Suppr超能文献

供体-芘-受体距离依赖性分子内电荷转移过程:一种优于线性响应方法的态特异性溶剂化作用

Donor-Pyrene-Acceptor Distance-Dependent Intramolecular Charge-Transfer Process: A State-Specific Solvation Preferred to the Linear-Response Approach.

作者信息

Jana Dipanwita, Jana Sankar

机构信息

Bishnupada Sarkar College of Education, Gourhati, Arambagh, Hooghly, West Bengal 712613, India.

School of Biology, Biomedical Science Research Complex, University of St Andrews, North Haugh, St Andrews, Fife KY16 9ST, United Kingdom.

出版信息

ACS Omega. 2020 Apr 22;5(17):9944-9956. doi: 10.1021/acsomega.0c00265. eCollection 2020 May 5.

Abstract

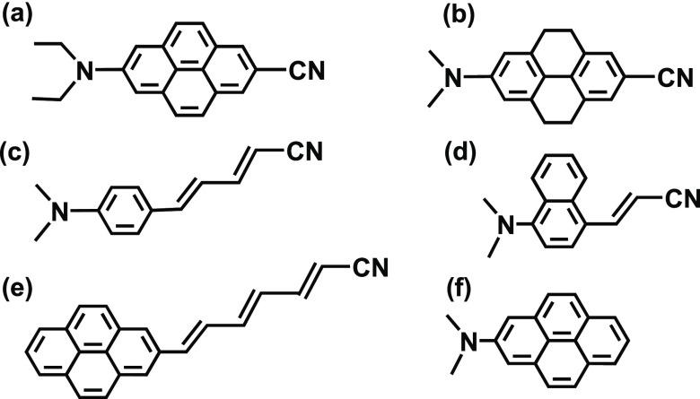
Photoinduced intramolecular charge-transfer (ICT) molecules are important in various applications such as a probe for single-molecule spectroscopy, cell imaging, laser dyes, biomarkers, solar cells, in photosynthesis, etc. Here, we report a new set of substituted pyrene dye molecules, ,-dimethylamino nitrilo pyrene and its higher analogues, containing pull-push donor (D)-chromophore (π)-acceptor (A) functional groups with enhanced photophysical characteristics like oscillator strength, light-harvesting, and ICT properties. The excited-state ICT process has been established by quantum chemical calculations using the density functional theory method in vacuo and in solvents of different polarity and hydrogen-bonding ability using linear-response (LR) and state-specific (SS) solvation approaches with gradually increasing the D-A distance. The studied molecules show solvent polarity-dependent larger Stokes' shifts (3609-9016 cm, in acetonitrile), higher excited-state dipole moments (11.7-16.8 Debye, in acetonitrile), higher possibilities of highest occupied molecular orbital (HOMO)-lowest unoccupied molecular orbital (LUMO) electronic transitions, etc., which support the occurrence of the excited-state ICT process. Here, we demonstrate how to increase the efficiency of the ICT process and also tune the ICT fluorescence maximum. We find that with a variation of the D-A distance, studied molecules show a noticeable effect on the spectroscopic and molecular properties such as the position of absorption and fluorescence band maxima, Stokes' shift, dipole moment, light-harvesting, and ICT properties. We also show that the SS solvation approach is more supportive than the LR method to the ICT process.

摘要

光致分子内电荷转移(ICT)分子在各种应用中都很重要,例如用于单分子光谱、细胞成像、激光染料、生物标志物、太阳能电池以及光合作用等。在此,我们报道了一组新的取代芘染料分子,即,-二甲基氨基腈基芘及其更高同系物,它们含有推拉供体(D)-发色团(π)-受体(A)官能团,具有增强的光物理特性,如振子强度、光捕获和ICT性质。通过量子化学计算,利用密度泛函理论方法,在真空以及不同极性和氢键能力的溶剂中,采用线性响应(LR)和态特异性(SS)溶剂化方法,并逐渐增加D - A距离,确定了激发态ICT过程。所研究的分子表现出与溶剂极性相关的较大斯托克斯位移(在乙腈中为3609 - 9016 cm)、更高的激发态偶极矩(在乙腈中为11.7 - 16.8德拜)、最高占据分子轨道(HOMO)-最低未占据分子轨道(LUMO)电子跃迁的更高可能性等,这些都支持激发态ICT过程的发生。在此,我们展示了如何提高ICT过程的效率以及如何调节ICT荧光最大值。我们发现,随着D - A距离的变化,所研究的分子对光谱和分子性质,如吸收和荧光带最大值的位置、斯托克斯位移、偶极矩、光捕获和ICT性质,都有显著影响。我们还表明,SS溶剂化方法比LR方法对ICT过程的支持作用更大。

https://cdn.ncbi.nlm.nih.gov/pmc/blobs/6e41/7203991/c014288c488b/ao0c00265_0007.jpg

文献检索

告别复杂PubMed语法,用中文像聊天一样搜索,搜遍4000万医学文献。AI智能推荐,让科研检索更轻松。

立即免费搜索

文件翻译

保留排版,准确专业,支持PDF/Word/PPT等文件格式,支持 12+语言互译。

免费翻译文档

深度研究

AI帮你快速写综述,25分钟生成高质量综述,智能提取关键信息,辅助科研写作。

立即免费体验