• 文献检索
  • 文档翻译
  • 深度研究
  • 学术资讯
  • Suppr Zotero 插件Zotero 插件
  • 邀请有礼
  • 套餐&价格
  • 历史记录
应用&插件
Suppr Zotero 插件Zotero 插件浏览器插件Mac 客户端Windows 客户端微信小程序
定价
高级版会员购买积分包购买API积分包
服务
文献检索文档翻译深度研究API 文档MCP 服务
关于我们
关于 Suppr公司介绍联系我们用户协议隐私条款
关注我们

Suppr 超能文献

核心技术专利:CN118964589B侵权必究
粤ICP备2023148730 号-1Suppr @ 2026

文献检索

告别复杂PubMed语法,用中文像聊天一样搜索,搜遍4000万医学文献。AI智能推荐,让科研检索更轻松。

立即免费搜索

文件翻译

保留排版,准确专业,支持PDF/Word/PPT等文件格式,支持 12+语言互译。

免费翻译文档

深度研究

AI帮你快速写综述,25分钟生成高质量综述,智能提取关键信息,辅助科研写作。

立即免费体验

没食子酸和二巯基丁二酸甲酯可逆转砷诱导的大鼠红细胞氧化/亚硝化损伤。

Gallic acid and MiADMSA reversed arsenic induced oxidative/nitrosative damage in rat red blood cells.

作者信息

Panghal Archna, Sathua Kshirod Bihari, Flora S J S

机构信息

National Institute of Pharmaceutical Education and Research-Raebareli, NIPER Raebareli Transit Campus, Near CRPF Camp, Bijnor-Sisendi Road, P.O. Mati, Lucknow, 226002, Uttar Pradesh, India.

出版信息

Heliyon. 2020 Feb 19;6(2):e03431. doi: 10.1016/j.heliyon.2020.e03431. eCollection 2020 Feb.

DOI:10.1016/j.heliyon.2020.e03431
PMID:32149198
原文链接:https://pmc.ncbi.nlm.nih.gov/articles/PMC7033339/
Abstract

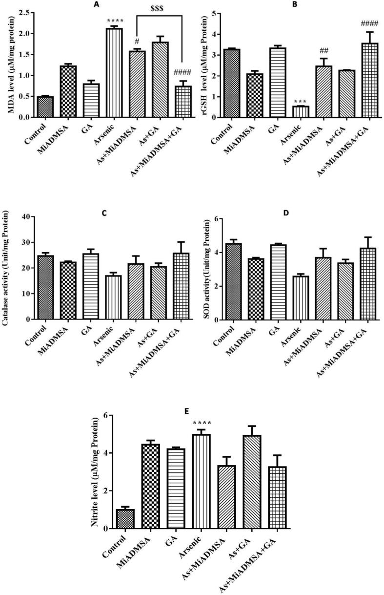
Arsenic (As) is naturally occurring toxic metalloid which is considered as a serious environmental and health concern. Red blood cells are the prime target for any toxicants as their population is higher in systemic circulation. High prevalence of anaemia too has been reported from arsenic contaminated area, suggesting possible linkage between arsenic and the damaging effects on RBCs. The exact mechanism for these effects is still not clear, however, oxidative/nitrosative stress might be one of the causative factors to play a key role. The present study was planned to evaluate the protective effects of a metal chelator, MiADMSA either alone or in combination with a natural antioxidant (gallic acid) for the reversal of arsenic induced oxidative damage in red blood cells. We collected rat RBCs and cultured them in appropriate medium. They were incubated with MiADMSA and gallic acid and then treated with sodium arsenite at 37 °C. Hemolysates were prepared and assayed for various biochemical parameters such as oxidative/nitrosative variables, osmotic fragility, acetylcholinesterase activity, and cellular metal accumulation. We found there was reversibility of oxidative/nitrosative stress variables, elevated cellular antioxidant power, and decreased osmotic fragility of red blood cells both in MiADMSA alone as well as in combination with gallic acid treated group compared with arsenic treated group. In conclusion, MiADMSA efficiently participated in the reversal of arsenic induced oxidative/nitrosative damage in red blood cells where as Gallic acid improved its reversal when given in combination with MiADMSA.

