• 文献检索
  • 文档翻译
  • 深度研究
  • 学术资讯
  • Suppr Zotero 插件Zotero 插件
  • 邀请有礼
  • 套餐&价格
  • 历史记录
应用&插件
Suppr Zotero 插件Zotero 插件浏览器插件Mac 客户端Windows 客户端微信小程序
定价
高级版会员购买积分包购买API积分包
服务
文献检索文档翻译深度研究API 文档MCP 服务
关于我们
关于 Suppr公司介绍联系我们用户协议隐私条款
关注我们

Suppr 超能文献

核心技术专利:CN118964589B侵权必究
粤ICP备2023148730 号-1Suppr @ 2026

文献检索

告别复杂PubMed语法,用中文像聊天一样搜索,搜遍4000万医学文献。AI智能推荐,让科研检索更轻松。

立即免费搜索

文件翻译

保留排版,准确专业,支持PDF/Word/PPT等文件格式,支持 12+语言互译。

免费翻译文档

深度研究

AI帮你快速写综述,25分钟生成高质量综述,智能提取关键信息,辅助科研写作。

立即免费体验

小野寺的预后营养指数与接受放化疗的口腔鳞状细胞癌患者的肿瘤免疫环境及生存率相关。

Onodera's prognostic nutritional index correlates with tumor immune environment and survival in patients with oral squamous cell carcinoma undergoing chemoradiotherapy.

作者信息

Yoshida Ryoji, Gohara Shunsuke, Sakata Junki, Matsuoka Yuichiro, Hirosue Akiyuki, Kawahara Kenta, Kawaguchi Sho, Nagao Yuka, Yamana Keisuke, Nagata Masashi, Fukuma Daiki, Toya Ryo, Murakami Ryuji, Hiraki Akimitsu, Shinohara Masanori, Nakayama Hideki

机构信息

Department of Oral and Maxillofacial Surgery, Faculty of Life Sciences, Kumamoto University, Japan.

Department of Oral and Maxillofacial Surgery, Faculty of Life Sciences, Kumamoto University, Japan.

出版信息

Transl Oncol. 2020 Dec;13(12):100850. doi: 10.1016/j.tranon.2020.100850. Epub 2020 Aug 24.

DOI:10.1016/j.tranon.2020.100850
PMID:32854035
原文链接:https://pmc.ncbi.nlm.nih.gov/articles/PMC7452079/
Abstract

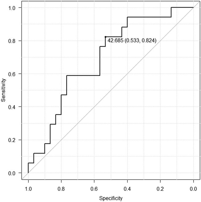
Pretreatment nutritional and immunological status is useful for predicting survival outcomes for various types of malignant tumors. Our objective was to determine the impact of the pretreatment Onodera's prognostic nutritional index (OPNI) on outcomes of patients who underwent definitive chemoradiotherapy for advanced oral squamous cell carcinoma (OSCC). We reviewed 47 patients treated for OSCC with definitive chemoradiotherapy (CRT) at our institution between January 2004 and December 2011. We determined the OPNI according to the following formula: 10 × serum albumin (g/dL) + 0.005 × total lymphocyte count (per μL). We determined the optimum OPNI cut-off through a receiver operating characteristic analysis. We analyzed the associations between OPNI status and various clinicopathological features and evaluated the effects of OPNI on the prognosis. We examined the relationships between OPNI and systemic inflammatory response parameters and analyzed intratumoral CD8+ T cells and their correlation with OPNI. The optimum OPNI cut-off was 42.7. A Kaplan-Meier curve analysis revealed that low OPNI was significantly associated with poor overall survival and cause-specific survival. The multivariate analysis revealed that low OPNI was independently correlated with poor 5 year overall survival and cause-specific survival. OPNI was significantly correlated with systemic inflammatory response parameters. Intratumoral CD8+ T cell counts in primary tumors were significantly lower for low OPNI than for high OPNI. The present data demonstrate that pretreatment OPNI is a valuable independent prognostic indicator of overall and cause-specific survival in advanced OSCC following definitive CRT. OPNI might reflect the tumor immune microenvironment characterization in OSCC.

