Suppr超能文献

饲粮β-谷甾醇可调节肉鸡血清脂质水平,改善免疫功能、抗氧化状态和肠道形态。

Dietary β-sitosterol regulates serum lipid level and improves immune function, antioxidant status, and intestinal morphology in broilers.

机构信息

College of Animal Science and Technology, Nanjing Agricultural University, Nanjing 210095, China.

College of Animal Science and Technology, Nanjing Agricultural University, Nanjing 210095, China.

出版信息

Poult Sci. 2020 Mar;99(3):1400-1408. doi: 10.1016/j.psj.2019.10.025. Epub 2020 Jan 28.

Abstract

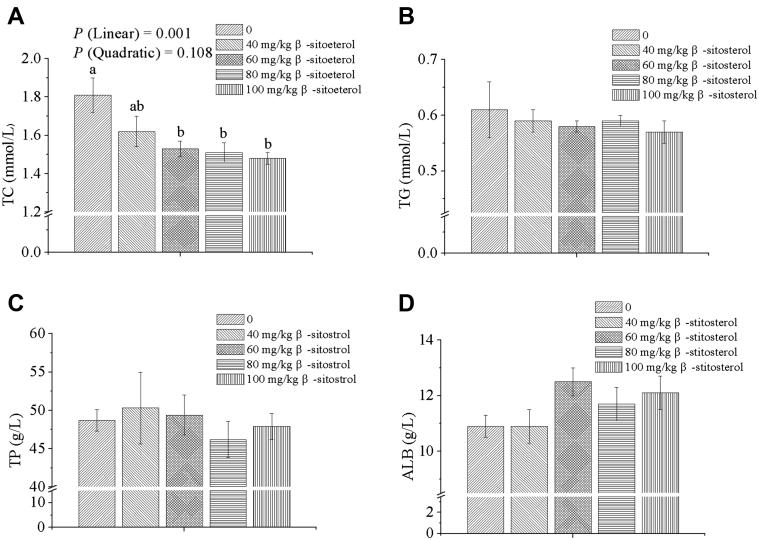
This research investigated effects of dietary β-sitosterol addition at different levels on serum lipid levels, immune function, oxidative status, and intestinal morphology in broilers. One-day-old broiler chicks were allocated to 5 groups of 6 replicates. Chickens in the 5 groups were fed a basal diet supplemented with 0 (control group), 40, 60, 80, and 100 mg/kg of β-sitosterol for 42 D, respectively. β-Sitosterol linearly decreased (P < 0.05) concentrations of serum total cholesterol, jejunal tumor necrosis factor α (TNF-α), and ileal interleukin 1β (IL-1β) and mRNA relative expressions levels of jejunal TLR4 and ileal MyD88, whereas it linearly increased (P < 0.05) contents of jejunal immunoglobulin G (IgG), ileal secreted IgA and glutathione, jejunal catalase activity and Nrf2 mRNA relative expression level, villus height (VH), and VH-to-crypt depth (CD) ratio (VH:CD) in the jejunum and ileum. Linear and quadratic increases (P < 0.05) in absolute and relative spleen weight were observed by dietary β-sitosterol, whereas malondialdehyde (MDA) concentration in the jejunum and ileum followed the opposite trend (P < 0.05). Compared with the control group, dietary β-sitosterol at higher than or equal to 60 mg/kg level decreased (P < 0.05) contents of serum total cholesterol, ileal MDA, and jejunal TLR4 mRNA relative expression level, whereas it increased (P < 0.05) absolute spleen weight and ileal glutathione content. Higher than or equal to 80 mg/kg level of β-sitosterol enhanced (P < 0.05) jejunal IgG concentration, VH, catalase activity, and Nrf2 relative expression level and ileal secreted IgA content, but reduced (P < 0.05) ileal IL-1β content and MyD88 mRNA relative expression level. β-Sitosterol addition at 60 and 80 mg/kg levels increased (P < 0.05) relative spleen weight, whereas it decreased (P < 0.05) jejunal MDA accumulation. Moreover, 100 mg/kg level of β-sitosterol reduced (P < 0.05) jejunal TNF-α level, but it increased (P < 0.05) VH in the jejunum and VH:CD in the jejunum and ileum. Accordingly, dietary β-sitosterol supplementation could regulate serum cholesterol level, promote immune function, and improve intestinal oxidative status and morphology in broilers.

摘要

本研究旨在探讨不同水平β-谷甾醇添加对肉鸡血清脂质水平、免疫功能、氧化状态和肠道形态的影响。将 1 日龄肉鸡雏鸡分为 5 组,每组 6 个重复。第 5 组肉鸡分别饲喂基础日粮,基础日粮中添加 0(对照组)、40、60、80 和 100mg/kgβ-谷甾醇,持续 42 天。β-谷甾醇线性降低(P<0.05)血清总胆固醇、空肠肿瘤坏死因子-α(TNF-α)和回肠白细胞介素 1β(IL-1β)浓度以及空肠 TLR4 和回肠 MyD88 的 mRNA 相对表达水平,而线性增加(P<0.05)空肠免疫球蛋白 G(IgG)、回肠分泌型 IgA 和谷胱甘肽含量、空肠过氧化氢酶活性和 Nrf2 mRNA 相对表达水平、空肠和回肠的绒毛高度(VH)和绒毛高度与隐窝深度(CD)比(VH:CD)。随着日粮中β-谷甾醇的添加,绝对和相对脾脏重量呈线性和二次增加(P<0.05),而空肠和回肠中的丙二醛(MDA)浓度则呈现相反的趋势(P<0.05)。与对照组相比,日粮中添加β-谷甾醇≥60mg/kg时,血清总胆固醇、回肠 MDA 和空肠 TLR4 mRNA 相对表达水平降低(P<0.05),而绝对脾脏重量和回肠谷胱甘肽含量增加(P<0.05)。β-谷甾醇添加水平≥80mg/kg时,可增强(P<0.05)空肠 IgG 浓度、VH、过氧化氢酶活性和 Nrf2 相对表达水平以及回肠分泌型 IgA 含量,但降低(P<0.05)回肠 IL-1β 含量和 MyD88 mRNA 相对表达水平。β-谷甾醇添加 60 和 80mg/kg 水平可增加(P<0.05)相对脾脏重量,而降低(P<0.05)空肠 MDA 积累。此外,100mg/kg 水平的β-谷甾醇降低(P<0.05)空肠 TNF-α 水平,但增加(P<0.05)空肠 VH,并增加空肠和回肠的 VH:CD。因此,日粮β-谷甾醇的添加可以调节肉鸡血清胆固醇水平,促进免疫功能,改善肠道氧化状态和形态。

https://cdn.ncbi.nlm.nih.gov/pmc/blobs/ffb9/7587718/25236cb2cd47/gr1.jpg

文献AI研究员

20分钟写一篇综述,助力文献阅读效率提升50倍。

立即体验

用中文搜PubMed

大模型驱动的PubMed中文搜索引擎

马上搜索

文档翻译

学术文献翻译模型,支持多种主流文档格式。

立即体验