• 文献检索
  • 文档翻译
  • 深度研究
  • 学术资讯
  • Suppr Zotero 插件Zotero 插件
  • 邀请有礼
  • 套餐&价格
  • 历史记录
应用&插件
Suppr Zotero 插件Zotero 插件浏览器插件Mac 客户端Windows 客户端微信小程序
定价
高级版会员购买积分包购买API积分包
服务
文献检索文档翻译深度研究API 文档MCP 服务
关于我们
关于 Suppr公司介绍联系我们用户协议隐私条款
关注我们

Suppr 超能文献

核心技术专利:CN118964589B侵权必究
粤ICP备2023148730 号-1Suppr @ 2026

文献检索

告别复杂PubMed语法,用中文像聊天一样搜索,搜遍4000万医学文献。AI智能推荐,让科研检索更轻松。

立即免费搜索

文件翻译

保留排版,准确专业,支持PDF/Word/PPT等文件格式,支持 12+语言互译。

免费翻译文档

深度研究

AI帮你快速写综述,25分钟生成高质量综述,智能提取关键信息,辅助科研写作。

立即免费体验

由 d-丝氨酸得到的 2,3-二氨基丙醇作为保护的 2,3-l-二氨基丙酸甲酯合成中的中间体。

2,3-Diaminopropanols Obtained from d-Serine as Intermediates in the Synthesis of Protected 2,3-l-Diaminopropanoic Acid (l-Dap) Methyl Esters.

机构信息

Dipartimento di Scienze Farmaceutiche, Università di Perugia, Via del Liceo 1, 06123 Perugia, Italy.

Dipartimento di Chimica e Tecnologie Chimiche (CTC), Via Ponte P. Bucci, Cubo 12D, Università della Calabria, I-87036 Arcavacata di Rende (CS), Italy.

出版信息

Molecules. 2020 Mar 13;25(6):1313. doi: 10.3390/molecules25061313.

DOI:10.3390/molecules25061313
PMID:32183079
原文链接:https://pmc.ncbi.nlm.nih.gov/articles/PMC7145313/
Abstract

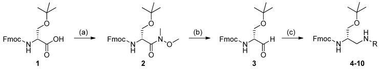
A synthetic strategy for the preparation of two orthogonally protected methyl esters of the non-proteinogenic amino acid 2,3-l-diaminopropanoic acid (l-Dap) was developed. In these structures, the base-labile protecting group 9-fluorenylmethyloxycarbonyl (Fmoc) was paired to the -toluensulfonyl (tosyl, Ts) or acid-labile -butyloxycarbonyl (Boc) moieties. The synthetic approach to protected l-Dap methyl esters uses appropriately masked 2,3-diaminopropanols, which are obtained via reductive amination of an aldehyde prepared from the commercial amino acid -Fmoc---butyl-d-serine, used as the starting material. Reductive amination is carried out with primary amines and sulfonamides, and the process is assisted by the Lewis acid Ti(OPr). The required carboxyl group is installed by oxidizing the alcoholic function of 2,3-diaminopropanols bearing the tosyl or benzyl protecting group on the 3-NH site. The procedure can easily be applied using the crude product obtained after each step, minimizing the need for chromatographic purifications. Chirality of the carbon atom of the starting d-serine template is preserved throughout all synthetic steps.

摘要

开发了一种用于制备非蛋白氨基酸 2,3-l-二氨基丙酸(l-Dap)的两种正交保护的甲酯的合成策略。在这些结构中,碱不稳定的保护基团 9-芴甲氧羰基(Fmoc)与 -甲苯磺酰基(tosyl,Ts)或酸不稳定的 -叔丁氧羰基(Boc)部分配对。保护的 l-Dap 甲酯的合成方法使用适当屏蔽的 2,3-二氨基丙醇,这些醇是通过商业氨基酸 -Fmoc---丁基-d-丝氨酸制备的醛的还原胺化获得的,作为起始原料。还原胺化是用伯胺和磺酰胺进行的,路易斯酸 Ti(OPr) 辅助该过程。所需的羧基基团是通过氧化带有 tosyl 或苄基保护基的 3-NH 位上的 2,3-二氨基丙醇的醇官能团来安装的。可以通过使用在每个步骤后获得的粗产物轻松应用该程序,最大程度地减少对色谱纯化的需求。起始 d-丝氨酸模板碳原子的手性在整个合成步骤中都得到保留。