摘要

治疗前的营养和免疫状态有助于预测各类恶性肿瘤的生存结果。我们的目的是确定治疗前小野寺预后营养指数(OPNI)对接受根治性放化疗的晚期口腔鳞状细胞癌(OSCC)患者预后的影响。我们回顾了2004年1月至2011年12月期间在本机构接受根治性放化疗(CRT)治疗OSCC的47例患者。我们根据以下公式确定OPNI:10×血清白蛋白(g/dL)+0.005×总淋巴细胞计数(每微升)。我们通过受试者工作特征分析确定最佳OPNI临界值。我们分析了OPNI状态与各种临床病理特征之间的关联,并评估了OPNI对预后的影响。我们研究了OPNI与全身炎症反应参数之间的关系,并分析了肿瘤内CD8+T细胞及其与OPNI的相关性。最佳OPNI临界值为42.7。Kaplan-Meier曲线分析显示,低OPNI与总体生存率和病因特异性生存率差显著相关。多因素分析显示,低OPNI与5年总体生存率和病因特异性生存率差独立相关。OPNI与全身炎症反应参数显著相关。低OPNI组原发性肿瘤内CD8+T细胞计数显著低于高OPNI组。目前的数据表明,治疗前OPNI是晚期OSCC根治性CRT后总体和病因特异性生存的有价值的独立预后指标。OPNI可能反映了OSCC中的肿瘤免疫微环境特征。

https://cdn.ncbi.nlm.nih.gov/pmc/blobs/98fc/7452079/19538ec2ab47/mmc3.jpg
https://cdn.ncbi.nlm.nih.gov/pmc/blobs/98fc/7452079/931d2a8d713c/gr1.jpg
https://cdn.ncbi.nlm.nih.gov/pmc/blobs/98fc/7452079/7934800b03bf/gr2.jpg
https://cdn.ncbi.nlm.nih.gov/pmc/blobs/98fc/7452079/aec19b0748d0/gr3.jpg
https://cdn.ncbi.nlm.nih.gov/pmc/blobs/98fc/7452079/23dbdc292510/gr4.jpg
https://cdn.ncbi.nlm.nih.gov/pmc/blobs/98fc/7452079/eca96d0c09f4/gr5.jpg
https://cdn.ncbi.nlm.nih.gov/pmc/blobs/98fc/7452079/d90fd6036159/mmc1.jpg
https://cdn.ncbi.nlm.nih.gov/pmc/blobs/98fc/7452079/0630de57fd81/mmc2.jpg
https://cdn.ncbi.nlm.nih.gov/pmc/blobs/98fc/7452079/19538ec2ab47/mmc3.jpg
https://cdn.ncbi.nlm.nih.gov/pmc/blobs/98fc/7452079/931d2a8d713c/gr1.jpg
https://cdn.ncbi.nlm.nih.gov/pmc/blobs/98fc/7452079/7934800b03bf/gr2.jpg
https://cdn.ncbi.nlm.nih.gov/pmc/blobs/98fc/7452079/aec19b0748d0/gr3.jpg
https://cdn.ncbi.nlm.nih.gov/pmc/blobs/98fc/7452079/23dbdc292510/gr4.jpg
https://cdn.ncbi.nlm.nih.gov/pmc/blobs/98fc/7452079/eca96d0c09f4/gr5.jpg
https://cdn.ncbi.nlm.nih.gov/pmc/blobs/98fc/7452079/d90fd6036159/mmc1.jpg
https://cdn.ncbi.nlm.nih.gov/pmc/blobs/98fc/7452079/0630de57fd81/mmc2.jpg
https://cdn.ncbi.nlm.nih.gov/pmc/blobs/98fc/7452079/19538ec2ab47/mmc3.jpg

