Suppr超能文献

电极表面振动探针处界面电场的不均匀性。

Inhomogeneity of Interfacial Electric Fields at Vibrational Probes on Electrode Surfaces.

作者信息

Goldsmith Zachary K, Secor Maxim, Hammes-Schiffer Sharon

机构信息

Department of Chemistry, Yale University, 225 Prospect Street, New Haven, Connecticut 06520, United States.

出版信息

ACS Cent Sci. 2020 Feb 26;6(2):304-311. doi: 10.1021/acscentsci.9b01297. Epub 2020 Feb 3.

Abstract

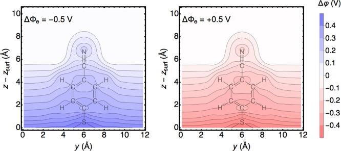
Electric fields control chemical reactivity in a wide range of systems, including enzymes and electrochemical interfaces. Characterizing the electric fields at electrode-solution interfaces is critical for understanding heterogeneous catalysis and associated energy conversion processes. To address this challenge, recent experiments have probed the response of the nitrile stretching frequency of 4-mercaptobenzonitrile (4-MBN) attached to a gold electrode to changes in the solvent and applied electrode potential. Herein, this system is modeled with periodic density functional theory using a multilayer dielectric continuum treatment of the solvent and at constant applied potentials. The impact of the solvent dielectric constant and the applied electrode potential on the nitrile stretching frequency computed with a grid-based method is in qualitative agreement with the experimental data. In addition, the interfacial electrostatic potentials and electric fields as a function of applied potential were calculated directly with density functional theory. Substantial spatial inhomogeneity of the interfacial electric fields was observed, including oscillations in the region of the molecular probe attached to the electrode. These simulations highlight the microscopic inhomogeneity of the electric fields and the role of molecular polarizability at electrode-solution interfaces, thereby demonstrating the limitations of mean-field models and providing insights relevant to the interpretation of vibrational Stark effect experiments.

摘要

电场可控制包括酶和电化学界面在内的多种体系中的化学反应活性。表征电极 - 溶液界面处的电场对于理解多相催化及相关能量转换过程至关重要。为应对这一挑战,近期的实验探究了附着在金电极上的4 - 巯基苯甲腈(4 - MBN)的腈基伸缩频率对溶剂和施加电极电位变化的响应。在此,使用溶剂的多层介电连续介质处理并在恒定施加电位下,采用周期性密度泛函理论对该体系进行建模。用基于网格的方法计算得到的溶剂介电常数和施加电极电位对腈基伸缩频率的影响与实验数据在定性上一致。此外,利用密度泛函理论直接计算了作为施加电位函数的界面静电势和电场。观察到界面电场存在显著的空间不均匀性,包括附着在电极上的分子探针区域内的振荡。这些模拟突出了电极 - 溶液界面处电场的微观不均匀性以及分子极化率的作用,从而证明了平均场模型的局限性,并为解释振动斯塔克效应实验提供了相关见解。

https://cdn.ncbi.nlm.nih.gov/pmc/blobs/5b18/7047426/d2e26b4e4a58/oc9b01297_0001.jpg

文献检索

告别复杂PubMed语法,用中文像聊天一样搜索,搜遍4000万医学文献。AI智能推荐,让科研检索更轻松。

立即免费搜索

文件翻译

保留排版,准确专业,支持PDF/Word/PPT等文件格式,支持 12+语言互译。

免费翻译文档

深度研究

AI帮你快速写综述,25分钟生成高质量综述,智能提取关键信息,辅助科研写作。

立即免费体验