Mayerhoefer Marius E, Riedl Christopher C, Kumar Anita, Dogan Ahmet, Gibbs Peter, Weber Michael, Staber Philipp B, Huicochea Castellanos Sandra, Schöder Heiko
Department of Radiology, Memorial Sloan Kettering Cancer Center, New York, NY 10065, USA.
Department of Biomedical Imaging and Image-guided Therapy, Medical University of Vienna, 1090 Vienna, Austria.
Cancers (Basel). 2020 May 2;12(5):1138. doi: 10.3390/cancers12051138.
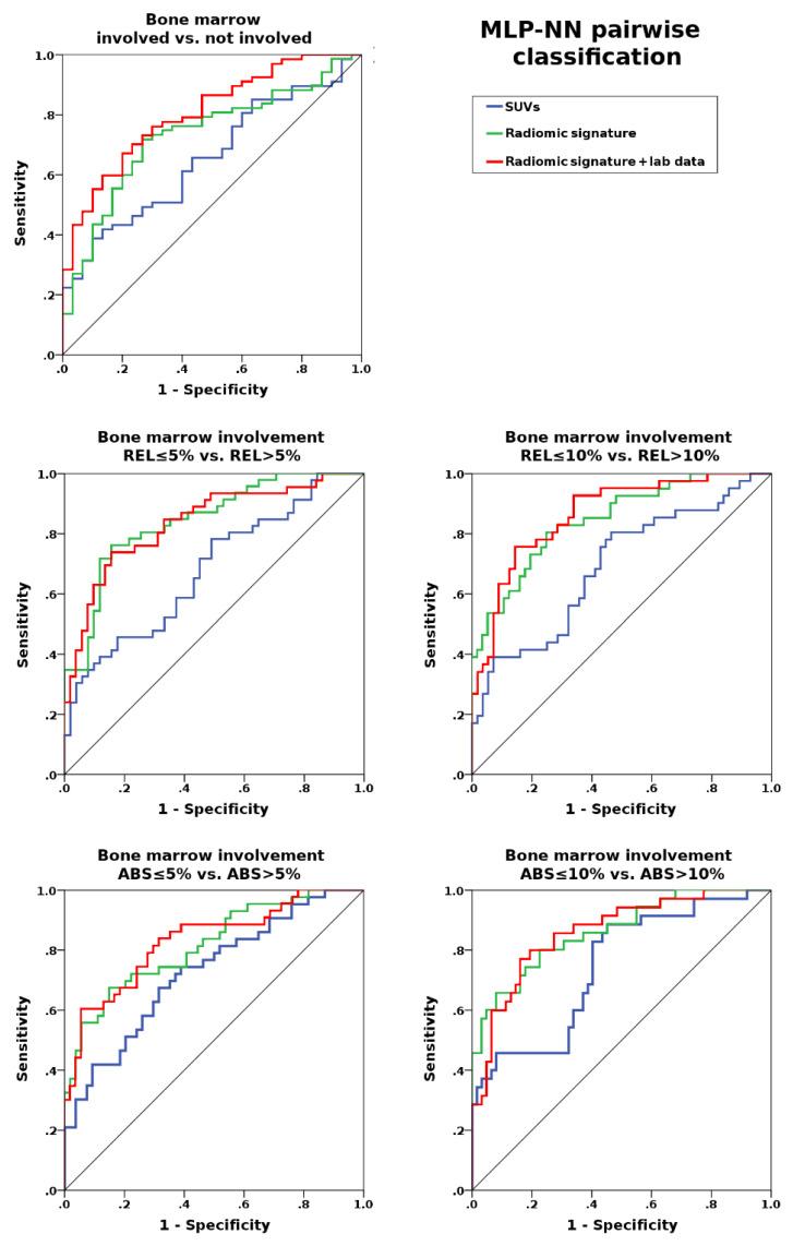
Biopsy is the standard for assessment of bone marrow involvement in mantle cell lymphoma (MCL). We investigated whether [18F]FDG-PET radiomic texture features can improve prediction of bone marrow involvement in MCL, compared to standardized uptake values (SUV), and whether combination with laboratory data improves results. Ninety-seven MCL patients were retrospectively included. SUVmax, SUVmean, SUVpeak and 16 co-occurrence matrix texture features were extracted from pelvic bones on [18F]FDG-PET/CT. A multi-layer perceptron neural network was used to compare three combinations for prediction of bone marrow involvement-the SUVs, a radiomic signature based on SUVs and texture features, and the radiomic signature combined with laboratory parameters. This step was repeated using two cut-off values for relative bone marrow involvement: REL > 5% (>5% of red/cellular bone marrow); and REL > 10%. Biopsy demonstrated bone marrow involvement in 67/97 patients (69.1%). SUVs, the radiomic signature, and the radiomic signature with laboratory data showed AUCs of up to 0.66, 0.73, and 0.81 for involved vs. uninvolved bone marrow; 0.68, 0.84, and 0.84 for REL ≤ 5% vs. REL > 5%; and 0.69, 0.85, and 0.87 for REL ≤ 10% vs. REL > 10%. In conclusion, [18F]FDG-PET texture features improve SUV-based prediction of bone marrow involvement in MCL. The results may be further improved by combination with laboratory parameters.
活检是评估套细胞淋巴瘤(MCL)骨髓受累情况的标准方法。我们研究了与标准化摄取值(SUV)相比,[18F]FDG-PET影像组学纹理特征是否能改善对MCL骨髓受累的预测,以及与实验室数据相结合是否能提高预测结果。回顾性纳入了97例MCL患者。从[18F]FDG-PET/CT上的骨盆骨中提取SUVmax、SUVmean、SUVpeak以及16个共生矩阵纹理特征。使用多层感知器神经网络比较三种预测骨髓受累情况的组合——SUV值、基于SUV值和纹理特征的影像组学特征,以及结合实验室参数的影像组学特征。使用相对骨髓受累的两个临界值重复这一步骤:REL>5%(红/细胞骨髓的>5%);以及REL>10%。活检显示67/97例患者(69.1%)存在骨髓受累。对于受累与未受累骨髓,SUV值、影像组学特征以及结合实验室数据的影像组学特征的曲线下面积(AUC)分别高达0.66、0.73和0.81;对于REL≤5%与REL>5%,分别为0.68、0.