Suppr超能文献

由于蛋鸡蜕皮诱导,血清中晚期糖基化终产物水平升高,触发外周血白细胞的炎症反应。

Increased serum levels of advanced glycation end products due to induced molting in hen layers trigger a proinflammatory response by peripheral blood leukocytes.

机构信息

Department of Animal Sciences, the Robert H. Smith Faculty of Agriculture, Food and Environment, Rehovot Campus, the Hebrew University of Jerusalem, Rehovot, Israel.

Department of Animal Sciences, the Robert H. Smith Faculty of Agriculture, Food and Environment, Rehovot Campus, the Hebrew University of Jerusalem, Rehovot, Israel.

出版信息

Poult Sci. 2020 Jul;99(7):3452-3462. doi: 10.1016/j.psj.2020.04.009. Epub 2020 Apr 26.

Abstract

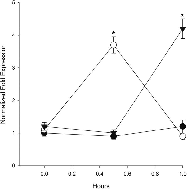
Induced molting (IM), a severe detriment to animal welfare, is still used in the poultry industry in some countries to increase or rejuvenate egg production and is responsible for several physiological perturbations, possibly including reactive oxidative stress, a form of metabolic stress. Because metabolic stress has been shown to induce a proinflammatory response involved in attempts to restore homeostasis, we hypothesized that similar responses followed IM. To confirm this hypothesis, we initially confirmed the establishment of oxidative stress during IM in 75-wk-old layers by demonstrating increased production of advanced glycation end products (AGE). Concomitant with increased oxidative metabolites, cellular stress was demonstrated in peripheral blood leukocytes (PBL) by increased levels of stress gene products (the glucocorticoid receptor, sirtuin-1, and heat shock protein 70 mRNA). Increased expression of stress proteins in PBL was followed by a proinflammatory response as demonstrated by increased levels of proinflammatory gene products (IL-6 and IL-1β mRNA); increased expression of these gene products was also demonstrated in direct response to AGE in vitro, thus establishing a direct link between oxidative and cellular stress. To establish a possible pathway for inducing a proinflammatory response by PBL, we showed that AGE increased a time dependent expression of galactin-3, Toll-like receptor-4, and nuclear factor - κB, all involved in the proinflammatory activation pathway. In vivo, AGE formed complexes with increased levels of circulating acute phase proteins (lysozyme and transferrin), products of a proinflammatory immune response, thereby demonstrating an effector response to cope with the consequences of oxidative stress. Thus, the harmful consequences of IM for animal welfare are extended here by demonstrating the activation of a resource-demanding proinflammatory response.

摘要

诱导换羽(IM)是一种严重危害动物福利的行为,在一些国家的家禽业中仍被用于增加或恢复产蛋量,它会导致多种生理紊乱,可能包括活性氧化应激,这是一种代谢应激形式。由于代谢应激已被证明会引发涉及恢复体内平衡的促炎反应,我们假设 IM 后会出现类似的反应。为了证实这一假设,我们最初通过证明在 75 周龄的蛋鸡中 IM 期间氧化应激的建立,证实了这一点,方法是增加晚期糖基化终产物(AGE)的产生。伴随着氧化代谢物的增加,外周血白细胞(PBL)中的细胞应激通过应激基因产物(糖皮质激素受体、Sirtuin-1 和热休克蛋白 70 mRNA)水平的升高得到证实。PBL 中应激蛋白表达增加后,促炎反应随之而来,表现为促炎基因产物(IL-6 和 IL-1β mRNA)水平升高;这些基因产物的表达也在体外直接对 AGE 作出反应,从而在氧化应激和细胞应激之间建立了直接联系。为了确定 PBL 诱导促炎反应的可能途径,我们表明 AGE 增加了半乳糖凝集素-3、Toll 样受体-4 和核因子 - κB 的时间依赖性表达,这些都是促炎激活途径的组成部分。在体内,AGE 与循环急性期蛋白(溶菌酶和转铁蛋白)形成复合物,这些蛋白是促炎免疫反应的产物,从而证明了对抗氧化应激后果的效应反应。因此,通过证明激活资源消耗性促炎反应,我们在这里扩展了 IM 对动物福利的有害后果。

https://cdn.ncbi.nlm.nih.gov/pmc/blobs/5631/7597842/70633967d0cc/gr1.jpg

文献检索

告别复杂PubMed语法,用中文像聊天一样搜索,搜遍4000万医学文献。AI智能推荐,让科研检索更轻松。

立即免费搜索

文件翻译

保留排版,准确专业,支持PDF/Word/PPT等文件格式,支持 12+语言互译。

免费翻译文档

深度研究

AI帮你快速写综述,25分钟生成高质量综述,智能提取关键信息,辅助科研写作。

立即免费体验