Suppr超能文献

原发性高级别四肢和躯干软组织肉瘤患者的化疗与生存情况

Chemotherapy and Survival in Patients with Primary High-Grade Extremity and Trunk Soft Tissue Sarcoma.

作者信息

Graham Danielle S, van Dams Ritchell, Jackson Nicholas J, Onyshchenko Mykola, Eckardt Mark A, DiPardo Benjamin J, Nelson Scott D, Chmielowski Bartosz, Shabason Jacob E, Singh Arun S, Eilber Fritz C, Kalbasi Anusha

机构信息

Division of Surgical Oncology, Department of Surgery, University of California, Los Angeles, CA 90095, USA.

Department of Radiation Oncology, University of California, Los Angeles, CA 90095, USA.

出版信息

Cancers (Basel). 2020 Aug 24;12(9):2389. doi: 10.3390/cancers12092389.

Abstract

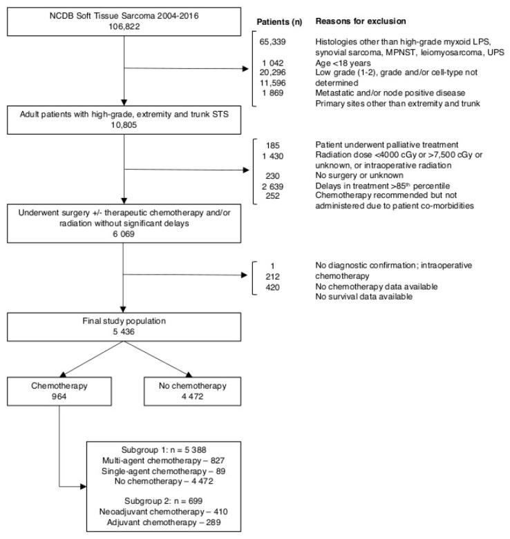
The use of upfront chemotherapy for primary localized soft tissue sarcoma (STS) of the extremity and trunk is debated. It remains unclear if chemotherapy adds clinical benefit, which patients are likely to benefit, and whether the timing of therapy affects outcomes. We used the National Cancer Database (NCDB) to examine the association between overall survival (OS) and chemotherapy in 5436 patients with the five most common subtypes of STS with primary disease localized to the extremity or trunk, mirroring the patient population of a modern phase 3 clinical trial of neoadjuvant chemotherapy. We then examined associations between timing of multi-agent chemotherapy (neoadjuvant or adjuvant) and OS. We used a Cox proportional hazards model and propensity score matching (PSM) to account for covariates including demographic, patient, clinical, treatment, and facility factors. In the overall cohort, we observed no association between multi-agent chemotherapy or its timing and improved OS. Multi-agent chemotherapy was associated with improved OS in several subgroups, including patients with larger tumors (>5 cm), those treated at high-volume centers, or those who received radiation. We also identified an OS benefit to multi-agent chemotherapy among the elderly (>70 years) and African American patients. Multi-agent chemotherapy was associated with improved survival for patients with tumors >5 cm, who receive radiation, or who receive care at high-volume centers. Neither younger age nor chemotherapy timing was associated with better outcomes. These 'real-world' findings align with recent randomized trial data supporting the use of multi-agent chemotherapy in high-risk patients with localized STS.

摘要

对于肢体和躯干原发性局限性软组织肉瘤(STS)采用 upfront 化疗存在争议。化疗是否能带来临床获益、哪些患者可能获益以及治疗时机是否会影响预后仍不清楚。我们利用国家癌症数据库(NCDB)研究了 5436 例原发性疾病局限于肢体或躯干的五种最常见 STS 亚型患者的总生存期(OS)与化疗之间的关联,这反映了一项新辅助化疗的现代 3 期临床试验的患者群体。然后我们研究了多药化疗时机(新辅助或辅助)与 OS 之间的关联。我们使用 Cox 比例风险模型和倾向评分匹配(PSM)来考虑包括人口统计学、患者、临床、治疗和机构因素在内的协变量。在整个队列中,我们未观察到多药化疗及其时机与 OS 改善之间存在关联。在几个亚组中,多药化疗与 OS 改善相关,包括肿瘤较大(>5 cm)的患者、在大容量中心接受治疗的患者或接受放疗的患者。我们还发现老年(>70 岁)患者和非裔美国患者接受多药化疗有 OS 获益。多药化疗与肿瘤>5 cm、接受放疗或在大容量中心接受治疗的患者的生存期改善相关。年龄较小和化疗时机均与更好的预后无关。这些“真实世界”的发现与最近支持在局限性 STS 高危患者中使用多药化疗的随机试验数据一致。

https://cdn.ncbi.nlm.nih.gov/pmc/blobs/dd27/7564235/5a8b1f2b9399/cancers-12-02389-g001.jpg

文献检索

告别复杂PubMed语法,用中文像聊天一样搜索,搜遍4000万医学文献。AI智能推荐,让科研检索更轻松。

立即免费搜索

文件翻译

保留排版,准确专业,支持PDF/Word/PPT等文件格式,支持 12+语言互译。

免费翻译文档

深度研究

AI帮你快速写综述,25分钟生成高质量综述,智能提取关键信息,辅助科研写作。

立即免费体验