Suppr超能文献

基于影像组学的列线图作为接受放疗的门静脉癌栓肝细胞癌预后的预测模型。

Radiomics-based nomogram as predictive model for prognosis of hepatocellular carcinoma with portal vein tumor thrombosis receiving radiotherapy.

作者信息

Huang Yu-Ming, Wang Tsang-En, Chen Ming-Jen, Lin Ching-Chung, Chang Ching-Wei, Tai Hung-Chi, Hsu Shih-Ming, Chen Yu-Jen

机构信息

Department of Radiation Oncology, Taipei Hospital, Ministry of Health and Welfare, New Taipei City, Taiwan.

Department of Medicine, MacKay Medical College, New Taipei City, Taiwan.

出版信息

Front Oncol. 2022 Sep 20;12:906498. doi: 10.3389/fonc.2022.906498. eCollection 2022.

Abstract

BACKGROUND

This study aims to establish and validate a predictive model based on radiomics features, clinical features, and radiation therapy (RT) dosimetric parameters for overall survival (OS) in hepatocellular carcinoma (HCC) patients treated with RT for portal vein tumor thrombosis (PVTT).

METHODS

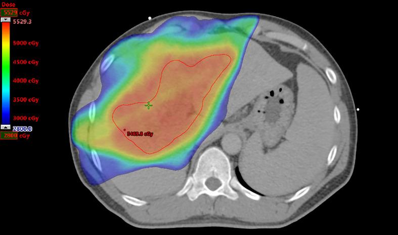
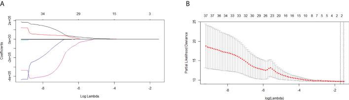
We retrospectively reviewed 131 patients. Patients were randomly divided into the training ( = 105) and validation ( = 26) cohorts. The clinical target volume was contoured on pre-RT computed tomography images and 48 textural features were extracted. The least absolute shrinkage and selection operator regression was used to determine the radiomics score (rad-score). A nomogram based on rad-score, clinical features, and dosimetric parameters was developed using the results of multivariate regression analysis. The predictive nomogram was evaluated using Harrell's concordance index (C-index), area under the curve (AUC), and calibration curve.

RESULTS

Two radiomics features were extracted to calculate the rad-score for the prediction of OS. The radiomics-based nomogram had better performance than the clinical nomogram for the prediction of OS, with a C-index of 0.73 (95% CI, 0.67-0.79) and an AUC of 0.71 (95% CI, 0.62-0.79). The predictive accuracy was assessed by a calibration curve.

CONCLUSION

The radiomics-based predictive model significantly improved OS prediction in HCC patients treated with RT for PVTT.

摘要

背景

本研究旨在建立并验证一种基于放射组学特征、临床特征和放射治疗(RT)剂量学参数的预测模型,用于预测接受门静脉肿瘤血栓(PVTT)放射治疗的肝细胞癌(HCC)患者的总生存期(OS)。

方法

我们回顾性分析了131例患者。患者被随机分为训练组(n = 105)和验证组(n = 26)。在放疗前的计算机断层扫描图像上勾勒出临床靶体积,并提取48个纹理特征。采用最小绝对收缩和选择算子回归确定放射组学评分(rad-score)。利用多变量回归分析结果,建立了基于rad-score、临床特征和剂量学参数的列线图。使用Harrell一致性指数(C-index)、曲线下面积(AUC)和校准曲线对预测列线图进行评估。

结果

提取了两个放射组学特征来计算预测OS的rad-score。基于放射组学的列线图在预测OS方面比临床列线图表现更好,C-index为0.73(95%CI,0.67 - 0.79),AUC为0.71(95%CI,0.62 - 0.79)。通过校准曲线评估预测准确性。

结论

基于放射组学的预测模型显著提高了接受PVTT放射治疗的HCC患者的OS预测能力。

https://cdn.ncbi.nlm.nih.gov/pmc/blobs/373d/9530279/e03d66f42123/fonc-12-906498-g001.jpg

文献AI研究员

20分钟写一篇综述,助力文献阅读效率提升50倍。

立即体验

用中文搜PubMed

大模型驱动的PubMed中文搜索引擎

马上搜索

文档翻译

学术文献翻译模型,支持多种主流文档格式。

立即体验