Suppr超能文献

不同类型的凝固酶与血流感染患者 28 天死亡率相关。

Different Types of Coagulase Are Associated With 28-Day Mortality in Patients With Bloodstream Infections.

机构信息

Division of Infectious Diseases and Tropical Medicine, Department of Medicine I, Medical University of Vienna, Vienna, Austria.

Department of Clinical Pharmacology, Medical University of Vienna, Vienna, Austria.

出版信息

Front Cell Infect Microbiol. 2020 May 19;10:236. doi: 10.3389/fcimb.2020.00236. eCollection 2020.

Abstract

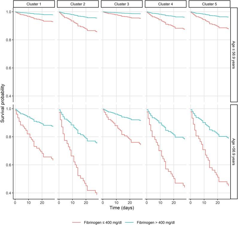
, a leading cause of bacteremia and infective endocarditis, exploits the human coagulation system by using a wide range of specific virulence factors. However, the impact of these host-pathogen interactions on the outcome of patients with bacteremia (SAB) remains unclear. A total of 178 patients with bacteremia were included and analyzed regarding bacterial factors ( gene size, and clinical parameters. A stepwise multivariate Cox regression model and a Partitioning Around Medoids (PAM) cluster algorithm were used for statistical analysis. Patients' risk factors for 28-day mortality were creatinine (OR 1.49, < 0.001), age (OR 1.9, < 0.002), fibrinogen (OR 0.44, < 0.004), albumin (OR 0.63, < 0.02), hemoglobin (OR 0.59, < 0.03), and CRP (OR 1.72, < 0.04). Five distinct bacterial clusters with different mortality rates were unveiled, whereof two showed a 2-fold increased mortality and an accumulation of specific coagulase gene sizes, 547-base pairs and 660-base pairs. Based on the data obtained in the present study an association of coagulase gene size and regarding 28-day mortality was observed in patients with bloodstream infections. Further animal and prospective clinical studies are needed to confirm our preliminary findings.

摘要

金黄色葡萄球菌是导致菌血症和感染性心内膜炎的主要原因之一,它通过利用广泛的特定毒力因子来利用人体凝血系统。然而,这些宿主-病原体相互作用对菌血症(SAB)患者的预后的影响尚不清楚。本研究共纳入了 178 例菌血症患者,并对细菌因素(基因大小、)和临床参数进行了分析。采用逐步多变量 Cox 回归模型和 Partitioning Around Medoids(PAM)聚类算法进行统计学分析。患者 28 天死亡率的危险因素为肌酐(OR 1.49,<0.001)、年龄(OR 1.9,<0.002)、纤维蛋白原(OR 0.44,<0.004)、白蛋白(OR 0.63,<0.02)、血红蛋白(OR 0.59,<0.03)和 CRP(OR 1.72,<0.04)。揭示了 5 个具有不同死亡率的不同细菌簇,其中两个簇的死亡率增加了两倍,并且积累了特定的凝固酶基因大小,547 个碱基对和 660 个碱基对。基于本研究获得的数据,观察到凝固酶基因大小和金黄色葡萄球菌与菌血症患者 28 天死亡率之间存在关联。需要进一步的动物和前瞻性临床研究来证实我们的初步发现。

https://cdn.ncbi.nlm.nih.gov/pmc/blobs/a203/7248564/3d619d18468f/fcimb-10-00236-g0001.jpg

文献AI研究员

20分钟写一篇综述,助力文献阅读效率提升50倍。

立即体验

用中文搜PubMed

大模型驱动的PubMed中文搜索引擎

马上搜索

文档翻译

学术文献翻译模型,支持多种主流文档格式。

立即体验