• 文献检索
  • 文档翻译
  • 深度研究
  • 学术资讯
  • Suppr Zotero 插件Zotero 插件
  • 邀请有礼
  • 套餐&价格
  • 历史记录
应用&插件
Suppr Zotero 插件Zotero 插件浏览器插件Mac 客户端Windows 客户端微信小程序
定价
高级版会员购买积分包购买API积分包
服务
文献检索文档翻译深度研究API 文档MCP 服务
关于我们
关于 Suppr公司介绍联系我们用户协议隐私条款
关注我们

Suppr 超能文献

核心技术专利:CN118964589B侵权必究
粤ICP备2023148730 号-1Suppr @ 2026

文献检索

告别复杂PubMed语法,用中文像聊天一样搜索,搜遍4000万医学文献。AI智能推荐,让科研检索更轻松。

立即免费搜索

文件翻译

保留排版,准确专业,支持PDF/Word/PPT等文件格式,支持 12+语言互译。

免费翻译文档

深度研究

AI帮你快速写综述,25分钟生成高质量综述,智能提取关键信息,辅助科研写作。

立即免费体验

成人创伤性骨折的手术或非手术治疗:利弊的系统评价和荟萃分析。

Surgical or non-surgical treatment of traumatic skeletal fractures in adults: systematic review and meta-analysis of benefits and harms.

机构信息

Research Unit for Musculoskeletal Function and Physiotherapy, Department of Sports Science and Clinical Biomechanics, University of Southern Denmark, Odense, Denmark.

Department of Physiotherapy and Occupational Therapy, Næstved-Slagelse-Ringsted Hospitals, Region Zealand, Slagelse, Denmark.

出版信息

Syst Rev. 2020 Aug 13;9(1):179. doi: 10.1186/s13643-020-01424-4.

DOI:10.1186/s13643-020-01424-4
PMID:32792014
原文链接:https://pmc.ncbi.nlm.nih.gov/articles/PMC7425058/
Abstract

BACKGROUND

A comprehensive overview of treatments of common fractures is missing, although it would be important for shared decision-making in clinical practice. The aim was to determine benefits and harms of surgical compared to non-surgical treatments for traumatic skeletal fractures.

METHODS

We searched Medline, Embase, CINAHL, Web of Science, and CENTRAL until November 2018, for randomized trials of surgical treatment in comparison with or in addition to non-surgical treatment of fractures in adults. For harms, only trials with patient enrollment in 2000 or later were included, while no time restriction was applied to benefits. Two reviewers independently assessed studies for inclusion, extracted data from full-text trials, and performed risk of bias assessment. Outcomes were self-reported pain, function, and quality of life, and serious adverse events (SAEs). Random effects model (Hedges' g) was used.

RESULTS

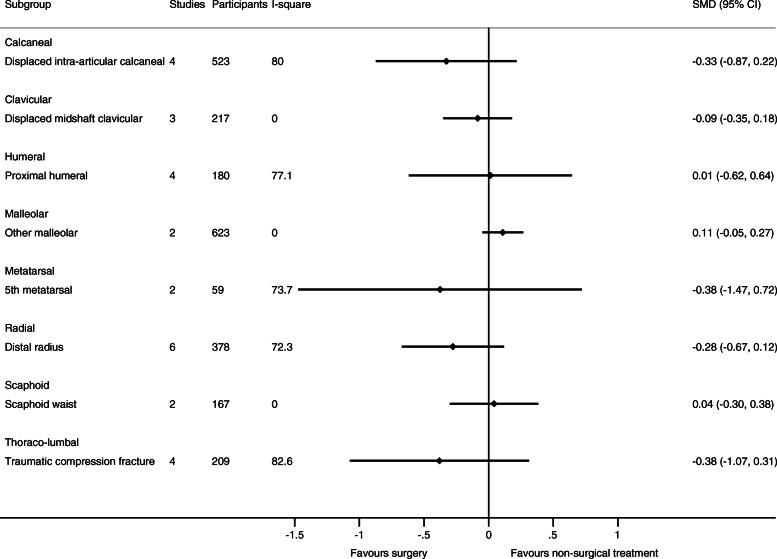
Out of 28375 records screened, we included 61 trials and performed meta-analysis on 12 fracture types in 11 sites: calcaneus, clavicula, femur, humerus, malleolus, metacarpus, metatarsus, radius, rib, scaphoideum, and thoraco-lumbar spine. Seven other fracture types only had one trial available. For distal radius fractures, the standardized mean difference (SMD) was 0.31 (95% CI 0.10 to 0.53, n = 378 participants) for function, favoring surgery, however, with greater risk of SAEs (RR = 3.10 (1.42 to 6.77), n = 436). For displaced intra-articular calcaneus fractures, SMD was 0.64 (0.13 to 1.16) for function (n = 244) and 0.19 (0.01 to 0.36) for quality of life (n = 506) favoring surgery. Surgery was associated with a smaller risk of SAE than non-surgical treatment for displaced midshaft clavicular fractures (RR = 0.62 (0.42 to 0.92), n = 1394). None of the other comparisons showed statistical significance differences and insufficient data existed for most of the common fracture types.

