Suppr超能文献

接受胰十二指肠切除术患者的术后强化康复安全性和可行性:一项更新的荟萃分析。

The Safety and Feasibility of Enhanced Recovery after Surgery in Patients Undergoing Pancreaticoduodenectomy: An Updated Meta-Analysis.

机构信息

The First Affiliated Hospital, Zhejiang University School of Medicine, Hangzhou, 310003 Zhejiang Province, China.

出版信息

Biomed Res Int. 2020 May 8;2020:7401276. doi: 10.1155/2020/7401276. eCollection 2020.

Abstract

BACKGROUND

Enhanced recovery after surgery (ERAS) is a multimodal, multidisciplinary, evidence-based approach to care for surgical patients and aims at optimizing the perioperative management and outcomes. The ERAS approach was first implemented in colorectal surgery patients; however, the reported applications in pancreatoduodenectomy patients are limited. In recent years, studies on ERAS for patients undergoing pancreaticoduodenectomy have been published. The accumulation of new randomized controlled trials and high-quality case-control studies stimulated us to update the analysis. Our study comprehensively collected data to provide the best evidence summary for the clinic.

AIM

To evaluate the safety and feasibility of enhanced recovery after surgery in the perioperative management of pancreatoduodenectomy patients.

METHODS

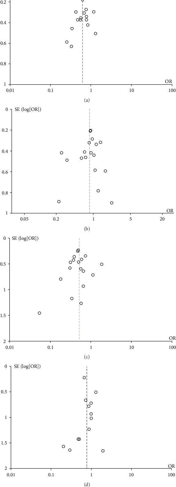
A systematic literature search of PubMed, Embase, and the Cochrane Library was performed up to July 2019. All randomized controlled trials and case-control studies that applied ERAS for patients undergoing pancreaticoduodenectomy were considered for inclusion in this study. The patients were divided into two groups: patients who received the ERAS perioperative management approach were defined as the ERAS group and patients who received the traditional perioperative management approach were defined as the control group. All statistical analyses were conducted using the Revman5.3 software, and the outcomes were calculated as odds ratios or weighted mean differences with their corresponding 95% confidence intervals. A funnel plot was created to assess publication bias. Subgroup and sensitivity analyses were performed to explore the sources of heterogeneity.

RESULTS

A total of 20 studies involving 3613 patients (1914 patients in the ERAS group vs. 1699 patients in the control group) were included in this study. Among the 20 studies, 4 were randomized controlled trials, and 16 were case-control studies. The overall postoperative complication rate was significantly lower in the ERAS group (OR = 0.62, 95% CI: 0.53-0.74, < 0.00001) than in the control group. In addition, the minor complication rate (Clavien-Dindo I-II) was also lower in the ERAS group (OR = 0.70, 95% CI: 0.58-0.86, = 0.0005). The patients in the ERAS group had a lower incidence of delayed gastric emptying (OR = 0.51, 95% CI: 0.42-0.63, < 0.00001) and shorter length of hospital stay (WMD = -4.27, 95% CI: -4.81~-3.73, < 0.00001) than in the control group. The rates of pancreatic fistula (regardless of Grade A/B/C), wound infections, abdominal abscesses, readmission, reoperation, and morbidity were not significantly different between the two groups.

CONCLUSION

The ERAS approach is safe and effective in the perioperative management of patients undergoing pancreaticoduodenectomy and helps to accelerate the postoperative recovery and improve prognosis.

摘要

背景

加速康复外科(ERAS)是一种多模式、多学科、基于证据的外科患者护理方法,旨在优化围手术期管理和结果。ERAS 方法最初应用于结直肠手术患者;然而,在胰十二指肠切除术患者中的应用报道有限。近年来,有关胰十二指肠切除术患者 ERAS 的研究已经发表。新的随机对照试验和高质量的病例对照研究的积累促使我们更新分析。我们的研究全面收集数据,为临床提供最佳证据总结。

目的

评估增强型康复在胰十二指肠切除术患者围手术期管理中的安全性和可行性。

方法

系统检索 PubMed、Embase 和 Cochrane 图书馆截至 2019 年 7 月的文献。所有应用 ERAS 治疗胰十二指肠切除术患者的随机对照试验和病例对照研究均被纳入本研究。患者分为两组:接受 ERAS 围手术期管理的患者定义为 ERAS 组,接受传统围手术期管理的患者定义为对照组。所有统计分析均使用 Revman5.3 软件进行,结果以比值比或加权均数差及其相应的 95%置信区间表示。绘制漏斗图评估发表偏倚。进行亚组和敏感性分析以探索异质性的来源。

结果

共有 20 项研究(共 3613 例患者,ERAS 组 1914 例,对照组 1699 例)纳入本研究。在 20 项研究中,有 4 项为随机对照试验,16 项为病例对照研究。ERAS 组术后总体并发症发生率显著低于对照组(OR=0.62,95%CI:0.53-0.74,<0.00001)。此外,ERAS 组轻度并发症发生率(Clavien-Dindo I-II)也较低(OR=0.70,95%CI:0.58-0.86,=0.0005)。ERAS 组患者胃排空延迟(OR=0.51,95%CI:0.42-0.63,<0.00001)和住院时间(WMD=-4.27,95%CI:-4.81~-3.73,<0.00001)均较对照组缩短。两组患者胰腺瘘(无论 A/B/C 级)、伤口感染、腹腔脓肿、再入院、再次手术和发病率均无显著差异。

结论

ERAS 方法在胰十二指肠切除术围手术期管理中安全有效,有助于加速术后恢复,改善预后。

https://cdn.ncbi.nlm.nih.gov/pmc/blobs/9ea1/7232716/2a6abef80843/BMRI2020-7401276.001.jpg

文献检索

告别复杂PubMed语法,用中文像聊天一样搜索,搜遍4000万医学文献。AI智能推荐,让科研检索更轻松。

立即免费搜索

文件翻译

保留排版,准确专业,支持PDF/Word/PPT等文件格式,支持 12+语言互译。

免费翻译文档

深度研究

AI帮你快速写综述,25分钟生成高质量综述,智能提取关键信息,辅助科研写作。

立即免费体验