Suppr超能文献

竞争和干旱改变了树苗的最优气孔策略。

Competition and Drought Alter Optimal Stomatal Strategy in Tree Seedlings.

作者信息

Zenes Nicole, Kerr Kelly L, Trugman Anna T, Anderegg William R L

机构信息

School of Biological Sciences, University of Utah, Salt Lake City, UT, United States.

Department of Geography, University of California, Santa Barbara, Santa Barbara, CA, United States.

出版信息

Front Plant Sci. 2020 May 8;11:478. doi: 10.3389/fpls.2020.00478. eCollection 2020.

Abstract

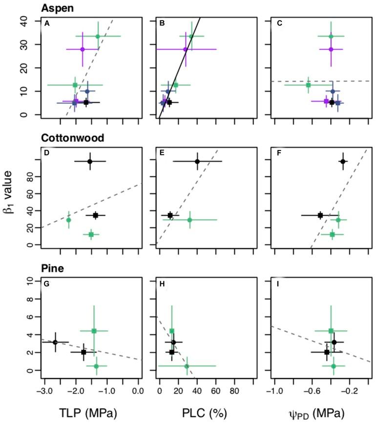
A better understanding of plant stomatal strategies holds strong promise for improving predictions of vegetation responses to drought because stomata are the primary mechanism through which plants mitigate water stress. It has been assumed that plants regulate stomata to maintain a constant marginal water use efficiency and forego carbon gain when water is scarce. However, recent hypotheses pose that plants maximize carbon assimilation while also accounting for the risk of hydraulic damage via cavitation and hydraulic failure. This "gain-risk" framework incorporates competition in stomatal regulation because it takes into account that neighboring plants can "steal" unused water. This study utilizes stomatal models representing both the water use efficiency and carbon-maximization frameworks, and empirical data from three species in a potted growth chamber experiment, to investigate the effects of drought and competition on seedling stomatal strategy. We found that drought and competition responses in the empirical data were best explained by the carbon-maximization hypothesis and that both drought and competition affected stomatal strategy. Interestingly, stomatal responses differed substantially by species, with seedlings employing a riskier strategy when planted with a high water use competitor, and seedlings employing a more conservative strategy when planted with a low water use competitor. Lower water users in general had less stomatal sensitivity to decreasing Ψ compared to moderate to high water users. Repeated water stress also resulted in legacy effects on plant stomatal behavior, increasing stomatal sensitivity (i.e., conservative behavior) even when the seedling was returned to well-watered conditions. These results indicate that stomatal strategies are dynamic and change with climate and competition stressors. Therefore, incorporating mechanisms that allow for stomatal behavioral changes in response to water limitation may be an important step to improving carbon cycle projections in coupled climate-Earth system models.

摘要

更好地理解植物气孔策略对于改进对植被干旱响应的预测具有很大的前景,因为气孔是植物减轻水分胁迫的主要机制。一直以来人们认为,植物会调节气孔以维持恒定的边际水分利用效率,并在水分稀缺时放弃碳获取。然而,最近的假说提出,植物在最大化碳同化的同时,也会考虑通过空化作用和水力故障导致水力损伤的风险。这个“收益 - 风险”框架在气孔调节中纳入了竞争因素,因为它考虑到相邻植物可能会“窃取”未使用的水分。本研究利用代表水分利用效率和碳最大化框架的气孔模型,以及盆栽生长室实验中三个物种的实证数据,来研究干旱和竞争对幼苗气孔策略的影响。我们发现,实证数据中的干旱和竞争响应最能由碳最大化假说解释,并且干旱和竞争都会影响气孔策略。有趣的是,气孔响应因物种而异,当与高水分利用竞争者种植在一起时,幼苗采用风险更高的策略,而当与低水分利用竞争者种植在一起时,幼苗采用更保守的策略。一般来说,与中度到高度水分利用者相比,低水分利用者对Ψ降低的气孔敏感性更低。反复的水分胁迫还会对植物气孔行为产生遗留效应,即使幼苗回到水分充足的条件下,也会增加气孔敏感性(即保守行为)。这些结果表明,气孔策略是动态的,会随着气候和竞争压力源而变化。因此,在耦合气候 - 地球系统模型中纳入允许气孔行为随水分限制而变化的机制,可能是改进碳循环预测的重要一步。

https://cdn.ncbi.nlm.nih.gov/pmc/blobs/8a5e/7227391/26b6c2360bbc/fpls-11-00478-g001.jpg

文献检索

告别复杂PubMed语法,用中文像聊天一样搜索,搜遍4000万医学文献。AI智能推荐,让科研检索更轻松。

立即免费搜索

文件翻译

保留排版,准确专业,支持PDF/Word/PPT等文件格式,支持 12+语言互译。

免费翻译文档

深度研究

AI帮你快速写综述,25分钟生成高质量综述,智能提取关键信息,辅助科研写作。

立即免费体验