摘要

砷(As)是一种天然存在的有毒类金属,被视为严重的环境和健康问题。红细胞是任何有毒物质的主要靶标,因为它们在体循环中的数量较多。砷污染地区也报告了贫血的高患病率,这表明砷与对红细胞的损害作用之间可能存在联系。然而,这些影响的确切机制仍不清楚,氧化/亚硝化应激可能是起关键作用的致病因素之一。本研究旨在评估金属螯合剂二巯基丁二酸单酰胺(MiADMSA)单独或与天然抗氧化剂(没食子酸)联合使用对逆转砷诱导的红细胞氧化损伤的保护作用。我们收集大鼠红细胞并在适当的培养基中培养。将它们与MiADMSA和没食子酸一起孵育,然后在37℃下用亚砷酸钠处理。制备溶血产物并测定各种生化参数,如氧化/亚硝化变量、渗透脆性、乙酰胆碱酯酶活性和细胞金属积累。我们发现,与砷处理组相比,单独使用MiADMSA以及与没食子酸联合处理组的红细胞氧化/亚硝化应激变量具有可逆性,细胞抗氧化能力增强,渗透脆性降低。总之,MiADMSA有效地参与了逆转砷诱导的红细胞氧化/亚硝化损伤,而没食子酸与MiADMSA联合使用时可改善其逆转效果。

https://cdn.ncbi.nlm.nih.gov/pmc/blobs/b8e1/7033339/7490af242111/gr7.jpg
https://cdn.ncbi.nlm.nih.gov/pmc/blobs/b8e1/7033339/091753964062/gr1.jpg
https://cdn.ncbi.nlm.nih.gov/pmc/blobs/b8e1/7033339/9e829e886abe/gr2.jpg
https://cdn.ncbi.nlm.nih.gov/pmc/blobs/b8e1/7033339/e6fbded28e19/gr3.jpg
https://cdn.ncbi.nlm.nih.gov/pmc/blobs/b8e1/7033339/d1a5bbe55822/gr4.jpg
https://cdn.ncbi.nlm.nih.gov/pmc/blobs/b8e1/7033339/8b63da47496d/gr5.jpg
https://cdn.ncbi.nlm.nih.gov/pmc/blobs/b8e1/7033339/e58fb9b2668e/gr6.jpg
https://cdn.ncbi.nlm.nih.gov/pmc/blobs/b8e1/7033339/7490af242111/gr7.jpg
https://cdn.ncbi.nlm.nih.gov/pmc/blobs/b8e1/7033339/091753964062/gr1.jpg
https://cdn.ncbi.nlm.nih.gov/pmc/blobs/b8e1/7033339/9e829e886abe/gr2.jpg
https://cdn.ncbi.nlm.nih.gov/pmc/blobs/b8e1/7033339/e6fbded28e19/gr3.jpg
https://cdn.ncbi.nlm.nih.gov/pmc/blobs/b8e1/7033339/d1a5bbe55822/gr4.jpg
https://cdn.ncbi.nlm.nih.gov/pmc/blobs/b8e1/7033339/8b63da47496d/gr5.jpg
https://cdn.ncbi.nlm.nih.gov/pmc/blobs/b8e1/7033339/e58fb9b2668e/gr6.jpg
https://cdn.ncbi.nlm.nih.gov/pmc/blobs/b8e1/7033339/7490af242111/gr7.jpg

