Suppr超能文献

团队协作的协调成本和超效率:沟通、心理状态、心血管反应和脑节律的作用。

Coordination Cost and Super-Efficiency in Teamwork: The Role of Communication, Psychological States, Cardiovascular Responses, and Brain Rhythms.

机构信息

School of Psychology, University of Central Lancashire, Darwin Building 114, Preston, PR1 2HE, UK.

Social Interaction and Performance Science (SINAPSE) Lab, University of Central Lancashire, Preston, UK.

出版信息

Appl Psychophysiol Biofeedback. 2020 Dec;45(4):323-341. doi: 10.1007/s10484-020-09479-8.

Abstract

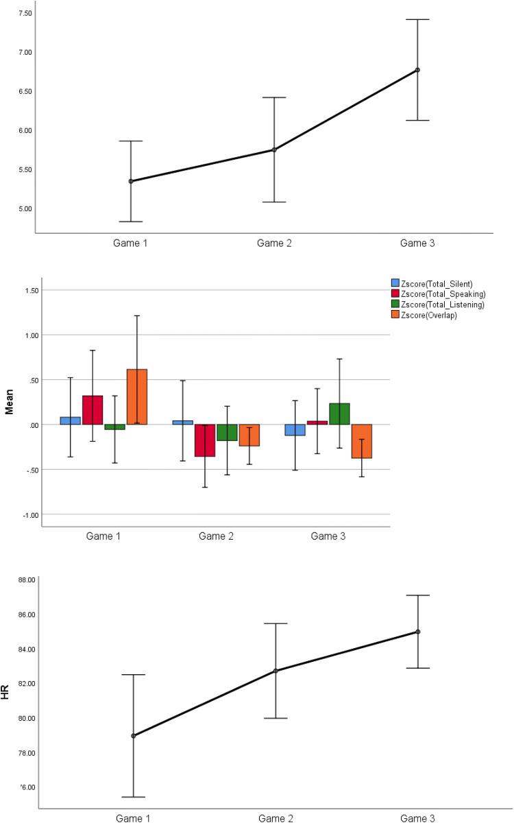
To advance knowledge on the psychophysiological markers of "coordination cost" in team settings, we explored differences in meta-communication patterns (i.e., silence, speaking, listening, and overlap), perceived psychological states (i.e., core affect, attention, efficacy beliefs), heart rate variability (i.e., RMSSD), and brain rhythms (i.e., alpha, beta and theta absolute power) across three studies involving 48 male dyads (Mage = 21.30; SD = 2.03). Skilled participants cooperatively played three consecutive FIFA-17 (Xbox) games in a dyad against the computer, or competed against the computer in a solo condition and a dyad condition. We observed that playing in a team, in contrast to playing alone, was associated with higher alpha peak and global efficiency in the brain and, at the same time, led to an increase in focused attention as evidenced by participants' higher theta activity in the frontal lobe. Moreover, we observed that overtime participants' brain dynamics moved towards a state of "neural-efficiency", characterized by increased theta and beta activity in the frontal lobe, and high alpha activity across the whole brain. Our findings advance the literature by demonstrating that (1) the notion of coordination cost can be captured at the neural level in the initial stages of team development; (2) by decreasing the costs of switching between tasks, teamwork increases both individuals' attentional focus and global neural efficiency; and (3) communication dynamics become more proficient and individuals' brain patterns change towards neural efficiency over time, likely due to team learning and decreases in intra-team conflict.

摘要

为了深入了解团队环境下“协调成本”的心理生理标志物,我们探索了元沟通模式(即沉默、说话、倾听和重叠)、感知心理状态(即核心情绪、注意力、效能信念)、心率变异性(即 RMSSD)和脑节律(即α、β和θ绝对功率)在三项涉及 48 名男性二人组(Mage=21.30;SD=2.03)的研究中的差异。熟练的参与者在二人组中与计算机合作连续玩三个连续的 FIFA-17(Xbox)游戏,或在单人条件和双人条件下与计算机竞争。我们观察到,与单独比赛相比,团队比赛与大脑中的更高的α峰值和全局效率有关,同时,参与者额叶中的θ活动增加表明注意力更加集中。此外,我们观察到,随着时间的推移,参与者的大脑动态朝着“神经效率”的状态发展,表现为额叶中的θ和β活动增加,以及整个大脑中的高α活动。我们的研究结果通过证明以下几点来推进文献:(1)协调成本的概念可以在团队发展的初始阶段在神经水平上捕捉到;(2)通过降低任务之间切换的成本,团队合作提高了个体的注意力集中和全局神经效率;(3)随着时间的推移,沟通动态变得更加熟练,个体的大脑模式朝着神经效率变化,这可能是由于团队学习和团队内冲突减少所致。

https://cdn.ncbi.nlm.nih.gov/pmc/blobs/73a4/7644465/711a5d9f539d/10484_2020_9479_Fig1_HTML.jpg

文献检索

告别复杂PubMed语法,用中文像聊天一样搜索,搜遍4000万医学文献。AI智能推荐,让科研检索更轻松。

立即免费搜索

文件翻译

保留排版,准确专业,支持PDF/Word/PPT等文件格式,支持 12+语言互译。

免费翻译文档

深度研究

AI帮你快速写综述,25分钟生成高质量综述,智能提取关键信息,辅助科研写作。

立即免费体验