相似文献

1
Onodera's prognostic nutritional index correlates with tumor immune environment and survival in patients with oral squamous cell carcinoma undergoing chemoradiotherapy.小野寺的预后营养指数与接受放化疗的口腔鳞状细胞癌患者的肿瘤免疫环境及生存率相关。
Transl Oncol. 2020 Dec;13(12):100850. doi: 10.1016/j.tranon.2020.100850. Epub 2020 Aug 24.
2
Is the prognostic nutritional index a prognostic and predictive factor in metastatic non-small cell lung cancer patients treated with first-line chemotherapy?预后营养指数是否为一线化疗治疗转移性非小细胞肺癌患者的预后和预测因素?
Support Care Cancer. 2020 May;28(5):2273-2282. doi: 10.1007/s00520-019-05055-x. Epub 2019 Aug 30.
3
Onodera's Prognostic Nutritional Index as an Independent Prognostic Factor in Clear Cell Renal Cell Carcinoma.小野寺预后营养指数作为透明细胞肾细胞癌的独立预后因素
Urology. 2016 Oct;96:99-105. doi: 10.1016/j.urology.2016.05.064. Epub 2016 Jul 16.
4
Prognostic Value of Inflammatory and Nutritional Markers for Patients With Early-Stage Poorly-to Moderately-Differentiated Cervical Squamous Cell Carcinoma.早期低-中分化宫颈鳞癌患者炎症和营养标志物的预后价值。
Cancer Control. 2023 Jan-Dec;30:10732748221148913. doi: 10.1177/10732748221148913.
5
Onodera's Prognostic Nutritional Index is a novel and useful prognostic marker for gastrointestinal stromal tumors.小野寺预后营养指数是一种用于胃肠道间质瘤的新型且有用的预后标志物。
World J Gastrointest Surg. 2021 Oct 27;13(10):1202-1215. doi: 10.4240/wjgs.v13.i10.1202.
6
Is Onodera's prognostic nutritional index (OPNI) a prognostic factor in small cell lung cancer (SCLC)?小野寺预后营养指数(OPNI)是否为小细胞肺癌(SCLC)的一个预后因素?
Clin Respir J. 2020 Aug;14(8):689-694. doi: 10.1111/crj.13185. Epub 2020 Mar 31.
7
Onodera's prognostic nutritional index as a risk factor for mortality in peritoneal dialysis patients.小野寺预后营养指数是腹膜透析患者死亡的危险因素。
J Korean Med Sci. 2012 Nov;27(11):1354-8. doi: 10.3346/jkms.2012.27.11.1354. Epub 2012 Oct 30.
8
[Prognostic value of Onodera's index in colorectal cancer survival].[小野寺指数对结直肠癌生存的预后价值]
An Sist Sanit Navar. 2014 May-Aug;37(2):213-21. doi: 10.4321/s1137-66272014000200004.
9
Prognostic value of Onodera's nutritional index for intermediate- and high-risk gastrointestinal stromal tumors treated with or without tyrosine kinase inhibitors.奥野氏营养指数对接受或不接受酪氨酸激酶抑制剂治疗的中高危胃肠道间质瘤的预后价值。
World J Surg Oncol. 2021 Aug 3;19(1):227. doi: 10.1186/s12957-021-02345-9.
10
Low pre-treatment nutritional index is significantly related to poor outcomes in small cell lung cancer.低治疗前营养指数与小细胞肺癌不良预后显著相关。
Thorac Cancer. 2018 Nov;9(11):1483-1491. doi: 10.1111/1759-7714.12862. Epub 2018 Sep 13.

引用本文的文献

1
Prognostic significance of prognostic nutritional index in patients with head and neck squamous cell carcinoma.预后营养指数在头颈部鳞状细胞癌患者中的预后意义
Front Immunol. 2025 Aug 27;16:1597965. doi: 10.3389/fimmu.2025.1597965. eCollection 2025.
2
Prognostic role of prognostic nutritional index in patients with bladder cancer: a systematic review and meta-analysis.预后营养指数在膀胱癌患者中的预后作用:一项系统评价和荟萃分析
Front Oncol. 2025 Jan 23;14:1486389. doi: 10.3389/fonc.2024.1486389. eCollection 2024.
3
Correlation of Prognostic Nutritional Index and Systemic Immune-Inflammation Index with the Recurrence and Prognosis in Oral Squamous Cell Carcinoma with the Stage of III/IV.

