Suppr超能文献

病例报告:单侧视神经发育不全伴视交叉发育性半侧发育不良和 VEP 误路。

Case report: Unilateral optic nerve aplasia and developmental hemi-chiasmal dysplasia with VEP misrouting.

机构信息

Clinical and Academic Department of Ophthalmology, Great Ormond Street Hospital for Children, Great Ormond Street, London, WC1N 3JH, UK.

UCL Great Ormond Street Institute of Child Health, University College London, 30 Guildford Street, London, WC1N 1EH, UK.

出版信息

Doc Ophthalmol. 2021 Apr;142(2):247-255. doi: 10.1007/s10633-020-09788-7. Epub 2020 Aug 27.

Abstract

PURPOSE

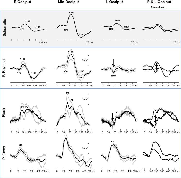
To describe the trans-occipital asymmetries of pattern and flash visual evoked potentials (VEPs), in an infant with MRI findings of unilateral optic nerve aplasia and hemi-chiasm dysplasia.

METHODS

A child with suspected left cystic microphthalmia, left microcornea, left unilateral optic nerve aplasia, and hemi-chiasm underwent a multi-channel VEP assessment with pattern reversal, pattern onset, and flash stimulation at the age of 16 weeks.

RESULTS

There was no VEP evidence of any post-retinal visual pathway activation from left eye with optic nerve aplasia. The VEP trans-occipital distribution from the functional right eye was skewed markedly across the midline, in keeping with significant misrouting of optic nerve fibres at the chiasm. This was supported by the anatomical trajectory of the optic chiasm and tracts seen on MRI.

CONCLUSION

This infant has chiasmal misrouting in association with unilateral optic nerve aplasia and unilateral microphthalmos. Chiasmal misrouting has not been found in patients with microphthalmos or anophthalmos, but has been reported after early eye loss in animal models. Our findings contribute to our understanding of the discrepancy between the visual pathway physiology of human unilateral microphthalmia and animal models.

摘要

目的

描述 1 例视神经发育不全伴视交叉发育不良患儿视诱发电位(VEP)的视盘和闪烁图形反转的偏侧性。

方法

16 周龄的疑似左侧囊性小眼球、左侧小角膜、左侧单侧视神经发育不全伴视交叉发育不良的患儿进行了多通道 VEP 评估,包括图形反转、图形起始和闪光刺激。

结果

左眼视神经发育不全,没有视路后段激活的 VEP 证据。来自功能性右眼的 VEP 经颅分布明显偏中线,提示视交叉处的视神经纤维明显错位。这与 MRI 上所见的视交叉和视束的解剖轨迹一致。

结论

本例患儿存在单侧视神经发育不全伴单侧小眼球的视交叉错路。在小眼球或无眼球患者中未发现视交叉错路,但在动物模型中早期眼丧失后有报道。我们的发现有助于理解人类单侧小眼球的视觉通路生理学与动物模型之间的差异。

https://cdn.ncbi.nlm.nih.gov/pmc/blobs/71a2/7943516/713be34c9e79/10633_2020_9788_Fig1_HTML.jpg

相似文献

1
Case report: Unilateral optic nerve aplasia and developmental hemi-chiasmal dysplasia with VEP misrouting.
Doc Ophthalmol. 2021 Apr;142(2):247-255. doi: 10.1007/s10633-020-09788-7. Epub 2020 Aug 27.
2
Visual-evoked potential evidence of chiasmal hypoplasia.
Ophthalmology. 1999 Dec;106(12):2354-61. doi: 10.1016/S0161-6420(99)90539-0.
4
VEP asymmetry with ophthalmological and MRI findings in two achiasmatic children.
Doc Ophthalmol. 2007 Mar;114(2):53-65. doi: 10.1007/s10633-006-9037-6. Epub 2007 Jan 13.
6
VEP characteristics in children with achiasmia, in comparison to albino and healthy children.
Doc Ophthalmol. 2012 Apr;124(2):109-23. doi: 10.1007/s10633-012-9315-4. Epub 2012 Feb 21.
7
9
Aplasia of the optic chiasm and tracts with unifocal polymicrogyria in an otherwise healthy infant.
J Pediatr Ophthalmol Strabismus. 2002 May-Jun;39(3):187-9. doi: 10.3928/0191-3913-20020501-15.
10
Achiasmia and unilateral optic nerve hypoplasia in an otherwise healthy infant.
Acta Ophthalmol Scand. 2006 Feb;84(1):140-4. doi: 10.1111/j.1600-0420.2005.00523.x.

引用本文的文献

2
The diagnostic value of multichannel VEPs for children without nystagmus.
Doc Ophthalmol. 2025 Apr 17. doi: 10.1007/s10633-025-10020-7.
3
Clinical features and imaging characteristics in achiasmia.
Brain Commun. 2023 Aug 22;5(4):fcad219. doi: 10.1093/braincomms/fcad219. eCollection 2023.

本文引用的文献

1
The hedgehog pathway and ocular developmental anomalies.
Hum Genet. 2019 Sep;138(8-9):917-936. doi: 10.1007/s00439-018-1918-8. Epub 2018 Aug 2.
2
Molecular guidance cues in the development of visual pathway.
Protein Cell. 2018 Nov;9(11):909-929. doi: 10.1007/s13238-017-0490-7. Epub 2017 Nov 27.
3
ISCEV standard for clinical visual evoked potentials: (2016 update).
Doc Ophthalmol. 2016 Aug;133(1):1-9. doi: 10.1007/s10633-016-9553-y. Epub 2016 Jul 21.
4
Optic Nerve Aplasia: Case Report and Literature Review.
J Ophthalmic Vis Res. 2015 Apr-Jun;10(2):187-92. doi: 10.4103/2008-322X.163779.
5
VEP characteristics in children with achiasmia, in comparison to albino and healthy children.
Doc Ophthalmol. 2012 Apr;124(2):109-23. doi: 10.1007/s10633-012-9315-4. Epub 2012 Feb 21.
7
When do asymmetrical full-field pattern reversal visual evoked potentials indicate visual pathway dysfunction in children?
Doc Ophthalmol. 2011 Feb;122(1):9-18. doi: 10.1007/s10633-010-9250-1. Epub 2010 Nov 3.
8
Chiasm formation in man is fundamentally different from that in the mouse.
Eye (Lond). 2007 Oct;21(10):1264-70. doi: 10.1038/sj.eye.6702839.
9
Chiasmal misrouting and foveal hypoplasia without albinism.
Br J Ophthalmol. 2006 Sep;90(9):1098-102. doi: 10.1136/bjo.2006.091702. Epub 2006 May 17.
10
Achiasmia and unilateral optic nerve hypoplasia in an otherwise healthy infant.
Acta Ophthalmol Scand. 2006 Feb;84(1):140-4. doi: 10.1111/j.1600-0420.2005.00523.x.

文献AI研究员

20分钟写一篇综述,助力文献阅读效率提升50倍。

立即体验

用中文搜PubMed

大模型驱动的PubMed中文搜索引擎

马上搜索

文档翻译

学术文献翻译模型,支持多种主流文档格式。

立即体验