CONCLUSIONS

Of 12 fracture types with more than one trial, only two demonstrated a difference in favor of surgery (distal radius fractures and displaced intra-articular calcaneus fractures), one of which demonstrated a greater risk of harms in the surgical group (distal radius fractures). Our results highlight the current paucity of high-quality randomized trials for common fracture types and a considerable heterogeneity and risk of bias in several of the available trials.

SYSTEMATIC REVIEW REGISTRATION

PROSPERO CRD42015020805.

摘要

背景

尽管对于临床实践中的共同决策而言,综合概述各种常见骨折的治疗方法非常重要,但目前仍然缺乏这方面的内容。本研究旨在确定手术治疗与非手术治疗成人创伤性骨骼骨折的疗效和安全性。

方法

我们检索了 Medline、Embase、CINAHL、Web of Science 和 CENTRAL 数据库,检索时间截至 2018 年 11 月,以获取比较手术治疗与非手术治疗成人骨折的随机试验。对于安全性结局,仅纳入在 2000 年或以后入组患者的试验,而对疗效结局没有时间限制。两名审查员独立评估研究的纳入情况、从全文试验中提取数据,并进行偏倚风险评估。主要结局指标为自我报告的疼痛、功能和生活质量,以及严重不良事件(SAEs)。采用随机效应模型(Hedges'g)进行分析。

结果

在筛选出的 28375 条记录中,我们纳入了 61 项试验,并对 11 个部位的 12 种骨折类型进行了荟萃分析:跟骨、锁骨、股骨、肱骨、踝骨、掌骨、跖骨、桡骨、肋骨、舟骨和胸腰椎。另外还有 7 种其他骨折类型仅有 1 项试验。对于桡骨远端骨折,功能的标准化均数差(SMD)为 0.31(95%CI 0.10 至 0.53,n = 378 名参与者),手术治疗更优,然而,手术组的严重不良事件风险更高(RR = 3.10(1.42 至 6.77),n = 436)。对于关节内移位的跟骨骨折,功能的 SMD 为 0.64(0.13 至 1.16,n = 244),生活质量的 SMD 为 0.19(0.01 至 0.36,n = 506),手术治疗更优。对于关节外移位的锁骨中段骨折,与非手术治疗相比,手术治疗的严重不良事件风险更小(RR = 0.62(0.42 至 0.92),n = 1394)。其他比较均未显示出统计学意义上的差异,大多数常见骨折类型的可用数据不足。

结论

在有多项试验的 12 种骨折类型中,仅有两种类型(桡骨远端骨折和关节内移位的跟骨骨折)的疗效倾向于手术治疗,其中一种(桡骨远端骨折)的手术组安全性结局更差。我们的研究结果突出了目前高质量随机试验对于常见骨折类型的缺乏,以及部分现有试验存在较大的异质性和偏倚风险。