相似文献

1
Gallic acid and MiADMSA reversed arsenic induced oxidative/nitrosative damage in rat red blood cells.没食子酸和二巯基丁二酸甲酯可逆转砷诱导的大鼠红细胞氧化/亚硝化损伤。
Heliyon. 2020 Feb 19;6(2):e03431. doi: 10.1016/j.heliyon.2020.e03431. eCollection 2020 Feb.
2
Combined Efficacy of Gallic Acid and MiADMSA with Limited Beneficial Effects Over MiADMSA Against Arsenic-induced Oxidative Stress in Mouse.没食子酸与二巯丁二酸联合用药对小鼠砷诱导氧化应激的作用:联合用药疗效有限,并不优于二巯丁二酸单独用药
Biochem Insights. 2015 Aug 26;8:1-10. doi: 10.4137/BCI.S30505. eCollection 2015.
3
MiADMSA ameliorate arsenic induced urinary bladder carcinogenesis in vivo and in vitro.砷诱导的尿路上皮癌模型中,MiADMSA 可改善砷诱导的尿路上皮癌的发生。
Biomed Pharmacother. 2020 Aug;128:110257. doi: 10.1016/j.biopha.2020.110257. Epub 2020 May 28.
4
Quercetin administration during chelation therapy protects arsenic-induced oxidative stress in mice.螯合疗法期间给予槲皮素可保护小鼠免受砷诱导的氧化应激。
Biol Trace Elem Res. 2008 May;122(2):137-47. doi: 10.1007/s12011-007-8064-9. Epub 2008 Jan 9.
5
Reversal effect of monoisoamyl dimercaptosuccinic acid (MiADMSA) for arsenic and lead induced perturbations in apoptosis and antioxidant enzymes in developing rat brain.单异戊基二巯基丁二酸(MiADMSA)对砷和铅诱导的发育中大鼠脑凋亡及抗氧化酶紊乱的逆转作用。
Int J Dev Neurosci. 2013 Nov;31(7):586-97. doi: 10.1016/j.ijdevneu.2013.07.003. Epub 2013 Jul 30.
6
Arsenic antagonism studies with monoisoamyl DMSA and zinc in male mice.砷与单异戊基二巯丁二酸和锌在雄性小鼠中的拮抗作用研究。
Environ Toxicol Pharmacol. 2005 Jan;19(1):131-8. doi: 10.1016/j.etap.2004.05.008.
7
Arsenic induced blood and brain oxidative stress and its response to some thiol chelators in rats.砷诱导大鼠血液和脑氧化应激及其对某些硫醇螯合剂的反应。
Life Sci. 2005 Sep 16;77(18):2324-37. doi: 10.1016/j.lfs.2005.04.016.
8
Combined administration of iron and monoisoamyl-DMSA in the treatment of chronic arsenic intoxication in mice.铁与单异戊基二巯基丁二酸联合给药治疗小鼠慢性砷中毒
Cell Biol Toxicol. 2007 Nov;23(6):429-43. doi: 10.1007/s10565-007-9005-2. Epub 2007 Apr 24.
9
Nanoencapsulation of DMSA monoester for better therapeutic efficacy of the chelating agent against arsenic toxicity.将 DMSA 单酯纳米囊化以提高螯合剂对抗砷毒性的治疗效果。
Nanomedicine (Lond). 2014 Apr;9(4):465-81. doi: 10.2217/NNM.13.17.
10
MiADMSA abrogates sodium tungstate-induced oxidative stress in rats.米曲肼可消除钨酸钠诱导的大鼠氧化应激。
Drug Chem Toxicol. 2022 Nov;45(6):2448-2453. doi: 10.1080/01480545.2021.1957560. Epub 2021 Aug 5.

引用本文的文献

1
The Potential Health Benefits of Gallic Acid: Therapeutic and Food Applications.没食子酸对健康的潜在益处:治疗及食品应用
Antioxidants (Basel). 2024 Aug 18;13(8):1001. doi: 10.3390/antiox13081001.
2
Arsenic Induced Oxidative Neural-Damages in Rat are Mitigated by Tea-Leave Extract via MMPs and AChE Inactivation, Shown by Molecular Docking and in Vitro Studies with Pure Theaflavin and AChE.茶叶提取物通过 MMPs 和 AChE 失活减轻大鼠砷诱导的氧化神经损伤,通过分子对接和纯茶黄素与 AChE 的体外研究显示。
Cell Biochem Biophys. 2024 Sep;82(3):2567-2583. doi: 10.1007/s12013-024-01369-8. Epub 2024 Jun 28.
3
Gallic acid rescues uranyl acetate induced-hepatic dysfunction in rats by its antioxidant and cytoprotective potentials.

