Suppr超能文献

针刺治疗急性非特异性下腰痛:一项在全科医疗中的随机对照多中心干预研究——Acuback研究

Acupuncture for acute non-specific low back pain: a randomised, controlled, multicentre intervention study in general practice-the Acuback study.

作者信息

Skonnord Trygve, Skjeie Holgeir, Brekke Mette, Klovning Atle, Grotle Margreth, Aas Eline, Mdala Ibrahimu, Fetveit Arne

机构信息

Department of General Practice, Institute of Health and Society, University of Oslo, Oslo, Norway

Department of General Practice, Institute of Health and Society, University of Oslo, Oslo, Norway.

出版信息

BMJ Open. 2020 Aug 6;10(8):e034157. doi: 10.1136/bmjopen-2019-034157.

Abstract

OBJECTIVES

The aim of this study was to evaluate whether a single treatment session of acupuncture, when applied in addition to standard treatment for acute low back pain (ALBP), reduces the time to recovery compared with standard treatment alone.

DESIGN

A multicentre, randomised, controlled trial.

SETTING

Conducted at 11 Norwegian general practitioners' (GPs') offices.

PARTICIPANTS

171 adults aged 20-55 years seeking their GP for ALBP (≤14 days) between March 2014 and March 2017. Patients with secondary back pain and previous sick leave and acupuncture treatment was excluded.

INTERVENTIONS

The participants were randomised to either the control group (CG) or the acupuncture group (AG) by online software. The CG received standard treatment according to the Norwegian guidelines, while the AG received one session of Western medical acupuncture treatment in addition to standard treatment. The statistician was blinded to group status.

PRIMARY AND SECONDARY OUTCOME MEASURES

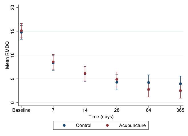
The primary outcome was median days to recovery. Secondary outcomes were pain intensity, global improvement, back-specific functional status, sick leave, medication and adverse effects.

RESULTS

185 participants were randomised, 95 in the CG and 90 in the AG. 14 participants did not receive the allocated intervention and 4 were excluded from the analysis. Thus, 167 participants were included in the analysis, 86 in the CG and 81 in the AG. The groups were similar according to baseline characteristics. The median time to recovery was 14 days for the CG and 9 days for the AG, HR 1.37 (95% CI 0.95 to 1.96), (p=0.089). No serious adverse effects were reported.

CONCLUSIONS

We did not find any statistically significant reduction in time-to-recovery after a single session of acupuncture for ALBP compared with standard care.

TRIAL REGISTRATION NUMBER

NCT01439412.

摘要

目的

本研究旨在评估在急性腰痛(ALBP)的标准治疗基础上增加单次针灸治疗,与单纯标准治疗相比,是否能缩短恢复时间。

设计

一项多中心、随机、对照试验。

地点

在挪威11家全科医生(GP)诊所进行。

参与者

2014年3月至2017年3月期间,171名年龄在20 - 55岁之间因急性腰痛(≤14天)而寻求全科医生治疗的成年人。排除有继发性背痛、既往病假和接受过针灸治疗的患者。

干预措施

参与者通过在线软件随机分为对照组(CG)或针灸组(AG)。CG组按照挪威指南接受标准治疗,而AG组在标准治疗基础上额外接受一次西医针灸治疗。统计人员对分组情况不知情。

主要和次要结局指标

主要结局是恢复的中位数天数。次要结局包括疼痛强度、整体改善情况、背部特定功能状态、病假、用药情况和不良反应。

结果

185名参与者被随机分组,CG组95名,AG组90名。14名参与者未接受分配的干预措施,4名被排除在分析之外。因此,167名参与者被纳入分析,CG组86名,AG组81名。两组的基线特征相似。CG组恢复的中位数时间为14天,AG组为9天,风险比为1.37(95%置信区间为0.95至1.96),(p = 0.089)。未报告严重不良反应。

结论

与标准治疗相比,我们未发现单次针灸治疗急性腰痛后恢复时间有任何统计学上的显著缩短。

试验注册号

NCT01439412。

https://cdn.ncbi.nlm.nih.gov/pmc/blobs/0c8e/7412620/a80e1de6acda/bmjopen-2019-034157f01.jpg

文献检索

告别复杂PubMed语法,用中文像聊天一样搜索,搜遍4000万医学文献。AI智能推荐,让科研检索更轻松。

立即免费搜索

文件翻译

保留排版,准确专业,支持PDF/Word/PPT等文件格式,支持 12+语言互译。

免费翻译文档

深度研究

AI帮你快速写综述,25分钟生成高质量综述,智能提取关键信息,辅助科研写作。

立即免费体验