Suppr超能文献

利用成像技术对乳腺癌分子亚型进行肿瘤大小估计。

Tumor size estimation of the breast cancer molecular subtypes using imaging techniques.

作者信息

Sezgın Gulten, Apaydın Melda, Etıt Demet, Atahan Murat Kemal

机构信息

Department of Radiology, Izmir Katip Celebi University Ataturk Training and Research Hospital, Turkey.

Department of Pathology, Izmir Katip Celebi University Ataturk Training and Research Hospital, Turkey.

出版信息

Med Pharm Rep. 2020 Jul;93(3):253-259. doi: 10.15386/mpr-1476. Epub 2020 Jul 22.

Abstract

BACKGROUND AND AIM

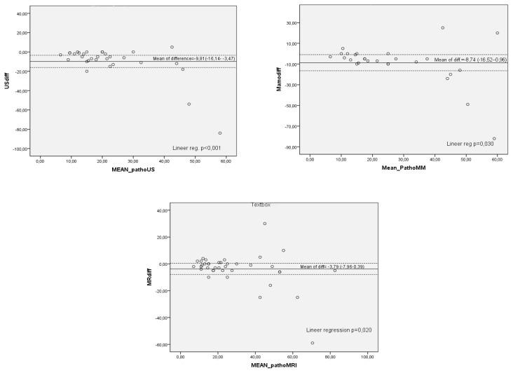
In medical practice the classification of breast cancer is most commonly based on the molecular subtypes, in order to predict the disease prognosis, avoid over-treatment, and provide individualized cancer management. Tumor size is a major determiner of treatment planning, acting on the decision-making process, whether to perform breast surgery or administer neoadjuvant chemotherapy. Imaging methods play a key role in determining the tumor size in breast cancers at the time of the diagnosis.We aimed to compare the radiologically determined tumor sizes with the corresponding pathologically determined tumor sizes of breast cancer at the time of the diagnosis, in correlation with the molecular subtypes.

METHODS

Ninety-one patients with primary invasive breast cancer were evaluated. The main molecular subtypes were luminal A, luminal B, HER-2 positive, and triple-negative. The Bland-Altman plot was used for presenting the limits of agreement between the radiologically and the pathologically determined tumor sizes by the molecular subtypes.

RESULTS

A significantly proportional underestimation was found for the luminal A subtype, especially for large tumors. The p-values for the magnetic resonance imaging, mammography, and ultrasonography were 0.020, 0.030, and <0.001, respectively. No statistically significant differences were observed among the radiologic modalities in determining the tumor size in the remaining molecular subtypes (p>0.05).

CONCLUSION

The radiologically determined tumor size was significantly smaller than the pathologically determined tumor size in the luminal A subtype of breast cancers when measured with all three imaging modalities. The differences were more prominent with ultrasonography and mammography. The underestimation rate increases as the tumor gets larger.

摘要

背景与目的

在医学实践中,乳腺癌的分类通常基于分子亚型,以便预测疾病预后、避免过度治疗并提供个体化的癌症管理。肿瘤大小是治疗计划的主要决定因素,影响着是否进行乳房手术或给予新辅助化疗的决策过程。成像方法在诊断时确定乳腺癌肿瘤大小方面起着关键作用。我们旨在比较诊断时乳腺癌经放射学测定的肿瘤大小与相应的经病理学测定的肿瘤大小,并与分子亚型相关联。

方法

对91例原发性浸润性乳腺癌患者进行评估。主要分子亚型为腔面A型、腔面B型、HER-2阳性型和三阴性型。采用Bland-Altman图展示不同分子亚型经放射学和病理学测定的肿瘤大小之间的一致性界限。

结果

发现腔面A型存在显著的比例性低估,尤其是对于大肿瘤。磁共振成像、乳腺X线摄影和超声检查的p值分别为0.020、0.030和<0.001。在确定其余分子亚型的肿瘤大小时,各放射学检查方法之间未观察到统计学显著差异(p>0.05)。

结论

在乳腺癌的腔面A型中,使用所有三种成像方式测量时,经放射学测定的肿瘤大小显著小于经病理学测定的肿瘤大小。超声检查和乳腺X线摄影的差异更为显著。随着肿瘤增大,低估率增加。

https://cdn.ncbi.nlm.nih.gov/pmc/blobs/361c/7418834/3da7761c328f/cm-93-253f1.jpg

文献检索

告别复杂PubMed语法,用中文像聊天一样搜索,搜遍4000万医学文献。AI智能推荐,让科研检索更轻松。

立即免费搜索

文件翻译

保留排版,准确专业,支持PDF/Word/PPT等文件格式,支持 12+语言互译。

免费翻译文档

深度研究

AI帮你快速写综述,25分钟生成高质量综述,智能提取关键信息,辅助科研写作。

立即免费体验