系统评价注册

PROSPERO CRD42015020805。

https://cdn.ncbi.nlm.nih.gov/pmc/blobs/515d/7425058/1c6ad8bd3bd0/13643_2020_1424_Fig5_HTML.jpg
https://cdn.ncbi.nlm.nih.gov/pmc/blobs/515d/7425058/66714e4c2835/13643_2020_1424_Fig1_HTML.jpg
https://cdn.ncbi.nlm.nih.gov/pmc/blobs/515d/7425058/d330927f502b/13643_2020_1424_Fig2_HTML.jpg
https://cdn.ncbi.nlm.nih.gov/pmc/blobs/515d/7425058/44d8570c52e7/13643_2020_1424_Fig3_HTML.jpg
https://cdn.ncbi.nlm.nih.gov/pmc/blobs/515d/7425058/8a94045252b0/13643_2020_1424_Fig4_HTML.jpg
https://cdn.ncbi.nlm.nih.gov/pmc/blobs/515d/7425058/1c6ad8bd3bd0/13643_2020_1424_Fig5_HTML.jpg
https://cdn.ncbi.nlm.nih.gov/pmc/blobs/515d/7425058/66714e4c2835/13643_2020_1424_Fig1_HTML.jpg
https://cdn.ncbi.nlm.nih.gov/pmc/blobs/515d/7425058/d330927f502b/13643_2020_1424_Fig2_HTML.jpg
https://cdn.ncbi.nlm.nih.gov/pmc/blobs/515d/7425058/44d8570c52e7/13643_2020_1424_Fig3_HTML.jpg
https://cdn.ncbi.nlm.nih.gov/pmc/blobs/515d/7425058/8a94045252b0/13643_2020_1424_Fig4_HTML.jpg
https://cdn.ncbi.nlm.nih.gov/pmc/blobs/515d/7425058/1c6ad8bd3bd0/13643_2020_1424_Fig5_HTML.jpg

相似文献

1
Surgical or non-surgical treatment of traumatic skeletal fractures in adults: systematic review and meta-analysis of benefits and harms.成人创伤性骨折的手术或非手术治疗:利弊的系统评价和荟萃分析。
Syst Rev. 2020 Aug 13;9(1):179. doi: 10.1186/s13643-020-01424-4.
2
Interventions for treating femoral shaft fractures in children and adolescents.儿童和青少年股骨干骨折的治疗干预措施。
Evid Based Child Health. 2014 Dec;9(4):753-826. doi: 10.1002/ebch.1987.
3
Percutaneous pinning for treating distal radial fractures in adults.经皮穿针治疗成人桡骨远端骨折
Cochrane Database Syst Rev. 2020 Feb 7;2(2):CD006080. doi: 10.1002/14651858.CD006080.pub3.
4
Surgical versus conservative interventions for treating fractures of the middle third of the clavicle.手术与保守干预治疗锁骨中三分之一骨折
Cochrane Database Syst Rev. 2013 Jun 6(6):CD009363. doi: 10.1002/14651858.CD009363.pub2.
5
Interventions for treating fractures of the patella in adults.成人髌骨骨折的治疗干预措施。
Cochrane Database Syst Rev. 2015 Feb 27(2):CD009651. doi: 10.1002/14651858.CD009651.pub2.
6
Conservative interventions for treating middle third clavicle fractures in adolescents and adults.青少年和成人中三分之一锁骨骨折的保守治疗干预措施。
Cochrane Database Syst Rev. 2016 Dec 15;12(12):CD007121. doi: 10.1002/14651858.CD007121.pub4.
7
Surgical interventions for treating fractures of the olecranon in adults.成人尺骨鹰嘴骨折的手术治疗干预措施。
Cochrane Database Syst Rev. 2014 Nov 26;2014(11):CD010144. doi: 10.1002/14651858.CD010144.pub2.
8
Pedicle screw fixation for traumatic fractures of the thoracic and lumbar spine.胸腰椎创伤性骨折的椎弓根螺钉固定术
Cochrane Database Syst Rev. 2013 May 31;2013(5):CD009073. doi: 10.1002/14651858.CD009073.pub2.
9
Interventions for treating proximal humeral fractures in adults.成人肱骨近端骨折的治疗干预措施。
Cochrane Database Syst Rev. 2012 Dec 12;12:CD000434. doi: 10.1002/14651858.CD000434.pub3.
10
Surgical interventions for treating distal humeral fractures in adults.成人肱骨远端骨折的手术治疗干预措施。
Cochrane Database Syst Rev. 2013 Jan 31(1):CD009890. doi: 10.1002/14651858.CD009890.pub2.