本文引用的文献

1
Predictive value of prognostic nutritional index in patients with oral squamous cell carcinoma.预后营养指数对口腔鳞状细胞癌患者的预测价值。
Oral Dis. 2020 Jul;26(5):903-911. doi: 10.1111/odi.13318. Epub 2020 Mar 19.
2
Nutritional assessment and prognosis of oral cancer patients: a large-scale prospective study.口腔癌患者的营养评估和预后:一项大规模前瞻性研究。
BMC Cancer. 2020 Feb 22;20(1):146. doi: 10.1186/s12885-020-6604-2.
3
The Value of Prognostic Nutritional Index (PNI) in Predicting Survival and Guiding Radiotherapy of Patients With T1-2N1 Breast Cancer.
预后营养指数和全身免疫炎症指数与Ⅲ/Ⅳ期口腔鳞状细胞癌复发及预后的相关性
Int J Gen Med. 2024 May 20;17:2289-2297. doi: 10.2147/IJGM.S458666. eCollection 2024.
4
Nutritional Prognosis of Patients Submitted to Radiotherapy and Its Implications in Treatment.放疗患者的营养预后及其对治疗的影响。
Nutrients. 2024 Apr 30;16(9):1363. doi: 10.3390/nu16091363.
5
The predictive value of serum NLR, SII, and OPNI for lymph node metastasis in breast cancer patients with internal mammary lymph nodes after thoracoscopic surgery.血清中性粒细胞与淋巴细胞比值(NLR)、全身免疫炎症指标(SII)和预后营养指数(OPNI)对胸腔镜手术后内乳淋巴结转移乳腺癌患者淋巴结转移的预测价值
Open Life Sci. 2024 Apr 1;19(1):20220763. doi: 10.1515/biol-2022-0763. eCollection 2024.
6
Preoperative inflammation and nutrition-based comprehensive biomarker for predicting prognosis in resectable colorectal cancer.用于预测可切除结直肠癌预后的术前基于炎症和营养的综合生物标志物。
Front Oncol. 2023 Nov 22;13:1279487. doi: 10.3389/fonc.2023.1279487. eCollection 2023.
7
Prognostic value of neutrophil count to albumin ratio in patients with decompensated cirrhosis.中性粒细胞与白蛋白比值对肝硬化失代偿患者的预后价值。
Sci Rep. 2023 Nov 25;13(1):20759. doi: 10.1038/s41598-023-44842-9.
8
Prognostic and clinicopathological significance of prognostic nutritional index (PNI) in patients with oral cancer: a meta-analysis.预后营养指数(PNI)在口腔癌患者中的预后及临床病理意义:一项荟萃分析。
Aging (Albany NY). 2023 Mar 7;15(5):1615-1627. doi: 10.18632/aging.204576.
9
Prognostic value of inflammatory biomarkers in aged patients with oral squamous cell carcinoma.炎症生物标志物在老年口腔鳞状细胞癌患者中的预后价值
Front Pharmacol. 2022 Nov 21;13:996757. doi: 10.3389/fphar.2022.996757. eCollection 2022.
10
Nutritional Risk Index as a Prognostic Factor Predicts the Clinical Outcomes in Patients With Stage III Gastric Cancer.营养风险指数作为一种预后因素可预测Ⅲ期胃癌患者的临床结局。
Front Oncol. 2022 May 13;12:880419. doi: 10.3389/fonc.2022.880419. eCollection 2022.
预后营养指数(PNI)在预测T1-2N1期乳腺癌患者生存率及指导放疗中的价值
Front Oncol. 2020 Jan 30;9:1562. doi: 10.3389/fonc.2019.01562. eCollection 2019.
4
PD-L1 expression, CD8+ and CD4+ lymphocyte rate are predictive of pathological complete response after neoadjuvant chemoradiotherapy for squamous cell cancer of the thoracic esophagus.PD-L1 表达、CD8+和 CD4+淋巴细胞比率与胸段食管鳞癌新辅助放化疗后病理完全缓解相关。
Cancer Med. 2019 Oct;8(13):6036-6048. doi: 10.1002/cam4.2359. Epub 2019 Aug 20.
5
Combined neutrophil-lymphocyte ratio and platelet-lymphocyte ratio predicts chemotherapy response and prognosis in patients with advanced gastric cancer.中性粒细胞与淋巴细胞比值及血小板与淋巴细胞比值可预测晚期胃癌患者的化疗反应及预后。
BMC Cancer. 2019 Jul 8;19(1):672. doi: 10.1186/s12885-019-5903-y.
6
Long-term impact of prognostic nutritional index in cervical esophageal squamous cell carcinoma patients undergoing definitive radiotherapy.预后营养指数对接受根治性放疗的颈段食管鳞状细胞癌患者的长期影响。
Ann Transl Med. 2019 Apr;7(8):175. doi: 10.21037/atm.2019.03.60.
7
Tumor-infiltrating CD8 T-cell density is an independent prognostic marker for oral squamous cell carcinoma.肿瘤浸润 CD8+T 细胞密度是口腔鳞状细胞癌的独立预后标志物。
Cancer Med. 2019 Jan;8(1):80-93. doi: 10.1002/cam4.1889. Epub 2019 Jan 1.
8
Prognostic value of nutritional indices and body composition parameters including sarcopenia in patients treated with radiotherapy for urothelial carcinoma of the bladder.营养指标和身体成分参数(包括肌少症)对接受膀胱癌放射治疗患者的预后价值。
Urol Oncol. 2019 Jun;37(6):372-379. doi: 10.1016/j.urolonc.2018.11.001. Epub 2018 Dec 18.
9
Predicting Pathological Complete Regression with Haematological Markers During Neoadjuvant Chemoradiotherapy for Locally Advanced Rectal Cancer.新辅助放化疗期间利用血液学标志物预测局部晚期直肠癌的病理完全缓解
Anticancer Res. 2018 Dec;38(12):6905-6910. doi: 10.21873/anticanres.13067.
10
The Value of Prognostic Nutritional Index in Follicular Lymphoma.预后营养指数在滤泡性淋巴瘤中的价值。
Am J Clin Oncol. 2019 Feb;42(2):202-207. doi: 10.1097/COC.0000000000000493.