Suppr超能文献

跨精神科诊断的中性粒细胞与淋巴细胞比值:使用电子健康记录的横断面研究。

Neutrophil-lymphocyte ratio across psychiatric diagnoses: a cross-sectional study using electronic health records.

机构信息

Institute of Psychiatry, Psychology and Neuroscience, King's College London, London, UK.

Institute of Psychiatry, Psychology and Neuroscience, King's College London, London, UK

出版信息

BMJ Open. 2020 Jul 19;10(7):e036859. doi: 10.1136/bmjopen-2020-036859.

Abstract

OBJECTIVES

The main objective of this study was to compare neutrophil-lymphocyte ratio (NLR), a marker of systemic inflammation, between patients diagnosed with International Classification of Diseases 10th Revision (ICD-10) psychiatric disorders and control participants.

DESIGN

A cross-sectional methodology was employed to retrospectively analyse electronic health records and records derived from a national health survey.

SETTING

A secondary mental healthcare service consisting of four boroughs in South London.

PARTICIPANTS

A diverse sample of 13 888 psychiatric patients extracted from South London and Maudsley electronic health records database and 3920 control participants extracted from National Health and Nutrition Survey (2015-2016) were included in the study.

PRIMARY AND SECONDARY OUTCOME MEASURES

Primary: NLR levels in patients with mental health diagnoses, NLR between patients with different mental health diagnoses. Secondary: relationship of NLR to length of hospitalisation and to mortality.

RESULTS

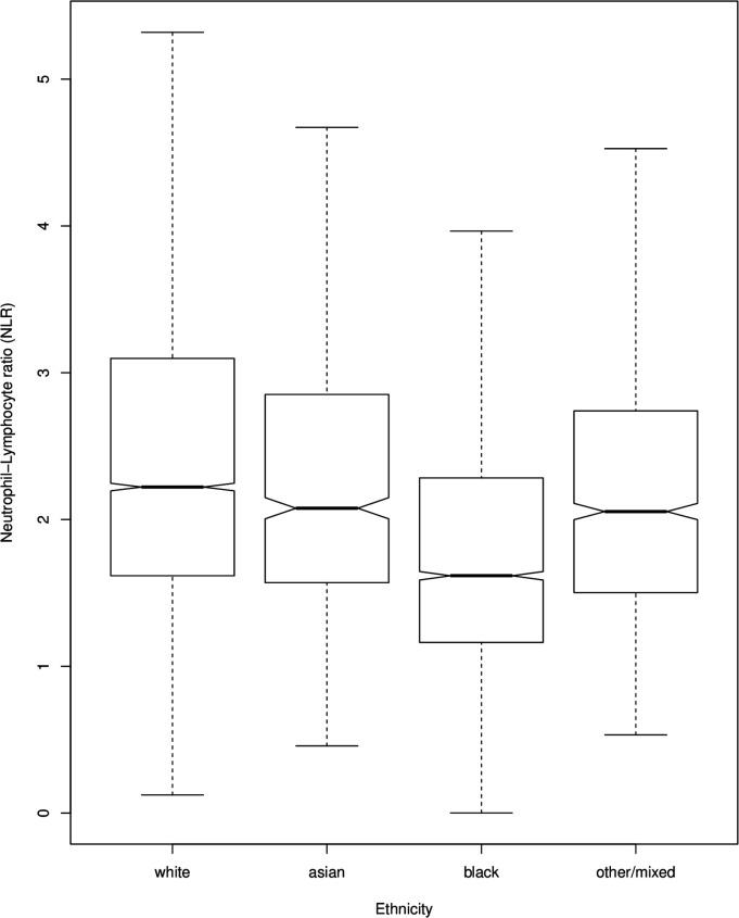
NLR was elevated compared with controls in patients with diagnoses including dementia, alcohol dependence, schizophrenia, bipolar affective disorder, depression, non-phobic anxiety disorders and mild mental retardation (p<0.05). NLR also correlated with age, antipsychotic use and hypnotic use. NLR was found to be higher in individuals of 'white' ethnicity and lower in individuals of 'black' ethnicity. Elevated NLR was associated with increased mortality (β=0.103, p=2.9e-08) but not with hospital admissions or face-to-face contacts.

CONCLUSIONS

Elevated NLR may reflect a transdiagnostic pathological process occurring in a subpopulation of psychiatric patients. NLR may be useful to identify and stratify patients who could benefit from adjunctive anti-inflammatory treatment.

摘要

目的

本研究的主要目的是比较诊断为国际疾病分类第 10 版(ICD-10)精神障碍的患者和对照组之间的中性粒细胞与淋巴细胞比值(NLR),这是一种全身炎症的标志物。

设计

采用回顾性分析电子健康记录和全国健康调查记录的横断面方法。

地点

由伦敦南部四个行政区组成的二级精神保健服务。

参与者

从南伦敦和莫兹利电子健康记录数据库中提取了 13888 名精神科患者的多样化样本,以及从国家健康和营养调查(2015-2016 年)中提取了 3920 名对照参与者,包括痴呆、酒精依赖、精神分裂症、双相情感障碍、抑郁症、非恐惧症焦虑症和轻度智力障碍等精神健康诊断患者的 NLR 水平较高(p<0.05)。NLR 也与住院时间和死亡率相关。

结果

与对照组相比,患有包括痴呆、酒精依赖、精神分裂症、双相情感障碍、抑郁症、非恐惧症焦虑症和轻度智力障碍在内的诊断的患者的 NLR 升高(p<0.05)。NLR 与年龄、抗精神病药使用和催眠药使用有关。NLR 在白种人个体中较高,在黑种人个体中较低。升高的 NLR 与死亡率增加相关(β=0.103,p=2.9e-08),但与住院或面对面接触无关。

结论

升高的 NLR 可能反映了精神病患者亚群中发生的一种跨诊断病理过程。NLR 可能有助于识别和分层可能受益于辅助抗炎治疗的患者。

https://cdn.ncbi.nlm.nih.gov/pmc/blobs/1356/7371128/8393406049c6/bmjopen-2020-036859f01.jpg

文献AI研究员

20分钟写一篇综述,助力文献阅读效率提升50倍。

立即体验

用中文搜PubMed

大模型驱动的PubMed中文搜索引擎

马上搜索

文档翻译

学术文献翻译模型,支持多种主流文档格式。

立即体验