Suppr超能文献

调强放疗后鼻咽癌局部区域复发的临床靶区勾画分析

Analysis of Clinical Target Volume Delineation in Local-regional Failure of Nasopharyngeal Carcinoma after Intensity-modulated Radiotherapy.

作者信息

Yang Xiaojing, Ren Hanru, Yu Weiwei, Zhang Xiulong, Sun Yi, Shao Yuhui, Zhang Lihua, Li Hongling, Yang Xinmiao, Fu Jie

机构信息

Department of Radiation Oncology, Shanghai Jiao Tong University Affiliated Sixth People's Hospital, No. 600, Yishan Road, Shanghai, 200233, China.

Department of Orthopedics, Shanghai Pudong Hospital, Fudan University, Pudong Medical Center, Shanghai 201300, P.R China.

出版信息

J Cancer. 2020 Jan 29;11(7):1968-1975. doi: 10.7150/jca.39588. eCollection 2020.

Abstract

OBJECTIVE

To analyze the pattern of local failure in patients with nasopharyngeal carcinoma (NPC) after intensity-modulated radiotherapy (IMRT) and find a more reasonable delineation of the clinical target volume (CTV).

METHODS AND MATERIALS

A total of 212 patients with non-metastatic NPC who underwent IMRT were analyzed. Radiation therapy was run at a total dose of 66-74 Gy (2.0-2.2 Gy fractions). The follow-up of local recurrence and the recurrence-related features were analyzed for the original treatment situation. The failures were delimited as "in-field failure" if V within the 95% isodose curve (V95%) was ≥95%; "marginal failure" if V95% was less than 95% and not less than 20%; or "out-field failure" if V95% was< 20%. Kaplan-Meier method was used to calculate the survival rates.

RESULTS

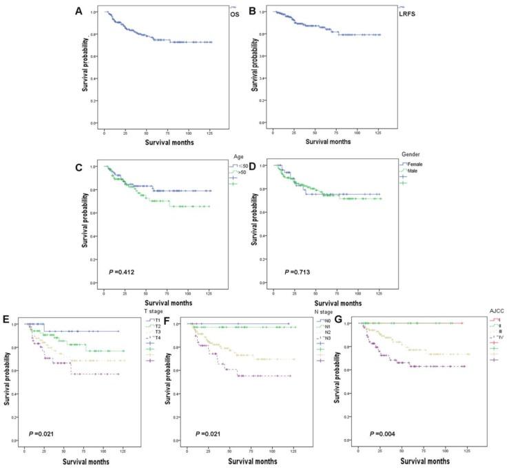
The median follow-up was 43.4 months. The 5-year local relapse-free survival and overall survival rates were 85.6 and 77.8%, respectively. A total of 18 patients have relapsed. The in-field failure, marginal failure, and out-field failure accounted for 83.3%, 11.1%, and 5.6%, respectively. The site of recurrence was basically in the high dose area.

CONCLUSION

These findings suggested that IMRT provide a good local control for patients with NPC, and the in-field failure is the main mode. A wide range of CTV cannot prevent the local recurrence, narrowing the CTV to protect the adjacent organs should be taken into consideration.

摘要

目的

分析鼻咽癌(NPC)患者调强放疗(IMRT)后局部失败模式,寻找更合理的临床靶区(CTV)勾画方法。

方法与材料

分析212例行IMRT的非转移性NPC患者。放疗总剂量为66 - 74 Gy(每次2.0 - 2.2 Gy)。根据初始治疗情况分析局部复发的随访情况及复发相关特征。若95%等剂量曲线内体积(V95%)≥95%,失败定义为“野内失败”;若V95%小于95%且不少于20%,则为“边缘失败”;若V95%<20%,则为“野外失败”。采用Kaplan-Meier法计算生存率。

结果

中位随访时间为43.4个月。5年局部无复发生存率和总生存率分别为85.6%和77.8%。共有18例患者复发。野内失败、边缘失败和野外失败分别占83.3%、11.1%和5.6%。复发部位基本在高剂量区。

结论

这些结果表明,IMRT为NPC患者提供了良好的局部控制,野内失败是主要模式。大范围的CTV不能预防局部复发,应考虑缩小CTV以保护邻近器官。

https://cdn.ncbi.nlm.nih.gov/pmc/blobs/827c/7052868/a9e1718a928f/jcav11p1968g001.jpg

文献检索

告别复杂PubMed语法,用中文像聊天一样搜索,搜遍4000万医学文献。AI智能推荐,让科研检索更轻松。

立即免费搜索

文件翻译

保留排版,准确专业,支持PDF/Word/PPT等文件格式,支持 12+语言互译。

免费翻译文档

深度研究

AI帮你快速写综述,25分钟生成高质量综述,智能提取关键信息,辅助科研写作。

立即免费体验