Suppr超能文献

人类 RAD5 同源物 HLTF 和 SHPRH 在依赖于 DNA 损伤类型的 DNA 损伤耐受中具有不同的功能。

The Human RAD5 Homologs, HLTF and SHPRH, Have Separate Functions in DNA Damage Tolerance Dependent on The DNA Lesion Type.

机构信息

Department of Clinical and Molecular Medicine, Faculty of Medicine and Health Sciences, Norwegian University of Science and Technology (NTNU), 7481 Trondheim, Norway.

出版信息

Biomolecules. 2020 Mar 17;10(3):463. doi: 10.3390/biom10030463.

Abstract

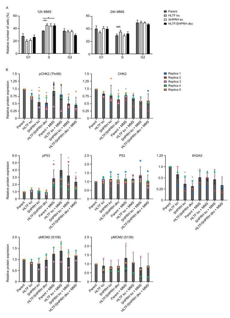
Helicase-like transcription factor (HLTF) and SNF2, histone-linker, PHD and RING finger domain-containing helicase (SHPRH), the two human homologs of yeast Rad5, are believed to have a vital role in DNA damage tolerance (DDT). Here we show that HLTF, SHPRH and HLTF/SHPRH knockout cell lines show different sensitivities towards UV-irradiation, methyl methanesulfonate (MMS), cisplatin and mitomycin C (MMC), which are drugs that induce different types of DNA lesions. In general, the HLTF/SHPRH double knockout cell line was less sensitive than the single knockouts in response to all drugs, and interestingly, especially to MMS and cisplatin. Using the SupF assay, we detected an increase in the mutation frequency in HLTF knockout cells both after UV- and MMS-induced DNA lesions, while we detected a decrease in mutation frequency over UV lesions in the HLTF/SHPRH double knockout cells. No change in the mutation frequency was detected in the HLTF/SHPRH double knockout cell line after MMS treatment, even though these cells were more resistant to MMS and grew faster than the other cell lines after treatment with DNA damaging agents. This phenotype could possibly be explained by a reduced activation of checkpoint kinase 2 (CHK2) and MCM2 (a component of the pre-replication complex) after MMS treatment in cells lacking SHPRH. Our data reveal both distinct and common roles of the human RAD5 homologs dependent on the nature of DNA lesions, and identified SHPRH as a regulator of CHK2, a central player in DNA damage response.

摘要

解旋酶样转录因子 (HLTF) 和 SNF2、组蛋白连接、PHD 和 RING 指结构域包含解旋酶 (SHPRH) 是酵母 Rad5 的两个人类同源物,被认为在 DNA 损伤耐受 (DDT) 中具有重要作用。在这里,我们表明 HLTF、SHPRH 和 HLTF/SHPRH 敲除细胞系对紫外线 (UV) 照射、甲基甲烷磺酸酯 (MMS)、顺铂和丝裂霉素 C (MMC) 表现出不同的敏感性,这些药物会诱导不同类型的 DNA 损伤。一般来说,HLTF/SHPRH 双敲除细胞系对所有药物的敏感性均低于单敲除细胞系,而且有趣的是,尤其是对 MMS 和顺铂。使用 SupF 测定法,我们在 HLTF 敲除细胞中检测到 UV 和 MMS 诱导的 DNA 损伤后突变频率增加,而在 HLTF/SHPRH 双敲除细胞中检测到 UV 损伤后突变频率降低。在 MMS 处理后,HLTF/SHPRH 双敲除细胞系中未检测到突变频率的变化,尽管这些细胞对 MMS 的抗性更强,并且在用 DNA 损伤剂处理后比其他细胞系生长得更快。这种表型可能是由于缺乏 SHPRH 的细胞在 MMS 处理后检查点激酶 2 (CHK2) 和 MCM2 (复制前复合物的一个组成部分) 的激活减少所致。我们的数据揭示了人类 RAD5 同源物的独特和共同作用,这取决于 DNA 损伤的性质,并确定 SHPRH 是 CHK2 的调节剂,CHK2 是 DNA 损伤反应的核心参与者。

https://cdn.ncbi.nlm.nih.gov/pmc/blobs/db66/7175315/602baa508f4e/biomolecules-10-00463-g0A1.jpg

文献检索

告别复杂PubMed语法,用中文像聊天一样搜索,搜遍4000万医学文献。AI智能推荐,让科研检索更轻松。

立即免费搜索

文件翻译

保留排版,准确专业,支持PDF/Word/PPT等文件格式,支持 12+语言互译。

免费翻译文档

深度研究

AI帮你快速写综述,25分钟生成高质量综述,智能提取关键信息,辅助科研写作。

立即免费体验