Suppr超能文献

高剂量铝暴露进一步提示再生障碍性贫血患者的免疫表型。

High-Dose Aluminum Exposure Further Alerts Immune Phenotype in Aplastic Anemia Patients.

机构信息

Department of Hematology, Affiliated Hospital of YouJiang Medical College for Nationalities, Baise, 533000, Guangxi, China.

Department of Oncology, First People's Hospital, Nanning, Guangxi, China.

出版信息

Biol Trace Elem Res. 2021 May;199(5):1743-1753. doi: 10.1007/s12011-020-02313-6. Epub 2020 Aug 6.

Abstract

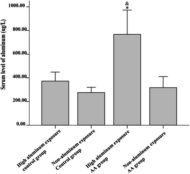
This study explored the relationship between immunological status and clinical characteristics of aplastic anemia (AA) patients to plasma aluminum levels, which were increased after constant exposure to high levels of this metal. Sixty-two AA patients (33 cases with high and 29 cases with low or no exposure to aluminum) and 30 healthy controls were selected for this study. Aluminum in human albumin solution was measured by inductivity coupled plasma mass spectrometry. IL-10, IL-12, IL-17, and INF-γ levels were measured by enzyme-linked immunosorbent assay. The distribution of lymphocyte subsets were determined by flow cytometry. The expression levels of immunoglobulins and complement C3 and C4 were also measured. Exposure to high aluminum raised the levels of serum aluminum in AA patients (P < 0.01). The levels of hemoglobin and complement C4 were lower in AA patients with high aluminum exposure (P < 0.05 and < 0.01, respectively). The percentage of CD4 T cells and the ratio of CD4/ CD8T cells in peripheral blood in AA patients with high aluminum exposure were higher compared with control AA patients (P < 0.05 in both cases), while the percentage of CD8 T cells was significantly lower than that in non-aluminum-exposed AA patients (P < 0.05). Compared with non-aluminum-exposed AA patients, the level of IL-10 in the high aluminum-exposed AA group was significantly higher (P < 0.05 in both cases). The immunological and clinical characteristics of AA patients from regions of high aluminum exposure are different to those in from non-aluminum areas. These results suggest that high aluminum exposure alters the immune system in patients suffering from AA.

摘要

本研究旨在探讨再生障碍性贫血(AA)患者的免疫状态与临床特征与血浆铝水平之间的关系,后者在持续暴露于高水平铝后会升高。本研究共纳入 62 例 AA 患者(33 例高铝暴露,29 例低铝或无铝暴露)和 30 名健康对照者。采用电感耦合等离子体质谱法测定人血白蛋白溶液中的铝含量。采用酶联免疫吸附试验测定白细胞介素-10(IL-10)、白细胞介素-12(IL-12)、白细胞介素-17(IL-17)和干扰素-γ(INF-γ)水平。采用流式细胞术检测淋巴细胞亚群分布。同时测定免疫球蛋白和补体 C3、C4 的表达水平。

高铝暴露使 AA 患者血清铝水平升高(P<0.01)。高铝暴露的 AA 患者血红蛋白和补体 C4 水平较低(P<0.05 和 <0.01)。高铝暴露的 AA 患者外周血 CD4+T 细胞比例和 CD4+/CD8+T 细胞比值均高于对照组(均 P<0.05),而 CD8+T 细胞比例明显低于非铝暴露的 AA 患者(P<0.05)。与非铝暴露的 AA 患者相比,高铝暴露组的 IL-10 水平明显升高(均 P<0.05)。高铝暴露地区的 AA 患者的免疫和临床特征与非铝暴露地区不同。这些结果提示高铝暴露可改变 AA 患者的免疫系统。

https://cdn.ncbi.nlm.nih.gov/pmc/blobs/9f3c/7990755/203f2c2678d4/12011_2020_2313_Fig1_HTML.jpg

文献AI研究员

20分钟写一篇综述,助力文献阅读效率提升50倍。

立即体验

用中文搜PubMed

大模型驱动的PubMed中文搜索引擎

马上搜索

文档翻译

学术文献翻译模型,支持多种主流文档格式。

立即体验