Suppr超能文献

新型硫脲基离子液体作为电解质添加剂用于提高锂离子电池的电池安全性并增强其电化学性能

New Thiourea-Based Ionic Liquid as an Electrolyte Additive to Improve Cell Safety and Enhance Electrochemical Performance in Lithium-Ion Batteries.

作者信息

Chatterjee Kajari, Pathak Anil D, Sahu Kisor Kumar, Singh Akhilesh Kumar

机构信息

School of Minerals, Metallurgical and Materials Engineering, Indian Institute of Technology Bhubaneswar, Bhubaneswar 752050, India.

School of Basic Sciences, Indian Institute of Technology Bhubaneswar, Bhubaneswar 752050, India.

出版信息

ACS Omega. 2020 Jun 29;5(27):16681-16689. doi: 10.1021/acsomega.0c01565. eCollection 2020 Jul 14.

Abstract

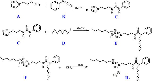
Our society is critically dependent on lithium-ion batteries (LIBs) as a power source for portable electronic gadgets. One of the major problems with these batteries is the degradation of the materials inside them. In addition to the reduced cell life, building-up of these degraded products inside the cells is very detrimental to the safe operation. Herein, we report the synthesis and characterization of a novel thiourea-based room temperature ionic liquid (IL), 3-heptyl-1-(3-(3-heptyl-3-phenylthioureido)propyl)-1-imidazole-3-ium hexafluorophosphate. Its electrochemical and thermal properties including transport phenomena have been studied. It is proposed to be used as a nominal additive to commercially used electrolytes, ethylene carbonate and di-methyl carbonate mixtures. The comparative performance characteristics of the LIBs in the presence and the absence of this IL additive have been demonstrated with a traditional lithium nickel cobalt manganese oxide cathode (NMC111), a graphite anode, and an ethylene carbonate and di-methyl carbonate (1:1, v/v) electrolyte. It is further demonstrated that use of this electrolyte additive in batteries helps to address some of the major concerns of the conventional electrolytes such as safety issues and cycling performance as well as coulombic efficiency with enhanced discharge capacities.

摘要

我们的社会严重依赖锂离子电池(LIBs)作为便携式电子设备的电源。这些电池的主要问题之一是其内部材料的降解。除了电池寿命缩短外,电池内部这些降解产物的积累对安全运行非常不利。在此,我们报告了一种新型硫脲基室温离子液体(IL),3-庚基-1-(3-(3-庚基-3-苯基硫脲基)丙基)-1-咪唑-3-鎓六氟磷酸盐的合成与表征。研究了其电化学和热性能,包括传输现象。它被提议用作商业使用的电解质碳酸乙烯酯和碳酸二甲酯混合物的标称添加剂。使用传统的锂镍钴锰氧化物阴极(NMC111)、石墨阳极以及碳酸乙烯酯和碳酸二甲酯(1:1,v/v)电解质,展示了在有和没有这种离子液体添加剂的情况下锂离子电池的比较性能特征。进一步证明,在电池中使用这种电解质添加剂有助于解决传统电解质的一些主要问题,如安全问题、循环性能以及具有增强放电容量的库仑效率。

https://cdn.ncbi.nlm.nih.gov/pmc/blobs/2b6b/7364708/1861d88d86d7/ao0c01565_0001.jpg

相似文献

1
3
Effects of Difluoro(oxalato)borate-Based Ionic Liquid as Electrolyte Additive for Li-Ion Batteries.
Materials (Basel). 2023 Feb 8;16(4):1411. doi: 10.3390/ma16041411.
4
Wide-Temperature Electrolytes for Lithium-Ion Batteries.
ACS Appl Mater Interfaces. 2017 Jun 7;9(22):18826-18835. doi: 10.1021/acsami.7b04099. Epub 2017 May 30.
5
Electrode-Electrolyte Interfaces in Lithium-Sulfur Batteries with Liquid or Inorganic Solid Electrolytes.
Acc Chem Res. 2017 Nov 21;50(11):2653-2660. doi: 10.1021/acs.accounts.7b00460. Epub 2017 Nov 7.
7
Layered Heterostructure Ionogel Electrolytes for High-Performance Solid-State Lithium-Ion Batteries.
Adv Mater. 2021 Apr;33(13):e2007864. doi: 10.1002/adma.202007864. Epub 2021 Feb 17.
8
Fluorinated High-Voltage Electrolytes To Stabilize Nickel-Rich Lithium Batteries.
ACS Appl Mater Interfaces. 2023 Sep 20;15(37):43648-43655. doi: 10.1021/acsami.3c06586. Epub 2023 Sep 11.
9
Promising Cell Configuration for Next-Generation Energy Storage: Li2S/Graphite Battery Enabled by a Solvate Ionic Liquid Electrolyte.
ACS Appl Mater Interfaces. 2016 Jun 29;8(25):16053-62. doi: 10.1021/acsami.6b03736. Epub 2016 Jun 20.
10
Fluorinated Electrolytes for Li-Ion Batteries: The Lithium Difluoro(oxalato)borate Additive for Stabilizing the Solid Electrolyte Interphase.
ACS Omega. 2017 Dec 7;2(12):8741-8750. doi: 10.1021/acsomega.7b01196. eCollection 2017 Dec 31.

引用本文的文献

1
Designing Nonflammable Liquid Electrolytes for Safe Li-Ion Batteries.
Adv Mater. 2025 Jan;37(2):e2312451. doi: 10.1002/adma.202312451. Epub 2024 May 7.
2
Cost-Efficient Film-Forming Additive for High-Voltage Lithium-Nickel-Manganese Oxide Cathodes.
ACS Omega. 2021 Nov 10;6(46):31330-31338. doi: 10.1021/acsomega.1c05176. eCollection 2021 Nov 23.

本文引用的文献

1
Safer Electrolytes for Lithium-Ion Batteries: State of the Art and Perspectives.
ChemSusChem. 2015 Jul 8;8(13):2154-75. doi: 10.1002/cssc.201500284. Epub 2015 Jun 15.
3
Room-temperature ionic liquids: solvents for synthesis and catalysis. 2.
Chem Rev. 2011 May 11;111(5):3508-76. doi: 10.1021/cr1003248. Epub 2011 Apr 6.
4
Ionic liquids in analytical chemistry.
Anal Chim Acta. 2010 Feb 19;661(1):1-16. doi: 10.1016/j.aca.2009.12.007. Epub 2009 Dec 16.
5
Building better batteries.
Nature. 2008 Feb 7;451(7179):652-7. doi: 10.1038/451652a.
6
Nonaqueous liquid electrolytes for lithium-based rechargeable batteries.
Chem Rev. 2004 Oct;104(10):4303-417. doi: 10.1021/cr030203g.
8
Characterizing ionic liquids on the basis of multiple solvation interactions.
J Am Chem Soc. 2002 Nov 27;124(47):14247-54. doi: 10.1021/ja028156h.
9
Room-Temperature Ionic Liquids. Solvents for Synthesis and Catalysis.
Chem Rev. 1999 Aug 11;99(8):2071-2084. doi: 10.1021/cr980032t.
10
Hydrophobic, Highly Conductive Ambient-Temperature Molten Salts.
Inorg Chem. 1996 Feb 28;35(5):1168-1178. doi: 10.1021/ic951325x.

文献AI研究员

20分钟写一篇综述,助力文献阅读效率提升50倍。

立即体验

用中文搜PubMed

大模型驱动的PubMed中文搜索引擎

马上搜索

文档翻译

学术文献翻译模型,支持多种主流文档格式。

立即体验