引用本文的文献

1
Multi-omics insights into bone tissue injury and healing: bridging orthopedic trauma and regenerative medicine.骨组织损伤与愈合的多组学见解:连接骨科创伤与再生医学
Burns Trauma. 2025 May 28;13:tkaf019. doi: 10.1093/burnst/tkaf019. eCollection 2025.
2
Impact of surgery after injury on SDNN and posttraumatic stress disorder development over two years.伤后手术对 SDNN 和创伤后应激障碍发展的两年影响。
Sci Rep. 2024 Nov 13;14(1):27878. doi: 10.1038/s41598-024-79049-z.
3
Usefulness of non-surgical treatment without weight bearing restriction versus surgical treatment for maintaining activities of daily living in patients with peri-prosthetic femoral fractures.

本文引用的文献

1
Complications after non-surgical management of proximal humeral fractures: a systematic review of terms and definitions.非手术治疗肱骨近端骨折的并发症:术语和定义的系统评价。
BMC Musculoskelet Disord. 2019 Feb 23;20(1):91. doi: 10.1186/s12891-019-2459-6.
2
Plate fixation compared with nonoperative treatment of displaced midshaft clavicular fractures: a randomized clinical trial.钢板固定与非手术治疗移位型锁骨中段骨折的随机临床试验。
Bone Joint J. 2018 Oct;100-B(10):1385-1391. doi: 10.1302/0301-620X.100B10.BJJ-2017-1137.R3.
3
The Robustness of Trials That Guide Evidence-Based Orthopaedic Surgery.
非手术治疗(不限制负重)与手术治疗在维持假体周围股骨骨折患者日常生活活动能力方面的有效性。
Int Orthop. 2024 Dec;48(12):3227-3234. doi: 10.1007/s00264-024-06331-0. Epub 2024 Sep 25.
4
Developing 3D-Printed Wrist Splints for Distal Radius and Scaphoid Fractures.开发用于桡骨远端和舟骨骨折的3D打印手腕夹板。
J Wrist Surg. 2024 Feb 2;13(5):390-397. doi: 10.1055/s-0044-1779053. eCollection 2024 Oct.
5
Minimal Detectable Bone Fracture Gaps in CT Images and Digital Three-Dimensional (3D) Radii Models.CT图像和数字化三维(3D)桡骨模型中的最小可检测骨折间隙
J Imaging Inform Med. 2025 Feb;38(1):84-93. doi: 10.1007/s10278-024-01185-9. Epub 2024 Jul 9.
6
Neurosurgery compared to orthopedic spine consultation: A single level I trauma center experience.神经外科与骨科脊柱会诊的比较:一家一级创伤中心的经验
Brain Spine. 2024 Apr 5;4:102808. doi: 10.1016/j.bas.2024.102808. eCollection 2024.
7
Return to Play Criteria After Adult Lumbar Spinal Fractures: A Review of Current Literature and Expert Recommendations.成人腰椎骨折后的重返运动标准:当前文献综述与专家建议
Curr Rev Musculoskelet Med. 2024 Apr;17(4):83-92. doi: 10.1007/s12178-024-09884-0. Epub 2024 Feb 1.
8
Pseudoaneurysm of the subclavian artery as a delayed complication of a clavicle fracture.锁骨骨折后迟发性并发症:锁骨下动脉假性动脉瘤。
BMJ Case Rep. 2023 May 2;16(5):e252430. doi: 10.1136/bcr-2022-252430.
9
