Department of Internal Medicine (Nephrology) and Transplant Center, Leiden University Medical Center, Leiden, the Netherlands.
Department of Immunohematology and Blood Transfusion, Leiden University Medical Center, Leiden, the Netherlands.
Am J Transplant. 2020 Oct;20(10):2905-2915. doi: 10.1111/ajt.15910. Epub 2020 May 6.
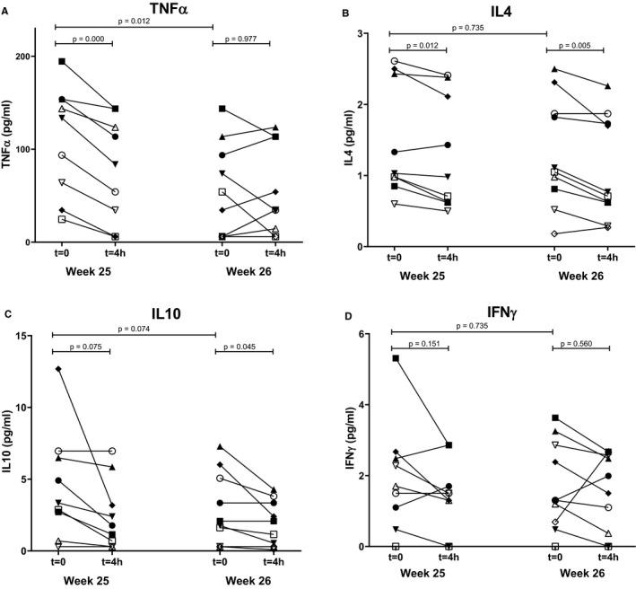
Mesenchymal stromal cells (MSC) hold promise as a novel immune-modulatory therapy in organ transplantation. First clinical studies have used autologous MSCs; however, the use of allogeneic "off-the-shelf" MSCs is more sustainable for broad clinical implementation, although with the risk of causing sensitization. We investigated safety and feasibility of allogeneic MSCs in renal transplantation, using a matching strategy that prevented repeated mismatches. Ten patients received two doses of 1.5 × 10 /kg allogeneic MSCs 6 months after transplantation in a single-center nonrandomized phase Ib trial, followed by lowering of tacrolimus (trough level 3 ng/mL) in combination with everolimus and prednisone. Primary end point was safety, measured by biopsy proven acute rejection (BPAR) and graft loss 12 months after transplantation. Immune monitoring was performed before and after infusion. No BPAR or graft loss occurred and renal function remained stable. One patient retrospectively had DSAs against MSCs, formed before infusion. No major alterations in T and B cell populations or plasma cytokines were observed upon MSC infusion. Administration of HLA selected allogeneic MSCs combined with low-dose tacrolimus 6 months after transplantation is safe at least in the first year after renal transplantation. This sets the stage to further explore the efficacy of third-party MSCs in renal transplantation.
间充质基质细胞 (MSC) 有望成为器官移植中一种新的免疫调节治疗方法。最初的临床研究使用了自体 MSC;然而,使用同种异体的“现成”MSC 对于广泛的临床应用更可持续,尽管存在致敏的风险。我们研究了同种异体 MSC 在肾移植中的安全性和可行性,使用了一种匹配策略,以防止反复出现不匹配。在一项单中心非随机 Ib 期试验中,10 例患者在移植后 6 个月接受了两次 1.5×10 /kg 的同种异体 MSC 治疗,随后将他克莫司(谷浓度 3ng/mL)与依维莫司和泼尼松联合下调。主要终点是 12 个月后移植后的活检证实的急性排斥反应 (BPAR) 和移植物丢失的安全性。在输注前后进行免疫监测。没有发生 BPAR 或移植物丢失,肾功能保持稳定。一名患者在输注前有针对 MSC 的 DSAs,形成于输注前。在 MSC 输注后,未观察到 T 和 B 细胞群或血浆细胞因子的主要改变。在移植后 6 个月时,联合低剂量他克莫司给予 HLA 选择的同种异体 MSC 是安全的,至少在肾移植后第一年是安全的。这为进一步探索第三方 MSC 在肾移植中的疗效奠定了基础。