Suppr超能文献

耐多药肺结核的治疗。

Treatment of Highly Drug-Resistant Pulmonary Tuberculosis.

机构信息

From the Clinical HIV Research Unit, Faculty of Health Sciences, University of Witwatersrand, Johannesburg (F.C., N.N., P.H.), Sizwe Tropical Disease Hospital, Sandringham (F.C., P.H.), Task Applied Science and Stellenbosch University, Cape Town (A.H.D.), King DiniZulu Hospital Complex, Durban (N.N.), and the TB Alliance, Pretoria (C.V.N., M.O.) - all in South Africa; the TB Alliance, New York (D.E., C.M.M., E.E., J.M., J.T., M.L., M.S.); and the MRC Clinical Trials Unit at UCL (A.M.C., G.H.W.) and the UCL Centre for Clinical Microbiology (T.D.M., A.B., R.H.), University College London, London.

出版信息

N Engl J Med. 2020 Mar 5;382(10):893-902. doi: 10.1056/NEJMoa1901814.

Abstract

BACKGROUND

Patients with highly drug-resistant forms of tuberculosis have limited treatment options and historically have had poor outcomes.

METHODS

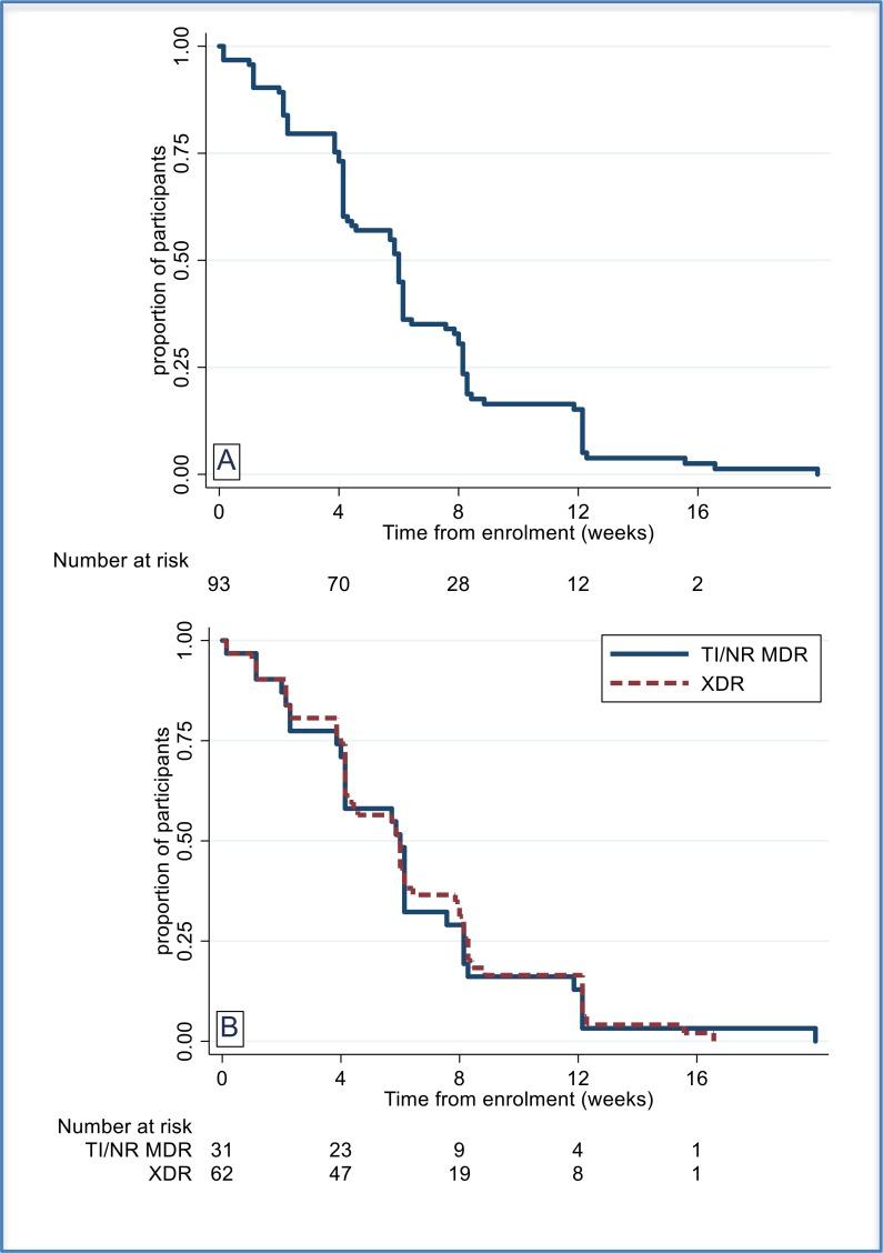
In an open-label, single-group study in which follow-up is ongoing at three South African sites, we investigated treatment with three oral drugs - bedaquiline, pretomanid, and linezolid - that have bactericidal activity against tuberculosis and to which there is little preexisting resistance. We evaluated the safety and efficacy of the drug combination for 26 weeks in patients with extensively drug-resistant tuberculosis and patients with multidrug-resistant tuberculosis that was not responsive to treatment or for which a second-line regimen had been discontinued because of side effects. The primary end point was the incidence of an unfavorable outcome, defined as treatment failure (bacteriologic or clinical) or relapse during follow-up, which continued until 6 months after the end of treatment. Patients were classified as having a favorable outcome at 6 months if they had resolution of clinical disease, a negative culture status, and had not already been classified as having had an unfavorable outcome. Other efficacy end points and safety were also evaluated.