The Efficacy of Targeted Perioperative Management for Diabetic Patients with Traumatic Calcaneal Fractures.糖尿病创伤性跟骨骨折患者围手术期针对性管理的疗效
Evid Based Complement Alternat Med. 2022 Jun 28;2022:1294416. doi: 10.1155/2022/1294416. eCollection 2022.
10
Nonoperative Care Including Rehabilitation Should Be Considered and Clearly Defined Prior to Elective Orthopaedic Surgery to Maximize Optimal Outcomes.在进行择期骨科手术之前,应考虑并明确包括康复在内的非手术治疗,以实现最佳效果的最大化。
Arthrosc Sports Med Rehabil. 2022 Jan 28;4(1):e231-e236. doi: 10.1016/j.asmr.2021.09.038. eCollection 2022 Jan.
指导循证骨科手术的试验的稳健性。
J Bone Joint Surg Am. 2018 Jun 20;100(12):e85. doi: 10.2106/JBJS.17.01039.
4
Treatment of Displaced Midshaft Clavicle Fractures: Figure-of-Eight Harness Versus Anterior Plate Osteosynthesis: A Randomized Controlled Trial.移位型锁骨中段骨折的治疗:8字绷带与前路钢板内固定术:一项随机对照试验
J Bone Joint Surg Am. 2017 Jul 19;99(14):1159-1165. doi: 10.2106/JBJS.16.01184.
5
Minimally Invasive Osteosynthesis with a Bridge Plate Versus a Functional Brace for Humeral Shaft Fractures: A Randomized Controlled Trial.桥接钢板微创接骨术与功能性支具治疗肱骨干骨折的随机对照试验
J Bone Joint Surg Am. 2017 Apr 5;99(7):583-592. doi: 10.2106/JBJS.16.00628.
6
Surgery for Type B Ankle Fracture Treatment: a Combined Randomised and Observational Study (CROSSBAT).B型踝关节骨折治疗的手术:一项随机与观察性联合研究(CROSSBAT)。
BMJ Open. 2017 Mar 27;7(3):e013298. doi: 10.1136/bmjopen-2016-013298.
7
Plate Fixation Compared with Nonoperative Treatment for Displaced Midshaft Clavicular Fractures: A Multicenter Randomized Controlled Trial.钢板固定与非手术治疗移位型锁骨中段骨折的多中心随机对照试验
J Bone Joint Surg Am. 2017 Jan 18;99(2):106-112. doi: 10.2106/JBJS.15.01394.
8
Surgical Versus Nonsurgical Treatment for Midshaft Clavicle Fractures in Patients Aged 16 Years and Older: A Systematic Review, Meta-analysis, and Comparison of Randomized Controlled Trials and Observational Studies.16岁及以上患者中段锁骨骨折的手术与非手术治疗:一项系统评价、荟萃分析以及随机对照试验与观察性研究的比较
Am J Sports Med. 2017 Jul;45(8):1937-1945. doi: 10.1177/0363546516673615. Epub 2016 Nov 18.
9
Close Contact Casting vs Surgery for Initial Treatment of Unstable Ankle Fractures in Older Adults: A Randomized Clinical Trial.老年不稳定踝关节骨折初始治疗中闭合接触固定与手术治疗的随机临床试验
JAMA. 2016 Oct 11;316(14):1455-1463. doi: 10.1001/jama.2016.14719.
10
Comparison of clinical and radiologic outcomes between non-operative and operative treatment in 5th metatarsal base fractures (Zone 1).第5跖骨基底骨折(1区)非手术与手术治疗的临床及影像学结果比较
Injury. 2016 Aug;47(8):1789-93. doi: 10.1016/j.injury.2016.05.016. Epub 2016 May 20.