Suppr超能文献

全球、地区和国家 195 个国家和地区的糖尿病负担和趋势:1990 年至 2025 年的分析。

Global, regional, and national burden and trend of diabetes in 195 countries and territories: an analysis from 1990 to 2025.

机构信息

Department of Endocrinology and Metabolism, The Second Affiliated Hospital of ZheJiang University School of Medicine, 88 Jiefang Road, Hangzhou, 310009, Zhejiang, China.

Department of Ophthalmology, The Second Affiliated Hospital of ZheJiang University School of Medicine, 88 Jiefang Road, Hangzhou, 310009, Zhejiang, China.

出版信息

Sci Rep. 2020 Sep 8;10(1):14790. doi: 10.1038/s41598-020-71908-9.

Abstract

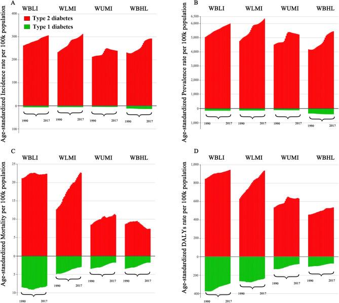
Diabetes mellitus is a leading cause of mortality and reduced life expectancy. We aim to estimate the burden of diabetes by type, year, regions, and socioeconomic status in 195 countries and territories over the past 28 years, which provide information to achieve the goal of World Health Organization Global Action Plan for the Prevention and Control of Noncommunicable Diseases in 2025. Data were obtained from the Global Burden of Disease Study 2017. Overall, the global burden of diabetes had increased significantly since 1990. Both the trend and magnitude of diabetes related diseases burden varied substantially across regions and countries. In 2017, global incidence, prevalence, death, and disability-adjusted life-years (DALYs) associated with diabetes were 22.9 million, 476.0 million, 1.37 million, and 67.9 million, with a projection to 26.6 million, 570.9 million, 1.59 million, and 79.3 million in 2025, respectively. The trend of global type 2 diabetes burden was similar to that of total diabetes (including type 1 diabetes and type 2 diabetes), while global age-standardized rate of mortality and DALYs for type 1 diabetes declined. Globally, metabolic risks (high BMI) and behavioral factors (inappropriate diet, smoking, and low physical activity) contributed the most attributable death and DALYs of diabetes. These estimations could be useful in policy-making, priority setting, and resource allocation in diabetes prevention and treatment.

摘要

糖尿病是导致死亡和预期寿命缩短的主要原因。我们旨在评估过去 28 年 195 个国家和地区不同类型、年份、地区和社会经济地位的糖尿病负担,为实现世界卫生组织 2025 年非传染性疾病全球行动计划的目标提供信息。数据来自 2017 年全球疾病负担研究。总体而言,自 1990 年以来,全球糖尿病负担显著增加。糖尿病相关疾病负担的趋势和幅度在各地区和国家之间存在显著差异。2017 年,全球与糖尿病相关的发病率、患病率、死亡率和伤残调整生命年(DALYs)分别为 2290 万人、4.76 亿人、137 万人和 6790 万人,预计到 2025 年将分别达到 2660 万人、5.709 亿人、159 万人和 7930 万人。全球 2 型糖尿病负担的趋势与总糖尿病(包括 1 型糖尿病和 2 型糖尿病)相似,而全球 1 型糖尿病死亡率和 DALYs 的年龄标准化率下降。在全球范围内,代谢风险(高 BMI)和行为因素(不适当的饮食、吸烟和低体力活动)导致了糖尿病死亡和 DALYs 最多。这些估计结果可用于制定政策、确定优先事项和分配资源,以预防和治疗糖尿病。

https://cdn.ncbi.nlm.nih.gov/pmc/blobs/dcff/7478957/6737ab74c9a4/41598_2020_71908_Fig1_HTML.jpg

文献检索

告别复杂PubMed语法,用中文像聊天一样搜索,搜遍4000万医学文献。AI智能推荐,让科研检索更轻松。

立即免费搜索

文件翻译

保留排版,准确专业,支持PDF/Word/PPT等文件格式,支持 12+语言互译。

免费翻译文档

深度研究

AI帮你快速写综述,25分钟生成高质量综述,智能提取关键信息,辅助科研写作。

立即免费体验