本文引用的文献

1
3,4-Dihydroxybenzaldehyde lowers ROS generation and protects human red blood cells from arsenic(III) induced oxidative damage.3,4-二羟基苯甲醛可降低活性氧的产生,并保护人类红细胞免受三价砷诱导的氧化损伤。
Environ Toxicol. 2018 May 6. doi: 10.1002/tox.22572.
2
Effects of Arsenic Compounds on Microminerals Content and Antioxidant Enzyme Activities in Rat Liver.砷化合物对大鼠肝脏微量矿物质含量和抗氧化酶活性的影响。
Biol Trace Elem Res. 2018 Jun;183(2):305-313. doi: 10.1007/s12011-017-1147-3. Epub 2017 Sep 6.
3
HPLC-HG-AFS determination of arsenic species in acute promyelocytic leukemia (APL) plasma and blood cells.
没食子酸通过抗氧化和细胞保护作用,挽救醋酸铀酰所致大鼠肝损伤。
BMC Complement Med Ther. 2023 Nov 22;23(1):423. doi: 10.1186/s12906-023-04250-y.
4
Influence of methanolic extracts from seeds and pulp of L. on osmotic and morphological fragility in human erythrocytes.番茄种子和果肉甲醇提取物对人红细胞渗透脆性和形态脆性的影响。 (注:原文中“L.”未明确是什么,这里假设为番茄“Lycopersicon”进行的翻译)
Curr Res Toxicol. 2023 Mar 15;4:100103. doi: 10.1016/j.crtox.2023.100103. eCollection 2023.
5
Coenzyme Q protected against arsenite and enhanced the capacity of 2,3-dimercaptosuccinic acid to ameliorate arsenite-induced toxicity in mice.辅酶 Q 可预防亚砷酸盐,并增强 2,3-二巯基丁二酸的能力,以改善亚砷酸盐诱导的小鼠毒性。
BMC Pharmacol Toxicol. 2021 Apr 7;22(1):19. doi: 10.1186/s40360-021-00484-z.
6
High Glucose Concentrations Affect Band 3 Protein in Human Erythrocytes.高葡萄糖浓度影响人红细胞中的带3蛋白。
Antioxidants (Basel). 2020 Apr 27;9(5):365. doi: 10.3390/antiox9050365.
高效液相色谱-氢化物发生-原子荧光光谱法测定急性早幼粒细胞白血病(APL)患者血浆和血细胞中的砷形态
J Pharm Biomed Anal. 2017 Oct 25;145:356-363. doi: 10.1016/j.jpba.2017.07.001. Epub 2017 Jul 6.
4
Acetylcholinesterase provides new insights into red blood cell ageing in vivo and in vitro.乙酰胆碱酯酶为体内和体外红细胞衰老提供了新的见解。
Blood Transfus. 2017 May;15(3):232-238. doi: 10.2450/2017.0370-16.
5
Red Blood Cell Function and Dysfunction: Redox Regulation, Nitric Oxide Metabolism, Anemia.红细胞的功能与功能障碍:氧化还原调节、一氧化氮代谢与贫血
Antioxid Redox Signal. 2017 May 1;26(13):718-742. doi: 10.1089/ars.2016.6954. Epub 2017 Jan 18.
6
Clinical Applications of Hemolytic Markers in the Differential Diagnosis and Management of Hemolytic Anemia.溶血标志物在溶血性贫血鉴别诊断与管理中的临床应用
Dis Markers. 2015;2015:635670. doi: 10.1155/2015/635670. Epub 2015 Dec 27.
7
Combined Efficacy of Gallic Acid and MiADMSA with Limited Beneficial Effects Over MiADMSA Against Arsenic-induced Oxidative Stress in Mouse.没食子酸与二巯丁二酸联合用药对小鼠砷诱导氧化应激的作用:联合用药疗效有限,并不优于二巯丁二酸单独用药
Biochem Insights. 2015 Aug 26;8:1-10. doi: 10.4137/BCI.S30505. eCollection 2015.
8
Differences in Rat and Human Erythrocytes Following Blood Component Manufacturing: The Effect of Additive Solutions.血液成分制备后大鼠和人类红细胞的差异:添加剂溶液的影响。
Transfus Med Hemother. 2015 May;42(3):150-7. doi: 10.1159/000371474. Epub 2015 Jan 29.
9
Toxicity, mechanism and health effects of some heavy metals.某些重金属的毒性、作用机制及对健康的影响。
Interdiscip Toxicol. 2014 Jun;7(2):60-72. doi: 10.2478/intox-2014-0009. Epub 2014 Nov 15.
10
Health effects of chronic arsenic exposure.慢性砷暴露对健康的影响。
J Prev Med Public Health. 2014 Sep;47(5):245-52. doi: 10.3961/jpmph.14.035. Epub 2014 Sep 11.