;10(3):631. doi: 10.3390/biomedicines10030631.
10
Small Molecule Compounds, A Novel Strategy against .小分子化合物,一种对抗……的新策略。
Pathogens. 2021 Nov 25;10(12):1540. doi: 10.3390/pathogens10121540.
ε-聚赖氨酸对O157:H7的抗菌活性及作用方式。
J Med Microbiol. 2018 Jun;67(6):838-845. doi: 10.1099/jmm.0.000729.
4
Immunoregulatory Role of Cannabinoids during Infectious Disease.大麻素在传染病中的免疫调节作用。
Neuroimmunomodulation. 2017;24(4-5):183-199. doi: 10.1159/000481824. Epub 2017 Nov 18.
5
Synergistic effect of eugenol, carvacrol, thymol, p-cymene and γ-terpinene on inhibition of drug resistance and biofilm formation of oral bacteria.丁香酚、香芹酚、百里酚、对伞花烃和γ-萜品烯对抑制口腔细菌耐药性和生物膜形成的协同作用。
Microb Pathog. 2017 Nov;112:156-163. doi: 10.1016/j.micpath.2017.09.057. Epub 2017 Sep 28.
6
Cannabis and Pain: A Clinical Review.大麻与疼痛:一项临床综述
Cannabis Cannabinoid Res. 2017 May 1;2(1):96-104. doi: 10.1089/can.2017.0017. eCollection 2017.
7
Membrane-mediated action of the endocannabinoid anandamide on membrane proteins: implications for understanding the receptor-independent mechanism.内源性大麻素大麻酚通过膜蛋白的膜介导作用:对理解受体非依赖性机制的意义。
Sci Rep. 2017 Jan 27;7:41362. doi: 10.1038/srep41362.
8
Antimicrobial, antioxidant, and antitumor activity of epsilon-poly-L-lysine and citral, alone or in combination.ε-聚-L-赖氨酸与柠檬醛单独及联合使用时的抗菌、抗氧化和抗肿瘤活性。
Food Nutr Res. 2016 Jun 15;60:31891. doi: 10.3402/fnr.v60.31891. eCollection 2016.
9
Natural Antimicrobials ε-Poly-L-lysine and Nisin A for Control of Oral Microflora.用于控制口腔微生物群的天然抗菌剂ε-聚-L-赖氨酸和乳酸链球菌素A
Probiotics Antimicrob Proteins. 2009 Dec;1(2):143. doi: 10.1007/s12602-009-9020-0.
10
Therapeutic potential of thiazolidinedione-8 as an antibiofilm agent against Candida albicans.噻唑烷二酮-8 作为抗白色念珠菌生物膜剂的治疗潜力。
PLoS One. 2014 May 5;9(5):e93225. doi: 10.1371/journal.pone.0093225. eCollection 2014.