Suppr超能文献

黑水虻和黄粉虫脂肪的抗菌作用及其对生长兔肠道微生物群的影响。

Antimicrobial Effects of Black Soldier Fly and Yellow Mealworm Fats and Their Impact on Gut Microbiota of Growing Rabbits.

作者信息

Dabbou Sihem, Ferrocino Ilario, Gasco Laura, Schiavone Achille, Trocino Angela, Xiccato Gerolamo, Barroeta Ana C, Maione Sandra, Soglia Dominga, Biasato Ilaria, Cocolin Luca, Gai Francesco, Nucera Daniele Michele

机构信息

Center Agriculture Food Environment (C3A), University of Trento, Via E. Mach 1, 38010 San Michele all'Adige, Italy.

Research and Innovation Centre, Fondazione Edmund Mach, 38010 San Michele all'Adige, Italy.

出版信息

Animals (Basel). 2020 Jul 28;10(8):1292. doi: 10.3390/ani10081292.

Abstract

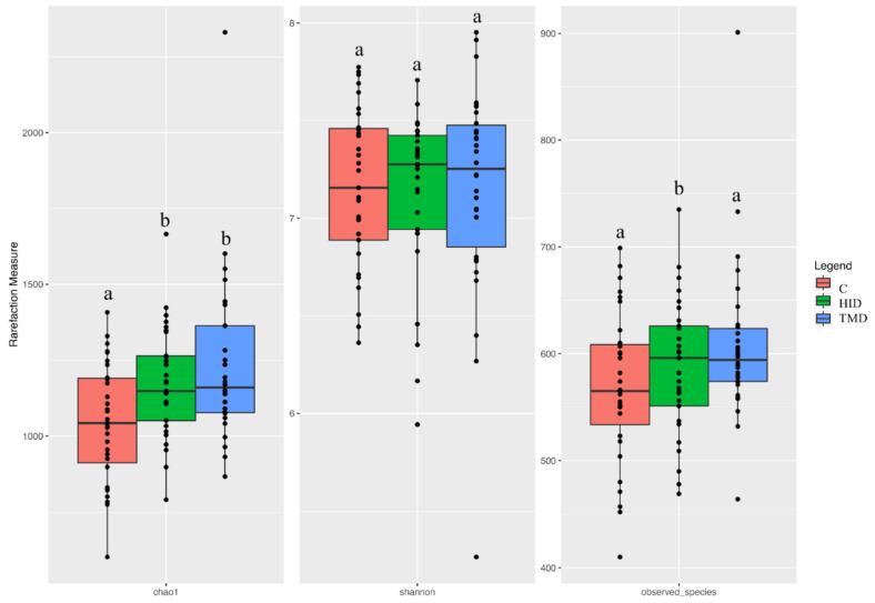
This study aimed to evaluate the in vitro antimicrobial activities of two types of insect fats extracted from black soldier fly larvae (HI, L.) and yellow mealworm larvae (TM, L.) and their effects as dietary replacement of soybean oil (S) on cecal fermentation pattern, and fecal and cecal microbiota in rabbits. A total of 120 weaned rabbits were randomly allotted to three dietary treatments (40 rabbits/group) -a control diet (C diet) containing 1.5% of S and two experimental diets (HI diet (HID) and TM diet (TMD)), where S was totally substituted by HI or TM fats during the whole trial that lasted 41 days. Regarding the in vitro antimicrobial activities, HI and TM fats did not show any effects on growth. showed significantly lower growth when challenged with HI fats than the controls. The insect fat supplementation in rabbit diets increased the contents of the cecal volatile fatty acids when compared to the control group. A metataxonomic approach was adopted to investigate the shift in the microbial composition as a function of the dietary insect fat supplementation. The microbiota did not show a clear separation as a function of the inclusion, even if a specific microbial signature was observed. Indeed, HI and TM fat supplementation enriched the presence of that was found to be correlated with NH3-N concentration. An increase in , which can improve the immune response of the host, was also observed. This study confirms the potential of HI and TM fats as antibacterial feed ingredients with a positive influence on the rabbit cecal microbiota, thus supporting the possibility of including HI and TM fats in rabbit diets.

摘要

本研究旨在评估从黑水虻幼虫(HI,L.)和黄粉虫幼虫(TM,L.)中提取的两种昆虫脂肪的体外抗菌活性,以及它们作为大豆油(S)的膳食替代品对家兔盲肠发酵模式、粪便和盲肠微生物群的影响。总共120只断奶家兔被随机分配到三种日粮处理组(每组40只)——一种对照日粮(C日粮)含有1.5%的S,以及两种实验日粮(HI日粮(HID)和TM日粮(TMD)),在持续41天的整个试验期间,S完全被HI或TM脂肪替代。关于体外抗菌活性,HI和TM脂肪对生长没有任何影响。当用HI脂肪攻击时,显示出比对照组显著更低的生长。与对照组相比,在家兔日粮中添加昆虫脂肪增加了盲肠挥发性脂肪酸的含量。采用宏分类学方法研究了作为日粮中添加昆虫脂肪的函数的微生物组成变化。微生物群没有随着添加量的变化而表现出明显的分离,即使观察到了特定的微生物特征。事实上,添加HI和TM脂肪增加了 的存在,发现其与NH3-N浓度相关。还观察到 增加,这可以改善宿主的免疫反应。本研究证实了HI和TM脂肪作为抗菌饲料成分的潜力,对家兔盲肠微生物群有积极影响,从而支持了在家兔日粮中添加HI和TM脂肪的可能性。

https://cdn.ncbi.nlm.nih.gov/pmc/blobs/c607/7460256/e8fee86a081a/animals-10-01292-g001.jpg

文献AI研究员

20分钟写一篇综述,助力文献阅读效率提升50倍。

立即体验

用中文搜PubMed

大模型驱动的PubMed中文搜索引擎

马上搜索

文档翻译

学术文献翻译模型,支持多种主流文档格式。

立即体验