Suppr超能文献

胸部 CT 对西方疑似 COVID-19 感染患者的筛查诊断性能。

Diagnostic performance of chest CT in screening patients with suspected COVID-19 infection in a Western population.

机构信息

Department of Radiology, Zuyderland Medical Center, Heerlen/Sittard/Geleen, The Netherlands.

出版信息

Br J Radiol. 2020 Sep 1;93(1113):20200643. doi: 10.1259/bjr.20200643. Epub 2020 Aug 18.

Abstract

OBJECTIVE

To investigate the diagnostic performance of chest CT in screening patients suspected of Coronavirus disease 2019 (COVID-19) in a Western population.

METHODS

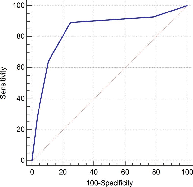
Consecutive patients who underwent chest CT because of clinical suspicion of COVID-19 were included. CT scans were prospectively evaluated by frontline general radiologists who were on duty at the time when the CT scan was performed and retrospectively assessed by a chest radiologist in an independent and blinded manner. Real-time reverse transcriptase-polymerase chain reaction was used as reference standard. Sensitivity, specificity, positive predictive value (PPV), and negative predictive value (NPV) were calculated. Sensitivity and specificity of the frontline general radiologists were compared to those of the chest radiologist using the McNemar test.

RESULTS

56 patients were included. Sensitivity, specificity, PPV, and NPV for the frontline general radiologists were 89.3% [95% confidence interval (CI): 71.8%, 97.7%], 32.1% (95% CI: 15.9%, 52.4%), 56.8% (95% CI: 41.0%, 71.7%), and 75.0% (95% CI: 42.8%, 94.5%), respectively. Sensitivity, specificity, PPV, and NPV for the chest radiologist were 89.3% (95% CI: 71.8%, 97.7%), 75.0% (95% CI: 55.1%, 89.3%), 78.1% (95% CI: 60.0%, 90.7%), and 87.5% (95% CI: 67.6%, 97.3%), respectively. Sensitivity was not significantly different ( = 1.000), but specificity was significantly higher for the chest radiologist ( = 0.001).

CONCLUSION

Chest CT interpreted by frontline general radiologists achieves insufficient screening performance. Although specificity of a chest radiologist appears to be significantly higher, sensitivity did not improve. A negative chest CT result does not exclude COVID-19.

ADVANCES IN KNOWLEDGE

Our study shows that chest CT interpreted by frontline general radiologists achieves insufficient diagnostic performance to use it as an independent screening tool for COVID-19. Although specificity of a chest radiologist appears to be significantly higher, sensitivity is still insufficiently high.

摘要

目的

研究胸部 CT 对西方人群中疑似 2019 年冠状病毒病(COVID-19)患者的诊断性能。

方法

纳入因临床疑似 COVID-19 而行胸部 CT 检查的连续患者。一线放射科医生在进行 CT 扫描时前瞻性地评估 CT 扫描,胸部放射科医生以独立和盲法的方式进行回顾性评估。实时逆转录-聚合酶链反应作为参考标准。计算敏感性、特异性、阳性预测值(PPV)和阴性预测值(NPV)。使用 McNemar 检验比较一线放射科医生和胸部放射科医生的敏感性和特异性。

结果

共纳入 56 例患者。一线放射科医生的敏感性、特异性、PPV 和 NPV 分别为 89.3%(95%置信区间:71.8%,97.7%)、32.1%(95%置信区间:15.9%,52.4%)、56.8%(95%置信区间:41.0%,71.7%)和 75.0%(95%置信区间:42.8%,94.5%)。胸部放射科医生的敏感性、特异性、PPV 和 NPV 分别为 89.3%(95%置信区间:71.8%,97.7%)、75.0%(95%置信区间:55.1%,89.3%)、78.1%(95%置信区间:60.0%,90.7%)和 87.5%(95%置信区间:67.6%,97.3%)。敏感性无显著差异( = 1.000),但特异性显著更高( = 0.001)。

结论

由一线放射科医生解读的胸部 CT 检查的筛查性能不足。尽管胸部放射科医生的特异性似乎明显更高,但敏感性并未提高。阴性胸部 CT 结果不能排除 COVID-19。

知识的进步

本研究表明,由一线放射科医生解读的胸部 CT 检查的诊断性能不足,不能将其作为 COVID-19 的独立筛查工具。尽管胸部放射科医生的特异性似乎明显更高,但敏感性仍然不够高。

https://cdn.ncbi.nlm.nih.gov/pmc/blobs/c4ae/7465869/c05431bc791d/bjr.20200643.g001.jpg

文献检索

告别复杂PubMed语法,用中文像聊天一样搜索,搜遍4000万医学文献。AI智能推荐,让科研检索更轻松。

立即免费搜索

文件翻译

保留排版,准确专业,支持PDF/Word/PPT等文件格式,支持 12+语言互译。

免费翻译文档

深度研究

AI帮你快速写综述,25分钟生成高质量综述,智能提取关键信息,辅助科研写作。

立即免费体验