https://cdn.ncbi.nlm.nih.gov/pmc/blobs/28b1/7145313/ab64efdd5a42/molecules-25-01313-sch005.jpg
https://cdn.ncbi.nlm.nih.gov/pmc/blobs/28b1/7145313/d51dd6c86ed4/molecules-25-01313-sch001.jpg
https://cdn.ncbi.nlm.nih.gov/pmc/blobs/28b1/7145313/44eff4739863/molecules-25-01313-sch002.jpg
https://cdn.ncbi.nlm.nih.gov/pmc/blobs/28b1/7145313/f7477b2efd53/molecules-25-01313-g001.jpg
https://cdn.ncbi.nlm.nih.gov/pmc/blobs/28b1/7145313/050722912f45/molecules-25-01313-g002.jpg
https://cdn.ncbi.nlm.nih.gov/pmc/blobs/28b1/7145313/ab64efdd5a42/molecules-25-01313-sch005.jpg
https://cdn.ncbi.nlm.nih.gov/pmc/blobs/28b1/7145313/d51dd6c86ed4/molecules-25-01313-sch001.jpg
https://cdn.ncbi.nlm.nih.gov/pmc/blobs/28b1/7145313/44eff4739863/molecules-25-01313-sch002.jpg
https://cdn.ncbi.nlm.nih.gov/pmc/blobs/28b1/7145313/f7477b2efd53/molecules-25-01313-g001.jpg
https://cdn.ncbi.nlm.nih.gov/pmc/blobs/28b1/7145313/050722912f45/molecules-25-01313-g002.jpg
https://cdn.ncbi.nlm.nih.gov/pmc/blobs/28b1/7145313/ab64efdd5a42/molecules-25-01313-sch005.jpg

相似文献

1
2,3-Diaminopropanols Obtained from d-Serine as Intermediates in the Synthesis of Protected 2,3-l-Diaminopropanoic Acid (l-Dap) Methyl Esters.由 d-丝氨酸得到的 2,3-二氨基丙醇作为保护的 2,3-l-二氨基丙酸甲酯合成中的中间体。
Molecules. 2020 Mar 13;25(6):1313. doi: 10.3390/molecules25061313.
2
Lewis acid catalysed methylation of N-(9H-fluoren-9-yl)methanesulfonyl (Fms) protected lipophilic α-amino acid methyl esters.路易斯酸催化的N-(9H-芴-9-基)甲磺酰基(Fms)保护的亲脂性α-氨基酸甲酯的甲基化反应
J Pept Sci. 2015 Aug;21(8):644-50. doi: 10.1002/psc.2777. Epub 2015 Apr 28.
3
An efficient and highly selective deprotection of N-Fmoc-alpha-amino acid and lipophilic N-Fmoc-dipeptide methyl esters with aluminium trichloride and N,N-dimethylaniline.使用三氯化铝和N,N-二甲基苯胺对N-Fmoc-α-氨基酸和亲脂性N-Fmoc-二肽甲酯进行高效且高选择性的脱保护。
J Pept Res. 2004 Apr;63(4):383-7. doi: 10.1111/j.1399-3011.2004.00104.x.
4
A one-pot procedure for the preparation of N-9-fluorenylmethyloxycarbonyl-α-amino diazoketones from α-amino acids.一锅法从α-氨基酸制备 N-9-芴甲氧羰基-α-氨基重氮酮。
J Org Chem. 2012 Dec 7;77(23):10575-82. doi: 10.1021/jo301657e. Epub 2012 Nov 16.
5
Synthesis of N-carboxyalkyl and N-aminoalkyl functionalized dipeptide building units for the assembly of backbone cyclic peptides.用于组装主链环肽的N-羧基烷基和N-氨基烷基官能化二肽构建单元的合成。
J Pept Res. 1999 Nov;54(5):383-93. doi: 10.1034/j.1399-3011.1999.00116.x.
6
A convenient route to N-[2-(Fmoc)aminoethyl]glycine esters and PNA oligomerization using a Bis-N-Boc nucleobase protecting group strategy.一种利用双-N-叔丁氧羰基碱基保护基策略合成N-[2-(芴甲氧羰基)氨基乙基]甘氨酸酯及肽核酸寡聚体的便捷方法。
J Org Chem. 2008 May 16;73(10):3807-16. doi: 10.1021/jo800195j. Epub 2008 Apr 16.
7
"One-pot" methylation of N-Nosyl-alpha-amino acid methyl esters with diazomethane and their coupling to prepare N-methyl dipeptides.用重氮甲烷对 N-硝酰基-α-氨基酸甲酯进行“一锅法”甲基化及其偶联反应以制备 N-甲基二肽。
J Org Chem. 2003 Sep 19;68(19):7416-21. doi: 10.1021/jo034233v.
8
Synthesis of N3-fumaramoyl-L-2,3-diaminopropanoic acid analogues, the irreversible inhibitors of glucosamine synthetase.N3-富马酰-L-2,3-二氨基丙酸类似物的合成,葡糖胺合成酶的不可逆抑制剂
Int J Pept Protein Res. 1986 May;27(5):449-53. doi: 10.1111/j.1399-3011.1986.tb01041.x.
9
Efficient protocols for the synthesis of enantiopure gamma-amino acids with proteinogenic side chains.合成具有蛋白质ogenic侧链的对映体纯γ-氨基酸的高效方案。 (注:这里proteinogenic不太准确,可能是proteinogenic,意为“蛋白质原的” ,正确译文应该是:合成具有蛋白质原性侧链的对映体纯γ-氨基酸的高效方案。 )
J Pept Sci. 2003 May;9(5):312-9. doi: 10.1002/psc.458.
10
Protecting-group-free synthesis of amines: synthesis of primary amines from aldehydes via reductive amination.无保护基合成胺:通过还原胺化反应从醛合成伯胺。
J Org Chem. 2010 Aug 20;75(16):5470-7. doi: 10.1021/jo100004c.