RESULTS

A total of 109 patients were enrolled in the study and were included in the evaluation of efficacy and safety end points. At 6 months after the end of treatment in the intention-to-treat analysis, 11 patients (10%) had an unfavorable outcome and 98 patients (90%; 95% confidence interval, 83 to 95) had a favorable outcome. The 11 unfavorable outcomes were 7 deaths (6 during treatment and 1 from an unknown cause during follow-up), 1 withdrawal of consent during treatment, 2 relapses during follow-up, and 1 loss to follow-up. The expected linezolid toxic effects of peripheral neuropathy (occurring in 81% of patients) and myelosuppression (48%), although common, were manageable, often leading to dose reductions or interruptions in treatment with linezolid.

CONCLUSIONS

The combination of bedaquiline, pretomanid, and linezolid led to a favorable outcome at 6 months after the end of therapy in a high percentage of patients with highly drug-resistant forms of tuberculosis; some associated toxic effects were observed. (Funded by the TB Alliance and others; ClinicalTrials.gov number, NCT02333799.).

摘要

背景

患有高度耐药形式的结核病的患者治疗选择有限,历史上治疗效果不佳。

方法

在南非三个地点进行的一项开放性、单组研究中,我们研究了使用三种具有抗结核杀菌活性且耐药性低的口服药物(贝达喹啉、普托马尼和利奈唑胺)的治疗效果。我们评估了该药物联合治疗在广泛耐药性结核病和对治疗无反应或因副作用而停止二线方案的耐多药结核病患者中的安全性和疗效,治疗时间为 26 周。主要终点是不良结局的发生率,定义为治疗失败(细菌学或临床)或随访期间复发,随访持续至治疗结束后 6 个月。如果患者临床疾病缓解、培养结果阴性且尚未被归类为不良结局,则在 6 个月时被归类为有良好结局。还评估了其他疗效终点和安全性。

结果

共有 109 名患者入组并被纳入疗效和安全性终点的评估。在治疗结束后 6 个月的意向治疗分析中,11 名患者(10%)出现不良结局,98 名患者(90%;95%置信区间,83 至 95)有良好结局。11 个不良结局包括 7 例死亡(6 例在治疗期间,1 例在随访期间死因不明)、1 例治疗期间撤回同意、2 例随访期间复发和 1 例失访。虽然常见,但预期的利奈唑胺毒性效应,如周围神经病(发生在 81%的患者中)和骨髓抑制(48%)是可以管理的,通常导致利奈唑胺剂量减少或中断治疗。

结论

贝达喹啉、普托马尼和利奈唑胺联合治疗在高度耐药形式的结核病患者中,在治疗结束后 6 个月时取得了良好的结局;观察到一些相关的毒性作用。(由 TB 联盟和其他机构资助;临床试验编号,NCT02333799。)

https://cdn.ncbi.nlm.nih.gov/pmc/blobs/3315/6955640/a33d0eabc107/NEJM-2020-1901814-g001.jpg

文献检索

告别复杂PubMed语法,用中文像聊天一样搜索,搜遍4000万医学文献。AI智能推荐,让科研检索更轻松。

立即免费搜索

文件翻译

保留排版,准确专业,支持PDF/Word/PPT等文件格式,支持 12+语言互译。

免费翻译文档

深度研究

AI帮你快速写综述,25分钟生成高质量综述,智能提取关键信息,辅助科研写作。

立即免费体验