Suppr超能文献

鉴定三个 lncRNAs 作为肺腺癌潜在的预测性生物标志物。

Identification of Three lncRNAs as Potential Predictive Biomarkers of Lung Adenocarcinoma.

机构信息

Cardiovascular Thoracic Surgery Department, Tianjin Medical University General Hospital, 154 Anshan Road, Heping District, Tianjin 300052, China.

Department of Urology, Tianjin Medical University General Hospital, 154 Anshan Road, Heping District, Tianjin 300052, China.

出版信息

Biomed Res Int. 2020 Feb 19;2020:7573689. doi: 10.1155/2020/7573689. eCollection 2020.

Abstract

BACKGROUND

Lung cancer is the most common cancer and the most common cause of cancer-related death worldwide. However, the molecular mechanism of its development is unclear. It is imperative to identify more novel biomarkers.

METHODS

Two datasets (GSE70880 and GSE113852) were downloaded from the Gene Expression Omnibus (GEO) database and used to identify the differentially expressed genes (DEGs) between lung cancer tissues and normal tissues. Then, we constructed a competing endogenous RNA (ceRNA) network and a protein-protein interaction (PPI) network and performed gene ontology (GO) analysis, Kyoto Encyclopedia of Genes and Genomes (KEGG) pathway analysis, and survival analyses to identify potential biomarkers that are related to the diagnosis and prognosis of lung cancer.

RESULTS

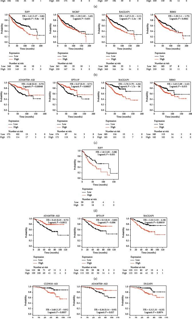
A total of 41 lncRNAs and 805 mRNAs were differentially expressed in lung cancer. The ceRNA network contained four lncRNAs (CLDN10-AS1, SFTA1P, SRGAP3-AS2, and ADAMTS9-AS2), 21 miRNAs, and 48 mRNAs. Functional analyses revealed that the genes in the ceRNA network were mainly enriched in cell migration, transmembrane receptor, and protein kinase activity. mRNAs DLGAP5, E2F7, MCM7, RACGAP1, and RRM2 had the highest connectivity in the PPI network. Immunohistochemistry (IHC) demonstrated that mRNAs DLGAP5, MCM7, RACGAP1, and RRM2 were upregulated in lung adenocarcinoma (LUAD). Survival analyses showed that lncRNAs CLDN10-AS1, SFTA1P, and ADAMTS9-AS2 were associated with the prognosis of LUAD.

CONCLUSION

lncRNAs CLDN10-AS1, SFTA1P, and ADAMTS9-AS2 might be the biomarkers of LUAD. For the first time, we confirmed the important role of lncRNA CLDN10-AS1 in LUAD.

摘要

背景

肺癌是全球最常见的癌症和癌症相关死亡的主要原因。然而,其发展的分子机制尚不清楚。因此,有必要寻找更多新的生物标志物。

方法

从基因表达综合数据库(GEO)下载了两个数据集(GSE70880 和 GSE113852),用于鉴定肺癌组织与正常组织之间的差异表达基因(DEGs)。然后,我们构建了竞争性内源性 RNA(ceRNA)网络和蛋白质-蛋白质相互作用(PPI)网络,并进行了基因本体论(GO)分析、京都基因与基因组百科全书(KEGG)通路分析和生存分析,以鉴定与肺癌诊断和预后相关的潜在生物标志物。

结果

肺癌中共有 41 个 lncRNA 和 805 个 mRNA 表达差异。ceRNA 网络包含四个 lncRNA(CLDN10-AS1、SFTA1P、SRGAP3-AS2 和 ADAMTS9-AS2)、21 个 miRNA 和 48 个 mRNA。功能分析表明,ceRNA 网络中的基因主要富集在细胞迁移、跨膜受体和蛋白激酶活性。在 PPI 网络中,mRNA DLGAP5、E2F7、MCM7、RACGAP1 和 RRM2 具有最高的连接度。免疫组织化学(IHC)表明,mRNA DLGAP5、MCM7、RACGAP1 和 RRM2 在肺腺癌(LUAD)中上调。生存分析表明,lncRNA CLDN10-AS1、SFTA1P 和 ADAMTS9-AS2 与 LUAD 的预后相关。

结论

lncRNA CLDN10-AS1、SFTA1P 和 ADAMTS9-AS2 可能是 LUAD 的生物标志物。我们首次证实了 lncRNA CLDN10-AS1 在 LUAD 中的重要作用。

https://cdn.ncbi.nlm.nih.gov/pmc/blobs/a5a4/7053454/681d6d568a67/BMRI2020-7573689.001.jpg

文献检索

告别复杂PubMed语法,用中文像聊天一样搜索,搜遍4000万医学文献。AI智能推荐,让科研检索更轻松。

立即免费搜索

文件翻译

保留排版,准确专业,支持PDF/Word/PPT等文件格式,支持 12+语言互译。

免费翻译文档

深度研究

AI帮你快速写综述,25分钟生成高质量综述,智能提取关键信息,辅助科研写作。

立即免费体验