Suppr超能文献

严重精神疾病患者在接受烟草/尼古丁使用帮助/服务后,尼古丁依赖缓解情况。

Remission from nicotine dependence among people with severe mental illness who received help/services for tobacco/nicotine use.

机构信息

Department of Family and Community Health, School of Nursing, University of Maryland, Baltimore, Maryland, USA.

Department of Organizational Systems and Adult Health, School of Nursing, University of Maryland, Baltimore, Maryland, USA.

出版信息

Int J Methods Psychiatr Res. 2020 Dec;29(4):1-11. doi: 10.1002/mpr.1845. Epub 2020 Sep 18.

Abstract

OBJECTIVES

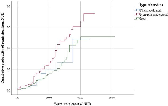
A growing body of evidence supports pharmacological interventions to assist smoking cessation in people with severe mental illness (SMI); that is, lifetime major depressive disorder, bipolar disorders, or schizophrenia. Little is known about whether behavioral services are also associated with high probability of remission from nicotine dependence as compared to other types of help/services received (pharmacological, behavioral, or both).

METHODS

A sample of 726 American lifetime adult smokers with SMI and a history of nicotine dependence, who received help/services for tobacco/nicotine use, were identified. These data came from a limited public use dataset, the 2012-2013 NESARC-III. Survival analysis was used to compare the probability of remission from nicotine dependence and the time needed for full remission from nicotine dependence by type of help/services received for tobacco/nicotine use.

RESULTS

Remission was more frequent among those who received behavioral services. In addition, the average time from onset of nicotine dependence until full remission from nicotine dependence was shorter among those who received behavioral services.

CONCLUSIONS

The current study suggests a clinical need for behavioral interventions to promote the probability of remission from nicotine dependence among smokers with SMI. Health care providers could play a role in educating and encouraging smokers with SMI to seek and utilize behavioral services.

摘要

目的

越来越多的证据支持药物干预措施,以帮助患有严重精神疾病(SMI)的人戒烟,即终身患有重度抑郁症、双相情感障碍或精神分裂症。人们对行为服务是否也与尼古丁依赖缓解的高概率相关,与其他类型的帮助/服务(药物、行为或两者兼有)相比,知之甚少。

方法

确定了 726 名美国有 SMI 病史和尼古丁依赖史的终身成年吸烟者,他们接受了与烟草/尼古丁使用相关的帮助/服务。这些数据来自一个有限的公共使用数据集,即 2012-2013 年的 NESARC-III。生存分析用于比较不同类型的烟草/尼古丁使用帮助/服务与尼古丁依赖缓解的概率和完全缓解所需的时间。

结果

接受行为服务的人更有可能缓解。此外,接受行为服务的人从尼古丁依赖发作到完全缓解尼古丁依赖的平均时间更短。

结论

本研究表明,在患有 SMI 的吸烟者中,需要行为干预来提高尼古丁依赖缓解的概率。医疗保健提供者可以在教育和鼓励患有 SMI 的吸烟者寻求和利用行为服务方面发挥作用。

https://cdn.ncbi.nlm.nih.gov/pmc/blobs/4e63/7723218/3c0881a4fd29/MPR-29-e1845-g001.jpg

文献AI研究员

20分钟写一篇综述,助力文献阅读效率提升50倍。

立即体验

用中文搜PubMed

大模型驱动的PubMed中文搜索引擎

马上搜索

文档翻译

学术文献翻译模型,支持多种主流文档格式。

立即体验