引用本文的文献

1
Imidazole-amino acids. Conformational switch under tautomer and pH change.咪唑氨基酸。互变异构和 pH 值变化下的构象转换。
Amino Acids. 2023 Jan;55(1):33-49. doi: 10.1007/s00726-022-03201-0. Epub 2022 Nov 2.

本文引用的文献

1
Selective incorporation of proteinaceous over nonproteinaceous cationic amino acids in model prebiotic oligomerization reactions.在模型前生物聚合反应中,对蛋白质阳离子氨基酸而非非蛋白质阳离子氨基酸的选择性掺入。
Proc Natl Acad Sci U S A. 2019 Aug 13;116(33):16338-16346. doi: 10.1073/pnas.1904849116. Epub 2019 Jul 29.
2
Phosphothreonine (pThr)-Based Multifunctional Peptide Catalysis for Asymmetric Baeyer-Villiger Oxidations of Cyclobutanones.基于磷酸苏氨酸(pThr)的多功能肽催化用于环丁酮的不对称拜耳-维利格氧化反应
ACS Catal. 2019 Jan 4;9(1):242-252. doi: 10.1021/acscatal.8b04132. Epub 2018 Nov 20.
3
Total Synthesis of Paenibacterin and Its Analogues.
帕尼菌素及其类似物的全合成。
J Org Chem. 2019 May 3;84(9):5339-5347. doi: 10.1021/acs.joc.9b00364. Epub 2019 Apr 10.
4
Phleomycin complex - Coordination mode and in vitro cleavage of DNA.争光霉素复合物 - 配位模式和体外 DNA 切割。
J Inorg Biochem. 2019 Jun;195:71-82. doi: 10.1016/j.jinorgbio.2019.03.010. Epub 2019 Mar 21.
5
De Novo Designed Amphipathic α-Helical Antimicrobial Peptides Incorporating Dab and Dap Residues on the Polar Face To Treat the Gram-Negative Pathogen, Acinetobacter baumannii.在极性面上掺入Dab和Dap残基的从头设计的两亲性α-螺旋抗菌肽用于治疗革兰氏阴性病原体鲍曼不动杆菌
J Med Chem. 2019 Apr 11;62(7):3354-3366. doi: 10.1021/acs.jmedchem.8b01785. Epub 2019 Mar 21.
6
Trapping biosynthetic acyl-enzyme intermediates with encoded 2,3-diaminopropionic acid.用编码的 2,3-二氨基丙酸捕获生物合成酰基-酶中间产物。
Nature. 2019 Jan;565(7737):112-117. doi: 10.1038/s41586-018-0781-z. Epub 2018 Dec 12.
7
Novel solid-phase strategy for the synthesis of ligand-targeted fluorescent-labelled chelating peptide conjugates as a theranostic tool for cancer.用于合成配体靶向荧光标记螯合肽共轭物的新型固相策略,作为癌症的诊疗工具。
Beilstein J Org Chem. 2018 Oct 18;14:2665-2679. doi: 10.3762/bjoc.14.244. eCollection 2018.
8
Human coelomic fluid investigation: A MS-based analytical approach to prenatal screening.人体体腔液研究:一种基于 MS 的产前筛查分析方法。
Sci Rep. 2018 Jul 20;8(1):10973. doi: 10.1038/s41598-018-29384-9.
9
The Chemistry of Vicinal Diamines.邻二胺的化学
Angew Chem Int Ed Engl. 1998 Oct 16;37(19):2580-2627. doi: 10.1002/(SICI)1521-3773(19981016)37:19<2580::AID-ANIE2580>3.0.CO;2-L.
10
Conformations of Protonated AlaDap and DapAla Characterized by IRMPD Spectroscopy and Molecular Modeling.质子化 AlaDap 和 DapAla 的构象通过 IRMPD 光谱和分子建模来表征。
J Phys Chem B. 2018 Mar 1;122(8):2191-2202. doi: 10.1021/acs.jpcb.7b10435. Epub 2018 Feb 13.